Giải Bài Tập SGK Toán Lớp 8: Ôn Tập Chương 1
Có thể bạn quan tâm
Nâng cấp gói Pro để trải nghiệm website VnDoc.com KHÔNG quảng cáo, và tải file cực nhanh không chờ đợi.
Tìm hiểu thêm » Mua ngay Từ 79.000đ Hỗ trợ ZaloGiải bài tập Toán lớp 8: Ôn tập chương 1
Giải bài tập SGK Toán lớp 8: Ôn tập chương 1 với lời giải chi tiết, rõ ràng theo khung chương trình sách giáo khoa Toán lớp 8. Lời giải hay bài tập Toán 8 này gồm các bài giải tương ứng với từng bài học trong sách giúp cho các bạn học sinh ôn tập và củng cố các dạng bài tập, rèn luyện kỹ năng giải môn Toán. Mời các bạn tham khảo
Giải bài tập trang 31, 32 SGK Toán lớp 8 tập 1: Chia đa thức một biến đã sắp xếp
Giải bài tập trang 28, 29 SGK Toán lớp 8 tập 1: Chia đa thức cho đơn thức
Giải bài tập SGK trang 26, 27 Toán 8 tập 1: Chia đơn thức cho đơn thức
A - Câu hỏi ôn tập chương 1
1. Phát biểu các qui tắc nhân đơn thức với đa thức, nhân đa thức với đa thức.
Trả lời:
- Nhân đơn thức với đa thức: Muốn nhân một đơn thức với một đa thức, ta nhân đơn thức với từng hạng tử của đa thức rồi cộng các tích với nhau.
- Nhân đa thức với đa thức: Muốn nhân một đa thức với một đa thức, ta nhân mỗi hạng tử của đa thức này với từng hạng tử của đa thức kia rồi cộng các tích với nhau.
2. Viết bảy hằng đẳng thức đáng nhớ.
Trả lời:
Bảy hằng đẳng thức đáng nhớ:
1) (A + B)2 = A2 + 2AB + B2
2) (A – B)2 = A2 – 2AB + B2
3) A2 – B2 = (A – B)(A + B)
4) (A + B)3 = A3 + 3A2B + 3AB2 + B3
5) (A – B)3 = A3 – 3A2B + 3AB2 – B3
6) A3 + B3 = (A + B)(A2 – AB + B2)
7) A3 – B3 = (A – B)(A2 + AB + B2)
3. Khi nào thì đơn thức A chia hết cho đơn thức B?
Trả lời:
Đơn thức A chia hết cho đơn thức B khi mỗi biến của B đều là biến của A với số mũ không lớn hơn số mũ của nó trong A.
4. Khi nào thì đa thức A chia hết cho đơn thức B?
Trả lời:
Khi từng hạng tử của đa thức A đều chia hết cho đơn thức B thì đa thức A chia hết cho đơn thức B.
5. Khi nào thì đa thức A chia hết cho đa thức B?
Trả lời:
Khi đa thức A chia hết cho đa thức B được dư bằng 0 thì ta nói đa thức A chia hết cho đa thức B.
Bài 75 (trang 33 SGK Toán 8 Tập 1): Làm tính nhân:
a) 5x2.(3x2– 7x + 2)
b)
\(\frac{2}{3}xy.\left(2x^2y-3xy+y^2\right)\)
Lời giải:
a) 5x2.(3x2– 7x + 2)
= 5x2.3x2 – 5x2.7x + 5x2.2
= 15x4 – 35x3 + 10x2
b)

Bài 76 (trang 33 SGK Toán 8 Tập 1): Làm tính nhân:
a) (2x2– 3x)(5x2– 2x + 1) ; b) (x – 2y)(3xy + 5y2 + x)
Lời giải:
a) (2x2– 3x)(5x2– 2x + 1)
= 2x2.5x2 – 2x2.2x + 2x2 – 3x.5x2 + 3x.2x – 3x
= 10x4 – 4x3 + 2x2 – 15x3 + 6x2 – 3x
= 10x4 – 19x3 + 8x2 – 3x
b) (x – 2y)(3xy + 5y2+ x)
= x.3xy + x.5y2 + x.x – 2y.3xy – 2y.5y2 – 2y.x
= 3x2y + 5xy2 + x2 – 6xy2 – 10y3 – 2xy
= 3x2y – xy2 – 2xy + x2 – 10y3
Bài 77 (trang 33 SGK Toán 8 Tập 1): Tính nhanh giá trị của biểu thức:
a) M = x2+ 4y2– 4xy tại x = 18 và y = 4
b) N = 8x3– 12x2y + 6xy2– y3 tại x = 6 và y = - 8
Lời giải:
a) M = x2+ 4y2– 4xy
= x2 – 2.x.2y + (2y)2
= (x – 2y)2
Thay x = 18, y = 4 ta được:
M = (18 – 2.4)2 = 102 = 100
b) N = 8x3– 12x2y + 6xy2– y3
= (2x)3 – 3(2x)2y + 3.2xy2 – y3
= (2x – y)3
Thay x = 6, y = - 8 ta được:
N = (2.6 – (-8))3 = 203 = 8000
Bài 78 (trang 33 SGK Toán 8 Tập 1): Rút gọn các biểu thức sau:
a) (x + 2)(x – 2) – (x – 3)(x + 1)
b) (2x + 1)2+ (3x – 1)2+ 2(2x + 1)(3x – 1)
Lời giải:
a) (x + 2)(x – 2) – (x – 3)(x + 1)
= x2 – 22 – (x2 + x – 3x – 3)
= x2 – 4 – x2 – x + 3x + 3
= 2x – 1
b) (2x + 1)2+ (3x – 1)2+ 2(2x + 1)(3x – 1)
= (2x + 1)2 + 2.(2x + 1)(3x – 1) + (3x – 1)2
= [(2x + 1) + (3x – 1)]2
= (2x + 1 + 3x – 1)2
= (5x)2 = 25x2
Bài 79 (trang 33 SGK Toán 8 Tập 1): Phân tích các đa thức sau thành nhân tử:
a) x2– 4 + (x – 2)2; b) x3 – 2x2 + x – xy2
c) x3– 4x2– 12x + 27
Lời giải:
a) x2– 4 + (x – 2)2
= (x2– 22) + (x – 2)2
= (x – 2)(x + 2) + (x – 2)2
= (x – 2)[(x + 2) + (x – 2)]
= (x – 2)(x + 2 + x – 2)
= (x – 2)(2x) = 2x(x – 2)
b) x3 – 2x2 + x – xy2
= x(x2 – 2x + 1 – y2)
= x[(x – 1)2 – y2]
= x(x – 1 + y)(x – 1 – y)
c) x3– 4x2– 12x + 27
= (x3 + 27) – (4x2 + 12x)
= (x3 + 33) – 4x(x + 3)
= (x + 3)(x2 – 3x + 9) – 4x(x + 3)
= (x + 3)(x2 – 3x + 9 – 4x)
= (x + 3)(x2 – 7x + 9)
Bài 80 (trang 33 SGK Toán 8 Tập 1): Làm tính chia:
a) (6x3– 7x2– x + 2) : (2x + 1)
b) (x4– x3+ x2 + 3x) : (x2 – 2x + 3)
c) (x2– y2+ 6x + 9) : (x + y + 3)
Lời giải:

a)

c) (x2– y2+ 6x + 9) : (x + y + 3)
= (x2 + 6x + 9 – y2) : (x + y + 3)
= [(x2 + 2.x.3 + 32) – y2] : (x + y + 3)
= [(x + 3)2 – y2] : (x + y + 3)
= (x + 3 + y)(x + 3 – y) : (x + y + 3)
= x + 3 – y = x – y + 3
Bài 81 (trang 33 SGK Toán 8 Tập 1): Tìm x, biết:
a)
\(\frac{2}{3}x\left(x^2-4\right)=0\)
b) (x + 2)2– (x – 2)(x + 2) = 0
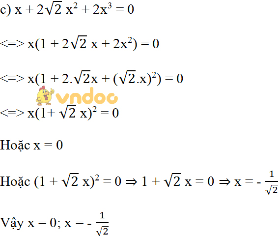
c) x + 2√2 x2+ 2x3= 0
Lời giải

Hoặc x = 0
Hoặc x – 2 = 0 => x = 2
Hoặc x + 2 = 0 => x = - 2
Vậy x = 0; x = - 2; x = 2
b) (x + 2)2– (x – 2)(x + 2) = 0
⇔ (x + 2)[(x + 2) – (x – 2)] = 0
⇔ (x + 2)(x + 2 – x + 2) = 0
⇔ (x + 2).4 = 0
⇔ x + 2 = 0
=> x = - 2

Bài 82 (trang 33 SGK Toán 8 Tập 1): Chứng minh:
a) x2– 2xy + y2+ 1 > 0 với mọi số thực x và y.
b) x – x2– 1 < 0 với mọi số thực x.
Lời giải:
a) Ta có:
x2 – 2xy + y2 + 1
= (x2 – 2xy + y2) + 1
= (x – y)2 + 1 > 0 do (x – y)2 ≥ 0 với mọi x, y (đpcm).
b) Ta có:
x – x2 – 1 = - (x2 – x + 1)
Mời các bạn tham khảo thêm tài liệu liên quan
Giải bài tập trang 22, 23 SGK Toán lớp 8 tập 1: Phân tích đa thức thành nhân tử bằng phương pháp nhóm hạng tử
Giải bài tập trang 24, 25 SGK Toán lớp 8: Phân tích đa thức thành nhân tử bằng cách phối hợp nhiều phương pháp
Giải bài tập SGK trang 26, 27 Toán 8 tập 1: Chia đơn thức cho đơn thức
Từ khóa » Toán 8 ôn Tập Chương 1 Trang 32
-
Trả Lời Phần Câu Hỏi ôn Tập Chương 1 Phần Đại Số Trang 32 SGK ...
-
Câu Hỏi ôn Tập Chương 1 Phần Đại Số 8 | Hay Nhất Giải Bài Tập Toán ...
-
Giải Toán 8 Ôn Tập Chương 1 Phần Đại Số
-
Giải Bài: Ôn Tập Chương 1 Sgk Toán Đại 8 Tập 1 Trang 32 33 - Tech12h
-
Soạn Toán 8 Bài: Ôn Tập Chương 1 Trang 32 33 | Học Cùng
-
Trả Lời Câu Hỏi 1 2 3 4 5 Trang 32 Sgk Toán 8 Tập 1
-
Trả Lời Câu Hỏi 1 Bài Ôn Tập Chương 1 Trang 32 SGK Toán 8 – Tập 1
-
Giải Bài: Ôn Tập Chương 1 Sgk Toán Đại 8 Tập 1 Trang 32 33
-
Sách Giải Bài Tập Toán Lớp 8 Ôn Tập Chương 1
-
Giải Bài Tập Trang 33 SGK Toán 8 Tập 1 - Thủ Thuật
-
SGK Toán Lớp 8 Tập 2 – Giải Bài Tập Ôn Tập Chương 3 - Chữa Bài Tập
-
Top 11 Toán 8 Ôn Tập Chương 1
-
Câu Hỏi Ôn Tập Chương 1 Toán 8 Tập 1 Phần Đại Số - TopLoigiai