Giải Bài Tập SGK Vật Lý 12 Bài 2: Con Lắc Lò Xo
Có thể bạn quan tâm
Nâng cấp gói Pro để trải nghiệm website VnDoc.com KHÔNG quảng cáo, và tải file cực nhanh không chờ đợi.
Tìm hiểu thêm » Mua ngay Từ 79.000đ Hỗ trợ ZaloVật lý 12 bài 2: Con lắc lò xo
- Bài 1 trang 13 SGK Vật Lý 12
- Bài 2 trang 13 SGK Vật Lý 12
- Bài 3 trang 13 SGK Vật Lý 12
- Bài 4 trang 13 SGK Vật Lý 12
- Bài 5 trang 13 SGK Vật Lý 12
- Bài 6 trang 13 SGK Vật Lý 12
VnDoc xin giới thiệu tới các bạn học sinh Giải bài tập SGK Vật lý 12 bài 2: Con lắc lò xo, nội dung tài liệu chắc chắn sẽ là nguồn thông tin hữu ích để giúp các bạn học sinh có kết quả cao hơn trong học tập. Mời các bạn học sinh và thầy cô cùng tham khảo.
Bài 1 trang 13 SGK Vật Lý 12
Khảo sát dao động của con lắc lò xo nằm ngang. Tìm công thức của lực kéo về.
Lời giải:
Xét con lắc lò xo như hình vẽ:


Bài 2 trang 13 SGK Vật Lý 12
Nêu công thức tính chu kì của con lắc lò xo.
Lời giải:
Công thức chu kì con lắc lò xo
T = 2
\(\pi\)
\(\sqrt{\frac{m}{k}}\)
Với: m : khối lượng quả nặng (kg)
k: là độ cứng của lò xo, có đơn vị là Niuton trên mét (N/m)
T: là chu kì, có đơn vị là giây (s)
Bài 3 trang 13 SGK Vật Lý 12
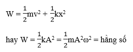
Viết công thức của động năng, thế năng và cơ năng của con lắc lò xo.
Khi con lắc lò xo dao động điều hòa thì động năng và thế năng của con lắc biến đổi qua lại như thế nào?
Lời giải:
Động năng:

Wđ : Động năng của con lắc lò xo (J)
m: khối lượng của vật (kg)
v: vận tốc của vật (m/s)
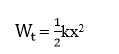
Thế năng (Chọn gốc thế năng đàn hồi tại vị trí cân bằng của vật)

Wt: thế năng đàn hồi (J)
k: độ cứng lò xo (N/m)
x: li độ (m)
Cơ năng: Bằng tổng động năng và thế năng
5
Khi con lắc dao động điều hòa, động năng tăng thì thế năng giảm và ngược lại, động năng giảm thì thế năng tăng.
Bài 4 trang 13 SGK Vật Lý 12
Chọn đáp án đúng. Công thức tính chu kì dao động của con lắc lò xo là:

Lời giải:
Chọn đáp án D.
Bài 5 trang 13 SGK Vật Lý 12
Một con lắc lò xo dao động điều hòa. Lò xo có độ cứng k = 40 N/m. Khi vật m của con lắc đi qua vị trí có li độ x = - 2cm thì thế năng của con lắc là bao nhiêu?
A. – 0,016 J
B. – 0,008 J
C. 0,016 J
D. 0,008 J
Lời giải:
Thế năng

Chọn đáp án D.
Bài 6 trang 13 SGK Vật Lý 12
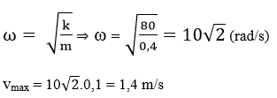
Một con lắc lò xo gồm một khối lượng m = 0,4 kg và một lò xo có độ cứng k = 80 N/m. Con lắc dao động điều hòa với biên độ bằng 0,1 m. Hỏi tốc độ của con lắc khi qua vị trí cân bằng?
A. 0 m/s
B. 1,4 m/s
C. 2,0 m/s
D. 3,4 m/s
Lời giải:
Tốc độ của con lắc qua vị trí cân bằng là cực đại
Ta có vmax = ωA với

Chọn đáp án B.
---------------------------------
Trên đây VnDoc.com đã giới thiệu tới bạn đọc tài liệu: Giải bài tập SGK Vật lý 12 bài 2: Con lắc lò xo. Mời bạn đọc cùng tham khảo thêm tại mục Giải bài tập Toán lớp 12, Giải bài tập Hóa học lớp 12 mà VnDoc tổng hợp và đăng tải.
Mời bạn đọc cùng tham khảo thêm các tài liệu:
- Giải bài tập SGK Vật lý 12 bài 1: Dao động điều hòa
- Giải bài tập SGK Vật lý 12 bài 3: Con lắc đơn
- Giải bài tập SGK Vật lý 12 bài 4: Dao động tắt dần. Dao động cưỡng bức
- Giải bài tập SGK Vật lý 12 bài 5: Tổng hợp hai dao động điều hòa cùng phương, cùng tần số. Phương pháp Fre-Nen
- Giải bài tập SGK Vật lý 12 bài 6: Thực hành: Khảo sát thực nghiệm các định luật dao động của con lắc đơn
Từ khóa » Bài Tập Trang 13 Vật Lý 12
-
Giải Bài 1, 2, 3, 4, 5, 6 Trang 13 SGK Vật Lí 12
-
Giải Bài 6 Trang 13 SGK Vật Lý 12
-
Giải Bài 1 Trang 13 SGK Vật Lý 12
-
Bài 5 Trang 13 SGK Vật Lí 12
-
Bài 6 Trang 13 SGK Vật Lý 12 - TopLoigiai
-
Hướng Dẫn Giải Bài 1,3,4,5,6 Trang 13 SGK Vật Lý 12 - TaiLieu.VN
-
Giải Vật Lý 12 : Bài Tập 1 Trang 13 | Học Cùng
-
Bài 1 Trang 13 SGK Vật Lí 12 - Giải Bài Tập Sách Giáo Khoa
-
Bài 1 Trang 13 SGK Vật Lí 12 | Giải Bài Tập Vật Lý Lớp 12
-
Bài 6 Trang 13 SGK Vật Lí 12 - Vật Lý - Tìm đáp án, Giải Bài Tập, để
-
Bài 1 Trang 13 SGK Vật Lí 12 - Vật Lý - Tìm đáp án, Giải Bài Tập, để
-
Bài Tập 5 Trang 13 SGK Vật Lý 12 - Hoc247
-
Giải Bài 3 Trang 13 SGK Vật Lý Lớp 12 - BAIVIET.COM
-
Giải BT Bài 2 Trang 13 SGK Vật Lý 12: Con Lắc Lò Xo | HỌC247