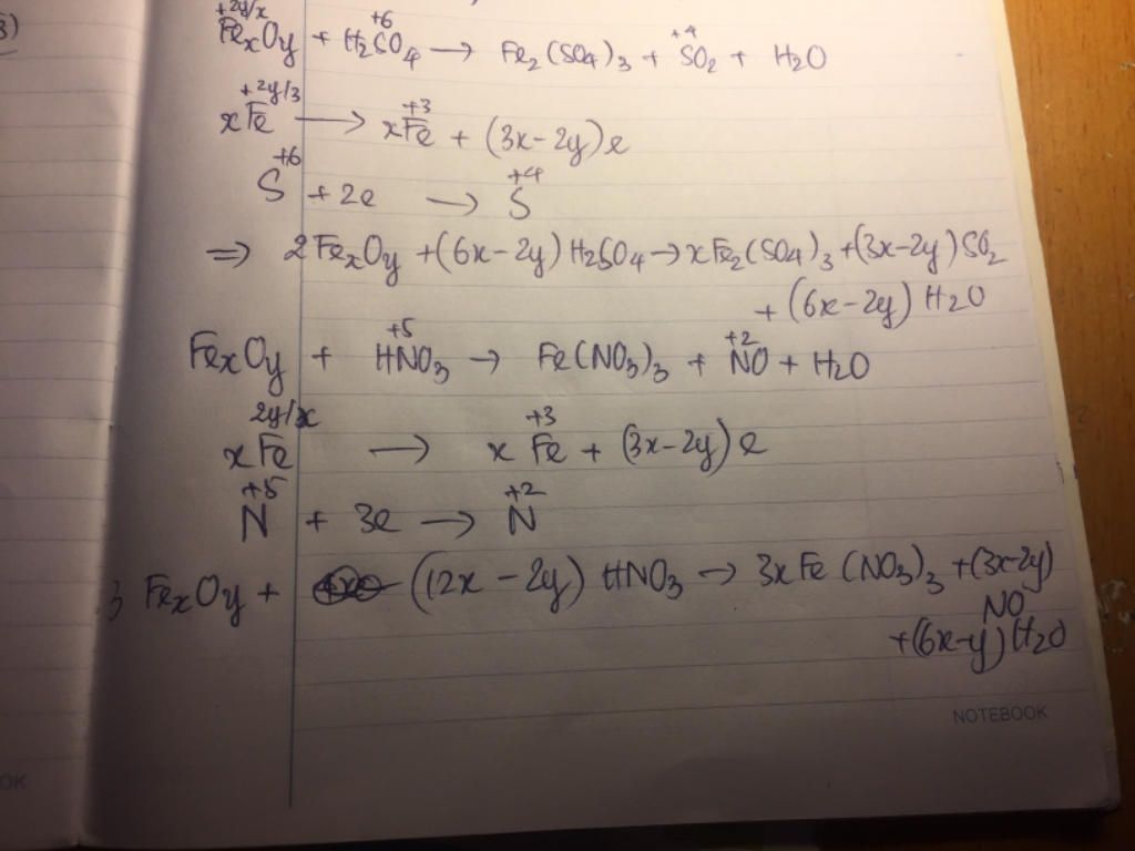
Fe2(SO4)3 +SO2+H20 2. FexOy +HNO3 --> Fe(NO3)3 + NO+ H20 ...
Có thể bạn quan tâm


Tìm kiếm với hình ảnh
Vui lòng chỉ chọn một câu hỏi
Tìm đáp án
Đăng nhập- |
- Đăng ký


Hoidap247.com Nhanh chóng, chính xác
Hãy đăng nhập hoặc tạo tài khoản miễn phí!
Đăng nhậpĐăng ký

Lưu vào
+
Danh mục mới
- haiviet

- Chưa có nhóm
- Trả lời
36
- Điểm
2398
- Cảm ơn
15
- Hóa Học
- Lớp 9
- 30 điểm
- haiviet - 12:51:27 14/08/2020
- Hỏi chi tiết
Báo vi phạm
Hãy luôn nhớ cảm ơn và vote 5* nếu câu trả lời hữu ích nhé!
TRẢ LỜI


- nguyenhuymanh

- Chưa có nhóm
- Trả lời
6724
- Điểm
127640
- Cảm ơn
5456
- nguyenhuymanh
- Câu trả lời hay nhất!

- 14/08/2020

Đáp án:
Giải thích các bước giải:
$1/$
Trong $Fe_xO_y$ , $Fe$ có số oxi hóa là $\dfrac{2y}{x}$
$2xFe^{\dfrac{2y}{x}} → 2xFe^{3+} + (6x -4y)e$ x1$S^{6+} + 2e → S^{4+}$ x(3x-2y)
Vậy, điền $(3x-2y)$ vào $SO_2$ , điền 1.x = x vào $Fe_2(SO_4)_3$
$2Fe_xO_y + (6x-2y)H_2SO_4 → xFe_2(SO_4)_3 + (3x-2y)SO_2 + (6x-2y)H_2O$
$2/$
$Fe^{\dfrac{2y}{x}} → Fe^{3+} + (3x-2y)e$ x3
$N^{5+} + 3e → N^{2+}$ x(3x-2y)
Vậy, điền 3 vào $Fe_xO_y$ , điền $3x-2y$ vào NO
$3Fe_xO_y + (12x-2y)HNO_3 → 3xFe(NO_3)_3 + (3x-2y)NO + (6x-y)H_2O$
Hãy giúp mọi người biết câu trả lời này thế nào?
Cảm ơn 1
Báo vi phạm
- haiviet

- Chưa có nhóm
- Trả lời
36
- Điểm
2398
- Cảm ơn
15
Tại sao lại điền 6x-2y vào H2SO4 vậy tưởng phải là 6x-4y chứ
- haiviet


- nguyenhuymanh

- Chưa có nhóm
- Trả lời
6724
- Điểm
127640
- Cảm ơn
5456
Để mình sửa lại nhé
- nguyenhuymanh
- haiviet

- Chưa có nhóm
- Trả lời
36
- Điểm
2398
- Cảm ơn
15
Với cả chỗ FexOy nx mik nghĩ là điền 2 vào
- haiviet


- nguyenhuymanh

- Chưa có nhóm
- Trả lời
6724
- Điểm
127640
- Cảm ơn
5456
Mình sửa rồi nhé!
- nguyenhuymanh
- haiviet

- Chưa có nhóm
- Trả lời
36
- Điểm
2398
- Cảm ơn
15
OK bn nhé
- haiviet
Xem thêm:
- >> Tuyển tập 100+ đề bài đọc hiểu Ngữ Văn lớp 9


- nguyenthitra2003

- We are ONE!
- Trả lời
1553
- Điểm
30064
- Cảm ơn
1060
- nguyenthitra2003
- 14/08/2020

Đáp án:
Giải thích các bước giải:

Hãy giúp mọi người biết câu trả lời này thế nào?
Cảm ơn 1
Báo vi phạm
- haiviet

- Chưa có nhóm
- Trả lời
36
- Điểm
2398
- Cảm ơn
15
Tại sao chỗ H2SO4 lại là 6x-2y
- haiviet
- haiviet

- Chưa có nhóm
- Trả lời
36
- Điểm
2398
- Cảm ơn
15
Cả câu sau nx tại sao lại là 12x-2y
- haiviet
Bạn muốn hỏi điều gì?
Tham Gia Group Dành Cho Lớp 9 - Ôn Thi Vào Lớp 10 Miễn Phí

Bảng tin
Bạn muốn hỏi điều gì?
Lý do báo cáo vi phạm?
Gửi yêu cầu Hủy

Cơ quan chủ quản: Công ty Cổ phần Công nghệ Giáo dục Thành Phát
Tải ứng dụng


- Hướng dẫn sử dụng
- Điều khoản sử dụng
- Nội quy hoidap247
- Góp ý
Inbox: m.me/hoidap247online
Trụ sở: Tầng 7, Tòa Intracom, số 82 Dịch Vọng Hậu, Cầu Giấy, Hà Nội.
Từ khóa » Fexoy Hno3 Thăng Bằng E
-
Cân Bằng Phương Trình FexOy + HNO3 - Co Nan - Hoc247
-
FexOy + HNO3 - Học Hóa Online
-
Hướng Dẫn Cân Bằng Phản ứng Oxi Hoá Khử FexOy + HNO3. Hướng ...
-
Cân Bằng Phương Trình Bằng Pp Thăng Bằng Electron - Vnkienthuc
-
Trong Phản ứng: FexOy + HNO3→ NO + Fe(NO3)3 + H2O Thì Một ...
-
FexOy + HNO3 Fe(NO3) + NO2 +H2OThăng Bằng Electron - Hoc24
-
Bài 19: Luyện Tập Về Phản ứng Oxi Hóa Khử - Hoc24
-
Cho Phản ứng Hoá Học: FexOy + HNO3 → Fe(NO3)3 + NO + H2O ...
-
A. Hoàn Thành Phương Trình Hóa Học Và Cân Bằng Phản ứng Oxi ...
-
FexOy + HNO3 -> Fe(NO3)3 + N2 + H2O Cân Bằng Hộ Vs Câu Hỏi ...
-
FexOy + HNO3→ Fe(NO3)3 + H2O + NnOm. Sau Khi Cân Bằng, Hệ ...
-
Sáng Kiến Kinh Nghiệm Cân Bằng Phản ứng Oxi Hóa - Khử Bằng ...
-
Cân Bằng Phương Trình Fexoy Hno3 - 123doc