Giải Bài Tập SGK Vật Lý 12 Bài 8: Giao Thoa Sóng
Có thể bạn quan tâm
Nâng cấp gói Pro để trải nghiệm website VnDoc.com KHÔNG quảng cáo, và tải file cực nhanh không chờ đợi.
Tìm hiểu thêm » Mua ngay Từ 79.000đ Hỗ trợ ZaloGiải bài tập SGK Vật lý 12 bài 8
- Bài 1 trang 45 SGK Vật Lý 12
- Bài 2 trang 45 SGK Vật Lý 12
- Bài 3 trang 45 SGK Vật Lý 12
- Bài 4 trang 45 SGK Vật Lý 12
- Bài 5 trang 45 SGK Vật Lý 12
- Bài 6 trang 45 SGK Vật Lý 12
- Bài 7 trang 45 SGK Vật Lý 12
- Bài 8 trang 45 SGK Vật Lý 12
Mời bạn đọc tham khảo Giải bài tập SGK Vật lý 12 bài 8: Giao thoa sóng, tài liệu gồm 8 bài tập trang 45 SGK đã được VnDoc tổng hợp chi tiết và chính xác nhất. Mời thầy cô và các bạn học sinh cùng tham khảo.
Bài 1 trang 45 SGK Vật Lý 12
Hiện tượng giao thoa của hai sóng là gì?
Lời giải:
Hiện tượng giao thoa là hiện tượng hai sóng kết hợp khi gặp nhau thì có những điểm ở đó chúng luôn luôn tăng cường lẫn nhau; có những điểm ở đó chúng luôn luôn triết tiêu nhau.
Bài 2 trang 45 SGK Vật Lý 12
Nêu công thức xác định vị trí các cực đại giao thoa.
Lời giải:
Công thức vị trí các cực đại giao thoa: d2- d1 = kλ (k = 0, ± 1,±2,…)
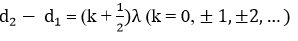
Bài 3 trang 45 SGK Vật Lý 12
Nêu công thức xác định vị trí các cực tiểu giao thoa.
Lời giải:
Công thức vị trí các cực tiểu giao thoa:
![]()
Bài 4 trang 45 SGK Vật Lý 12
Nêu điều kiện giao thoa.
Lời giải:
Điều kiện giao thoa là hai nguồn sóng phải:
Dao động cùng phương, cùng tần số góc
Có hiệu số pha không đổi theo thời gian
Bài 5 trang 45 SGK Vật Lý 12
Chọn câu đúng
Hiện tượng giao thoa là hiện tượng
A. giao thoa của hai sóng tại một điểm của môi trường.
B. tổng hợp của hai dao động
C. tạo thành các gợn lồi, lõm
D. hai sóng, khi gặp nhau có những điểm chúng luôn luôn tăng cường nhau, có những điểm chúng luôn luôn triệt tiêu nhau.
Lời giải:
Chọn đáp án D.
Bài 6 trang 45 SGK Vật Lý 12
Chọn câu đúng.
Hai nguồn kết hợp là hai nguồn có
A. cùng biên độ
B. cùng tần số
C. cùng pha ban đầu
D. cùng tần số và hiệu số pha không đổi theo thời gian
Lời giải:
Chọn đáp án D.
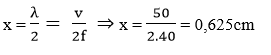
Bài 7 trang 45 SGK Vật Lý 12
Trong thí nghiệm ở hình 8.1, vận tốc truyền sóng là 0,5 m/s, cần rung có tần số 40Hz. Tính khoảng cách giữa các đỉnh hai hypebol cùng loại liên tiếp trên hình 8.2.
Lời giải:
Khoảng cách giữa hai hyperbol cùng loại bằng nửa bước sóng.
Ta có:

Bài 8 trang 45 SGK Vật Lý 12
Trong thí nghiệm ở hình 8.1, khoảng cách giữa hai điểm S1, S2 là d = 11 cm. Cho cần rung, ta thấy hai điểm S1, S2 gần như đứng yên và giữa chúng còn 10 điểm đứng yên không dao động. Biết tần số của cần rung là 26 Hz, hãy tính tốc độ truyền của sóng.
Lời giải:
Khoảng cách giữa hai nút liên tiếp bằng λ/2
S1, S2 là hai nút, khoảng giữa S1S2 có 10 nút
=> ta có 12 nút
![]()
Vậy tốc độ truyền sóng là:
v = λf = 2.26 = 52 cm/s
---------------------------------
Trên đây VnDoc.com đã giới thiệu tới bạn đọc tài liệu: Giải bài tập SGK Vật lý 12 bài 8: Giao thoa sóng. Để có kết quả cao hơn trong học tập, VnDoc xin giới thiệu tới các bạn học sinh tài liệu Giải bài tập Toán lớp 12, Giải bài tập Hóa học lớp 12 mà VnDoc tổng hợp và đăng tải.
Mời các bạn cùng tham khảo thêm các tài liệu sau:
- Giải bài tập SGK Vật lý 12 bài 9: Sóng dừng
- Giải bài tập SGK Vật lý 12 bài 10: Đặc trưng vật lí của âm
- Giải bài tập SGK Vật lý 12 bài 11: Đặc trưng sinh lí của âm
- Giải bài tập SGK Vật lý 12 bài 12: Đại cương về dòng điện xoay chiều
Từ khóa » Bài Tập Giao Thoa Sóng 12
-
Các Dạng Bài Tập Giao Thoa Sóng Có Lời Giải - Vật Lí Lớp 12
-
Bài Tập Vật Lý Lớp 12 Giao Thoa Sóng Cơ, Phương Trình Giao Thoa Sóng
-
Phương Pháp Giải Nhanh Bài Tập Giao Thoa Sóng Cơ Lý 12
-
Bài Tập Giao Thoa Sóng Cơ Hay Và Có Lời Giải - Chăm Học Bài
-
Phương Pháp Giải Một Số Dạng Bài Tập Về Giao Thoa Sóng
-
20 Bài Tập Giao Thoa Sóng Mức độ Thông Hiểu
-
Bài Tập Về Giao Thoa Sóng Cơ Môn Vật Lí Lớp 12 - Ôn Luyện
-
Giao Thoa Sóng Cơ - Vật Lý 12 - Thầy Phạm Quốc Toản - YouTube
-
Bài Tập Giao Thoa Sóng Cơ Nâng Cao, Hay Và Khó, Có Lời Giải - Haylamdo
-
Giải Bài Tập Vật Lý 12 Bài 8: Giao Thoa Sóng
-
Giải Bài Tập Vật Lí 12 - Bài 8: Giao Thoa Sóng
-
Một Số Dạng Bài Tập Giao Thoa Ánh Sáng Có Đáp Án Thường Gặp
-
5 Bài Tập Giao Thoa Sóng Cơ Hay Và Khó Thường Xuất Hiện Trong đề Thi
-
Ôn Tập: 20 Câu ôn Bài Tập Giao Thoa Sóng