Giải Bài Tập SGK Công Nghệ Lớp 12 Bài 2: Điện Trở - Tụ điện - Cuộn Cảm
Có thể bạn quan tâm
Nâng cấp gói Pro để trải nghiệm website VnDoc.com KHÔNG quảng cáo, và tải file cực nhanh không chờ đợi.
Tìm hiểu thêm » Mua ngay Từ 79.000đ Hỗ trợ ZaloGiải bài tập SGK Công nghệ lớp 12 bài 2
- Câu 1 trang 14 SGK Công nghệ 12
- Câu 2 trang 14 SGK Công nghệ 12
- Câu 3 trang 14 SGK Công nghệ 12
Giải bài tập SGK Công nghệ lớp 12 bài 2: Điện trở - tụ điện - cuộn cảm được VnDoc.com sưu tầm và tổng hợp, là tài liệu học tập lớp 12 hay. Giải bài tập Công nghệ 12 sẽ giúp các em hệ thống lại những kiến thức đã học trong bài, định hướng phương pháp giải các bài tập cụ thể. Chúc các em học tốt!
Câu 1 trang 14 SGK Công nghệ 12
Nêu kí hiệu, số liệu kĩ thuật và công dụng của điện trở trong mạch điện.
Trả lời:
- Kí hiệu:

- Số liệu kĩ thuật:
a) Trị số điện trở:
- Cho biết mức độ cản trở dòng điện của điện trở.
- Đơn vị: Ôm (Ω)
- 1k = 103
- 1M = 106
b) Công suất định mức:
- Là công suất tiêu hao trên điện trở mà nó có thể chịu đựng được trong thời gian dài mà không hỏng.
- Đơn vị đo là oát: W.
- Công dụng: Hạn chế hoặc điều chỉnh dòng điện và phân chia điện áp trong mạch điện.
Mời bạn đọc cùng tham khảo thêm: Câu 1 SGK Công nghệ 12 bài 2
Câu 2 trang 14 SGK Công nghệ 12
Nêu kí hiệu, số liệu kĩ thuật và công dụng của tụ điện trong mạch điện.
Trả lời:
- Kí hiệu:

- Số liệu kĩ thuật:
a) Trị số điện dung:
- Cho biết khả năng tích luỹ điện trường của tụ điện khi có điện áp đặt lên hai cực của tụ điện.
- Đơn vị đo là fara (F). Các ước số :
- 1 F = 10-6F
- 1 nF = 10-9F
- 1 pf = 10-12F.
b) Điện áp định mức: (Uđm)
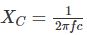
c) Dung kháng của tụ điện:
![]()
- Công dụng:
Ngăn cản dòng điện 1 chiều và cho dòng điện xoay chiều đi qua.
Mời bạn đọc cùng tham khảo thêm: Câu 2 SGK Công nghệ 12 bài 2
Câu 3 trang 14 SGK Công nghệ 12
Tại sao cuộn cảm lại chặn được dòng điện cao tần và cho dòng điện một chiều đi qua?
Trả lời:
Khi cho dòng điện 1 chiều đi qua cuộn cảm nó giống như chạy qua một dây dẫn kim loại (có điện trở nhỏ).
Khi cho dòng điện xoay chiều đi qua cuộn cảm , cuộn cảm có cảm kháng (do hiện tượng tự cảm). Ta có:
ZL = ωL = 2πfL
Ta thấy dòng điện cao tần có f >> lớn (f →∞) suy ra ZL →∞.
Do có cảm kháng lớn nên cản trở dòng diện cao tần coi như = 0.
Mời bạn đọc cùng tham khảo thêm: Câu 3 SGK Công nghệ 12 bài 2
Trên đây VnDoc đã giới thiệu tới bạn đọc bài viết Giải bài tập SGK Công nghệ lớp 12 bài 2: Điện trở - tụ điện - cuộn cảm. Chắc hẳn qua bài viết bạn đọc đã nắm được những ý chính cũng như trau dồi được nội dung kiến thức của bài viết rồi đúng không ạ? Bài viết đã hướng dẫn bạn đọc trả lời các câu hỏi trong SGK Công nghệ 12. Hi vọng qua bài viết này bạn đọc có thêm nhiều tài liệu để học tập tốt hơn nhé. Để có kết quả cao hơn trong học tập, VnDoc xin giới thiệu tới các bạn học sinh tài liệu Soạn bài lớp 12, Giải bài tập Toán lớp 12, Giải bài tập Hóa học lớp 12, Giải bài tập Vật Lí 12, Tài liệu học tập lớp 12 mà VnDoc tổng hợp và đăng tải. Ngoài ra bạn đọc có thể tham khảo thêm kiến thức về các môn Toán lớp 12, Tiếng Anh lớp 12, Ngữ Văn lớp 12...
Mời bạn đọc cùng tham gia nhóm Tài liệu học tập lớp 12 để có thêm tài liệu học tập nhé
- Giải bài tập SGK Công nghệ lớp 12 bài 1: Vai trò và triển vọng phát triển của ngành kĩ thuật điện tử trong sản xuất và đời sống
- Giải bài tập SGK Công nghệ lớp 12 bài 3: Thực hành: Điện trở - tụ điện - cuộn cảm
Từ khóa » Công Thức Tính điện Dung Lớp 12 Công Nghệ
-
Công Nghệ 12 Bài 2: Điện Trở - Tụ điện - Cuộn Cảm - Hoc247
-
Lý Thuyết Công Nghệ 12 Bài 2: Điện Trở - Cuộn Cảm Hay, Ngắn Gọn
-
Lý Thuyết Công Nghệ 12: Bài 2. Điện Trở - Tụ điện - Cuộn Cảm
-
Tóm Tắt Lý Thuyết Công Nghệ 12 Ngắn Nhất - TopLoigiai
-
Bài 2: Điện Trở - Tụ điện - Cuộn Cảm - Tìm đáp án, Giải Bài Tập, để
-
Giải Bài Tập Công Nghệ 12 - Bài 2: Điện Trở - Tụ điện - Cuộn Cảm
-
Lý Thuyết Công Thức Tính Dung Kháng Công Nghệ 12 Bài 2
-
Công Nghệ 12 Bài 3: Thực Hành: Điện Trở - Tụ điện - Cuộn Cảm
-
Tóm Tắt Công Thức Giải Nhanh Vật Lý 12: 3 Dạng Bài Tập Dòng ...
-
SGK Công Nghệ 12 - Bài 2. Điện Trở - Tụ điện - Cuộn Cảm
-
Tổng Hợp Các Công Thức Vật Lý 12 Quan Trọng Dòng Điện Xoay ...
-
Trắc Nghiệm Công Nghệ 12 Bài 2 (có đáp án Và Lời Giải): Điện Trở