Giải Bài Tập SBT Vật Lý Lớp 9 Bài 5
Có thể bạn quan tâm
Nâng cấp gói Pro để trải nghiệm website VnDoc.com KHÔNG quảng cáo, và tải file cực nhanh không chờ đợi.
Tìm hiểu thêm » Mua ngay Từ 79.000đ Hỗ trợ ZaloGiải SBT Vật lý lớp 9 bài 5 Đoạn mạch song song tổng hợp đáp án và lời giải cho 14 bài tập trong sách bài tập Lý 9, giúp các em học sinh hệ thống lại những kiến thức đã học trong bài, định hướng phương pháp giải các bài tập cụ thể. Tài liệu còn giúp các em học sinh nâng cao kỹ năng giải Vật lý 9 và học tốt Lý 9 hơn. Sau đây mời các em tham khảo.
Giải SBT Vật lý 9 bài 5: Đoạn mạch song song
- Giải bài 5.1 SBT Vật lý 9
- Giải bài 5.2 SBT Vật lý 9
- Giải bài 5.3 SBT Vật lý 9
- Giải bài 5.4 SBT Vật lý 9
- Giải bài 5.5 SBT Vật lý 9
- Giải bài 5.6 SBT Vật lý 9
- Giải bài 5.7 SBT Vật lý 9
- Giải bài 5.8 SBT Vật lý 9
- Giải bài 5.9 SBT Vật lý 9
- Giải bài 5.10 SBT Vật lý 9
- Giải bài 5.11 SBT Vật lý 9
- Giải bài 5.12 SBT Vật lý 9
- Giải bài 5.13 SBT Vật lý 9
- Giải bài 5.14 SBT Vật lý 9
Giải bài 5.1 SBT Vật lý 9
(Bài 1 trang 13 sách bài tập Vật Lí 9)
Cho mạch điện có sơ đồ như hình 5.1 trong đó R1 = 15Ω, R2= 10Ω, vôn kế chỉ 12V.
a) Tính điện trở tương đương của đoạn mạch
b) Số chỉ của ampe kế là bao nhiêu?

Lời giải:
a) Điện trở tương đương của đoạn mạch là:

b) Ta có: IAB = U/RAB = 12/6 = 2A.
I1 = U/R1 = 12/5 = 0,8A.
I2 = U/R2 = 12/10 = 1,2A.
Vậy ampe kế ở mạch chính 2A, ampe kế 1 chỉ 0,8A, ampe kế 2 chỉ 1,2A.
Giải bài 5.2 SBT Vật lý 9
(Bài 2 trang 13 sách bài tập Vật Lí 9):
Cho mạch điện có sơ đồ như hình 5.2, trong đó R1 = 5Ω, R2 = 10Ω, ampe kế A1 chỉ 0,6A
a) Tính hiệu điện thế giữa hai đầu AB của đoạn mạch
b) Tính cường độ dòng điện ở mạch chính

Lời giải:
Do hai điện trở mắc song song với nhau nên hiệu điện thế giữa hai đầu AB của đoạn mạch bằng hiệu điện thế giữa mỗi đầu đoạn mạch rẽ:
UAB = U1 = I1 × R1 = 0,6 × 5 = 3V.
b) Cường độ dòng điện ở mạch chính là:

Giải bài 5.3 SBT Vật lý 9
(Bài 3 trang 13 sách bài tập Vật Lí 9):
Cho mạch điện có sơ đồ như hình 5.3, trong đó R1 = 20Ω, R2 = 30Ω, ampe kế A chỉ 1,2A. Số chỉ của các ampe kế A1 và A2 là bao nhiêu?

Lời giải:
Vậy UAB = I × RAB = 1,2 × 12 = 14,4V.
Số chỉ của ampe kế 1 là: I1 = UAB/R1 = 14,4/20 = 0,72A.
Số chỉ của ampe kế 2 là: I2 = UAB/R2 = 14,4/30 = 0,48A.
![]()
Giải bài 5.4 SBT Vật lý 9
(Bài 4 trang 13 sách bài tập Vật Lí 9):
Cho hai điện trở, R1 = 15Ω chịu được dòng điện có cường độ tối đa 2A và R2 = 10Ω chịu được dòng điện có cường độ tối đa 1A. Hiệu điện thế tối đa có thể đặt vào hai đầu đoạn mạch gồm R1 và R2 mắc song song là:
A. 40V
B. 10V
C. 30V
D. 25V
Lời giải:
Chọn B. 10V.
Hướng dẫn: U1 = I1.R1 = 2.15 = 30V; U2 = I2.R2 = 1.10 = 10V.
Vì R1//R2 nên hiệu điện thế tối đa có thể đặt vào hai đầu đoạn mạch là: U = U1 = U2 = 10V.
Giải bài 5.5 SBT Vật lý 9
(Bài 5 trang 14 sách bài tập Vật Lí 9):
Cho mạch điện có sơ đồ như hình 5.4, vôn kế 36V, ampe kế A chỉ 3A, R1 = 30Ω.
a) Tính điện trở R2
b) Số chỉ của các ampe kế A1 và A2 là bao nhiêu?

Lời giải:
a) ![]()
Thay số ta được R2 = 20Ω
b) Số chỉ của ampe kế 1 là: I1 = U/R1 = 36/30 = 1,2A.
Số chỉ của ampe kế 2 là: I2 = I - I1 = 3 - 1,2 = 1,8A
Giải bài 5.6 SBT Vật lý 9
(Bài 6 trang 14 sách bài tập Vật Lí 9):
Ba điện trở R1 = 10Ω, R2 = R3 = 20Ω được mắc song song với nhau vào hiệu điện thế 12V
a) Tính điện trở tương đương của đoạn mạch
b) Tính cường độ dòng điện chạy qua mạch chính và qua từng mạch rẽ.
Lời giải:
a) Điện trở tương đương của đoạn mạch là:

b) Cường độ dòng điện chạy qua mạch chính và từng mạch rẽ là:

Giải bài 5.7 SBT Vật lý 9
(Bài 7 trang 14 sách bài tập Vật Lí 9):
Hai điện trở R1 và R2 = 4R1 được mắc song song với nhau. Khi tính theo R1 thì điện trở tương đương của đoạn mạch này có kết quả nào dưới đây?
A. 5R11
B. 4R1
C. 0,8R1
D. 1,25R1
Lời giải:
Chọn C
Ta có điện trở tương đương tính theo R1 là:
![]()
Giải bài 5.8 SBT Vật lý 9
(Bài 8 trang 14 sách bài tập Vật Lí 9)
Điện trở tương đương của đoạn mạch gồm hai điện trở R1 = 4Ω và R2 = 12Ω mắc song song có giá trị nào dưới đây?
A. 16Ω
B. 48Ω
C. 0,33Ω
D. 3Ω
Lời giải:
Chọn D
Ta có điện trở tương đương của đoạn mạch là:
![]()
Giải bài 5.9 SBT Vật lý 9
(Bài 9 trang 14 sách bài tập Vật Lí 9)
Trong mạch điện có sơ đồ như hình 5.5, hiệu điện thế U và điện trở R1 được giữ không đổi. Hỏi khi giảm dần điện trở R2 thì cường độ I của dòng điện mạch chính sẽ thay đổi như thế nào?
A. Tăng
B. Không thay đổi
C. Giảm
D. Lúc đầu tăng, sau đó giảm.
Lời giải:
Chọn A. Vì khi giảm dần điện trở R2 hiệu điện thế U không đổi thì cường độ dòng điện I2 tăng nên cường độ I của dòng điện trong mạch chính cũng tăng.
Giải bài 5.10 SBT Vật lý 9
Bài 10 trang 14 sách bài tập Vật Lí 9
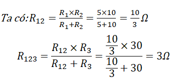
Ba điểm trở R1 = 5Ω, R2 = 10Ω và R3 = 30Ω được mắc song song với nhau. Điện trở tương đương của đoạn mạch song song này là bao nhiêu?
A. 0,33Ω
B. 3Ω
C. 33,3Ω
D. 45Ω
Lời giải:
Chọn B

Giải bài 5.11 SBT Vật lý 9
Bài 11 trang 15 sách bài tập Vật Lí 9
Cho mạch điện có sơ đồ như hình 5.6, trong đó điện trở R1 = 6Ω; dòng điện mạch chính có cường độ I = 1,2A và dòng điện đi qua điện trở R2 có cường độ I2 = 0,4A
a) Tính R2.
b) Tính hiệu điện thế U đặt vào hai đầu đoạn mạch
c) Mắc một điện trở R3 vào mạch điện trên, song song với R1 và R2 thì dòng điện mạch chính có cường độ là 1,5A. Tính R3 và điện trở tương đương Rtđ của đoạn mạch này khi đó.

Lời giải:
a) I1 = I - I2 = 1,2 - 0,4 = 0,8A.
U1 = I1 × R1 = 0,8 × 6 = 4,8V
⇒U = U1 = 4,8V (Vì R1//R2)
R2 = U2/I2 = 12Ω.
b) 
⇒U = I × R12 = 1,2 × 4 = 4,8V.
c) R = U/I = 3,2Ω
![]()
Giải bài 5.12 SBT Vật lý 9
Bài 12 trang 15 sách bài tập Vật Lí 9
Cho một ampe kế, một hiệu điện thế U không đổi, các dây dẫn nối, một điện trở R đã biết giá trị và một điện trở Rx chưa biết giá trị. Hãy nêu một phương án giúp xác định giá trị của Rx (vẽ hình và giải thích cách làm).
Lời giải:
Hình vẽ: Các em vẽ ampe kế, điện trở R và biến trở R(x) nối tiếp nhau
Phương pháp: Dùng ampe kế đo cường độ dòng điện qua mạch, ta sẽ có cường độ dòng điện qua R và Rx. Áp dụng công thức tính R = U/I, ta tính được Rtđ và Rx = Rtđ - R.
Giải bài 5.13 SBT Vật lý 9
Bài 13 trang 15 sách bài tập Vật Lí 9
Cho một hiệu điện thế U = 1,8V và hai điện trở R1 và R2. Nếu mắc nối tiếp hai điện trở này vào hiệu điện thế U thì dòng điện đi qua chúng có cường độ I1 = 0,2A; nếu mắc song song hai điện trở này vào hiệu điện thế U thì dòng điện mạch chính có cường độ I2 = 0,9A. Tính R1 và R2
Lời giải:
+) R1 mắc nối tiếp R2 :+) R1 mắc song song R2:
\({R_{tđ}} = \dfrac{{{R_1}{R_2}}}{{{R_1} + {R_2}}} =\dfrac{U}{I_2}=\dfrac {1,8}{0,9 }= 2\Omega\) (2)
Từ (1) và (2) ta được:
\(\Rightarrow {R_1}.{R_2} = 18 \Rightarrow {R_1} =\dfrac {18}{R_2}\) (3)
Thay (3) vào (1), ta được:
\(\eqalign{ & {{18} \over {{R_2}}} + {R_2} = 9 \Rightarrow R_2^2 - 9{R_2} + 18 = 0 \cr & \Rightarrow \left[ \matrix{ {R_2} = 6\,\,\Omega \hfill \cr {R_2} = 3\,\,\Omega \hfill \cr} \right. \cr}\)
\(+) {R_2} = 6\,\,\Omega \Rightarrow {R_1} = 3\,\,\Omega\)
\(+) {R_2} = 3\,\,\Omega \Rightarrow {R_1} = 6\,\,\Omega\)
Giải bài 5.14 SBT Vật lý 9
Bài 14 trang 15 sách bài tập Vật Lí 9
Một đoạn mạch gồm ba điện trở R1 = 9Ω, R2 = 18Ω và R3 = 24Ω được mắc vào hiệu điện thế U = 3,6V như sơ đồ hình 5.7.
a) Tính điện trở tương đương của đoạn mạch
b) Tính số chỉ I của ampe kế A và số chỉ I12 của ampe kế A1

Lời giải:
Mạch điện mắc như sau:
\(R_1//R_2//R_3\)
b) Số chỉ của ampe kế:
\(I =\dfrac {U}{R_{tđ}} = \dfrac{3,6}{4,8} = 0,75{{A}}\)
\(\dfrac{1}{R_{12}} = \dfrac{1}{R_1} + \dfrac{1}{R_2} =\dfrac {1}{9} + \dfrac{1}{18}\)
\(\Rightarrow {R_{12}} = 6\Omega\)
\({I_{12}} = \dfrac{U}{R_{12}} = \dfrac{3,6}{6} = 0,6A\)
Vậy số chỉ của ampe kế A là 0,75 A; số chỉ của ampe kế A1 là 0,6 A.
Như vậy VnDoc đã chia sẻ bài Giải bài tập SBT Vật lý lớp 9 bài 5. Hy vọng với hướng dẫn chi tiết trên đây sẽ giúp các em nắm bắt được nhiều dạng bài khác nhau, từ đó giúp các em giải Lý 9 hiệu quả. Để xem lời giải những bài tiếp theo, mời các bạn vào chuyên mục Giải SBT Lý 9 trên VnDoc nhé.
Ngoài Giải bài tập SBT Vật lý lớp 9 bài 5, mời các bạn tham khảo thêm Giải bài tập Vật Lí 9, Giải Vở BT Vật Lý 9, Lý thuyết Vật lý 9 được cập nhật liên tục trên VnDoc để học tốt môn Vật lý 9 hơn.
Từ khóa » Giải Vl 9 Bài 5
-
Giải Vật Lí 9 Bài 5: Đoạn Mạch Song Song
-
Giải SBT Vật Lí 9 Bài 5: Đoạn Mạch Song Song
-
Bài 5. Đoạn Mạch Song Song
-
Giải Bài 5 Vật Lí 9: Đoạn Mạch Song Song - Tech12h
-
Giải Bài Tập Vật Lí 9 - Bài 5: Đoạn Mạch Song Song
-
Vật Lý 9 Bài 5: Đoạn Mạch Song Song - Hoc247
-
Vật Lí 9 Bài 5: Đoạn Mạch Song Song Soạn Lý 9 Trang 14, 15, 16
-
Vật Lí 9 - Bài 5 - Cô Phạm Thị Hằng (HAY NHẤT) - YouTube
-
Giải Bài Tập Vật Lý 9: Bài 5. Đoạn Mạch Song Song – Toploigiai
-
Giải Bài Tập Vật Lí 9 - Bài 5: Đoạn Mạch Song Song - Nội Thất Hằng ...
-
Giải Vở Bài Tập Vật Lí 9 Bài 5: Đoạn Mạch Song Song - Haylamdo
-
SBT Vật Lí 9 Bài 5: Đoạn Mạch Song Song - Haylamdo
-
Đoạn Mạch Song Song| Hay Nhất Giải Bài Tập Vật Lí Lớp 9.
-
Bài 5: Đoạn Mạch Song Song - Vật Lý Lớp 9 - HocTapHay