Giải Bài Tập SBT Toán 8 Bài 7: Phép Nhân Các Phân Thức đại Số
Có thể bạn quan tâm
Nâng cấp gói Pro để trải nghiệm website VnDoc.com KHÔNG quảng cáo, và tải file cực nhanh không chờ đợi.
Tìm hiểu thêm » Mua ngay Từ 79.000đ Hỗ trợ ZaloBài tập môn Toán lớp 8
Giải bài tập SBT Toán 8 bài 7: Phép nhân các phân thức đại số được VnDoc sưu tầm và đăng tải, tổng hợp lý thuyết. Đây là lời giải hay cho các câu hỏi trong sách bài tập nằm trong chương trình giảng dạy môn Toán lớp 8. Hi vọng rằng đây sẽ là những tài liệu hữu ích trong công tác giảng dạy và học tập của quý thầy cô và các em học sinh.
Giải bài tập SBT Toán 8 bài 5: Phép cộng các phân thức đại số
Giải bài tập SBT Toán 8 bài 6: Phép trừ các phân thức đại số
Giải bài tập SBT Toán 8 bài 8: Phép chia các phân thức đại số
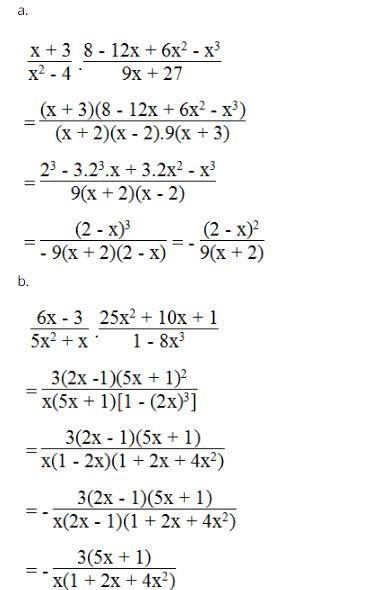
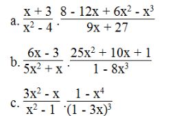
Câu 1: Rút gọn các biểu thức (chú ý dùng quy tắc đổi dấu để thay nhân tử chung)
Lời giải:


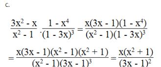
Câu 2: Phân tích các mẫu thức và các mẫu thức (nếu cần thì dùng phương pháp thêm và bớt cùng một hạng tử hoặc một hạng tử thành hai hạng tử) rồi rút gọn biểu thức.

Lời giải:

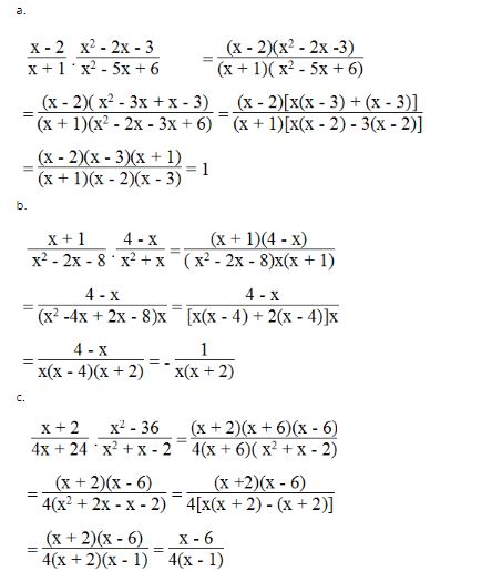
Câu 3: Áp dụng tính chất phân phối của phép nhân đối với phép cộng để rút gọn biểu thức:

Lời giải:

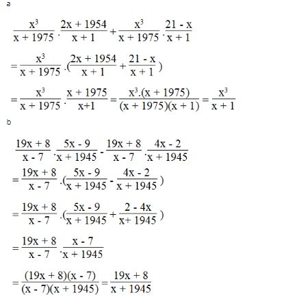
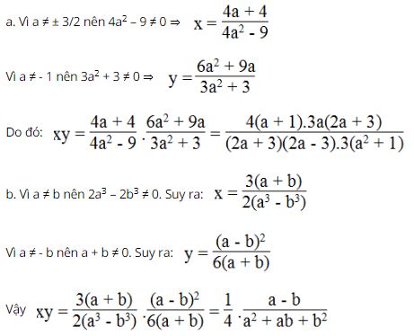
Câu 4: Tính tích x.y, biết rằng x và y thỏa mãn các đẳng thức sau (a, b là các hằng số):
a, (4a2 – 9)x = 4a + 4; với a ≠ ± 3/2 và (3a3 + 3)y = 6a2 + 9a với a ≠ - 1
b, (2a3 – 2b3)x – 3b = 3a; với a ≠ b và (6a + 6b)y = (a – b)2 với a ≠ - b
Lời giải:

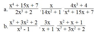
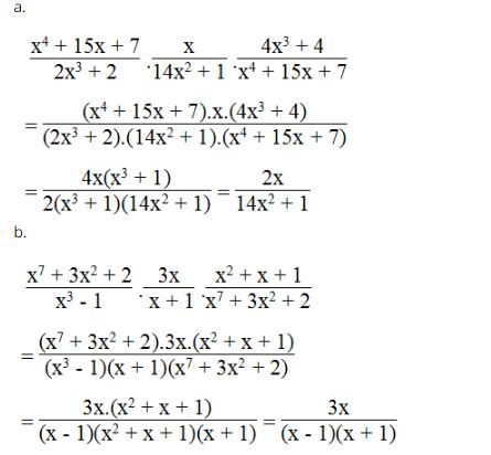
Câu 5: Rút gọn biểu thức:

Lời giải:

Từ khóa » Toán 8 Bài 7 Phép Nhân Sbt
-
Giải SBT Toán 8 Bài 7: Phép Nhân Các Phân Thức đại Số
-
Giải Toán 8 Bài 7: Phép Nhân Các Phân Thức đại Số
-
Giải SBT Toán 8 - Bài 7: Phép Nhân Các Phân Thức đại Số
-
Giải Sách Bài Tập Toán 8 Bài 7: Phép Nhân Các Phân Thức Đại Số
-
SBT Toán 8 Bài 7: Phép Nhân Các Phân Thức đại Số - Haylamdo
-
SBT Toán 8 Bài 7: Phân Tích đa Thức Thành Nhân Tử Bằng Phương ...
-
Giải SBT Toán 8: Bài 7. Phép Nhân Các Phân Thức đại Số - TopLoigiai
-
Toán Học Lớp 8 - Sách Bài Tập - Phép Nhân Các Phân Thức đại Số
-
Giải SBT Toán 8 Bài 7: Phép Nhân Các Phân Thức đại Số
-
Bài 7. Phép Nhân Các Phân Thức đại Số - Tìm đáp án, Giải Bài Tập, để
-
Giải Bài Tập SGK Toán 8 Bài 7. Phép Nhân Các Phân Thức đại Số
-
Bài 7: Phép Nhân Các Phân Thức đại Số - Giải SBT Toán 8 - Ong Học Hỏi
-
Phép Nhân Các Phân Thức đại Số | Giải SBT Toán Lớp 8
-
Tải Giải Bài Tập SBT Toán 8 Bài 7: Phép Nhân Các Phân Thức đại Số