Giải Bài Tập Toán 10 SBT Bài 1 Chương 4 - Bất đẳng Thức
Có thể bạn quan tâm
-
-
-
Mầm non
-
Lớp 1
-
Lớp 2
-
Lớp 3
-
Lớp 4
-
Lớp 5
-
Lớp 6
-
Lớp 7
-
Lớp 8
-
Lớp 9
-
Lớp 10
-
Lớp 11
-
Lớp 12
-
Thi vào lớp 6
-
Thi vào lớp 10
-
Thi Tốt Nghiệp THPT
-
Đánh Giá Năng Lực
-
Khóa Học Trực Tuyến
-
Hỏi bài
-
Trắc nghiệm Online
-
Tiếng Anh
-
Thư viện Học liệu
-
Bài tập Cuối tuần
-
Bài tập Hàng ngày
-
Thư viện Đề thi
-
Giáo án - Bài giảng
-
Tất cả danh mục
-
- Mầm non
- Lớp 1
- Lớp 2
- Lớp 3
- Lớp 4
- Lớp 5
- Lớp 6
- Lớp 7
- Lớp 8
- Lớp 9
- Lớp 10
- Lớp 11
- Lớp 12
- Thi Chuyển Cấp
-
- Hôm nay +3
- Ngày 2 +3
- Ngày 3 +3
- Ngày 4 +3
- Ngày 5 +3
- Ngày 6 +3
- Ngày 7 +5
Nâng cấp gói Pro để trải nghiệm website VnDoc.com KHÔNG quảng cáo, và tải file cực nhanh không chờ đợi.
Tìm hiểu thêm » Mua ngay Từ 79.000đ Hỗ trợ ZaloToán 10 - Bất đẳng thức
VnDoc xin giới thiệu tới bạn đọc tài liệu Giải bài tập Toán 10 SBT bài 1 chương 4, tài liệu gồm 14 bài tập trang 106 kèm theo lời giải chi tiết sẽ giúp các bạn học sinh rèn luyện giải bài tập Toán lớp 10 một cách hiệu quả hơn. Mời các bạn học sinh tham khảo.
Giải bài tập Toán 10 SBT bài 1 chương 3
Giải bài tập Toán 10 SBT bài 2 chương 3
Giải bài tập Toán 10 SBT bài 3 chương 3
Giải bài tập Toán 10 SBT ôn tập chương 3
Giải bài tập Toán 10 SBT bài 1
Bài 1 trang 106 Sách bài tập (SBT) Toán Đại số 10
Cho a, b, c, d là những số dương; x, y, z là những số thực tùy ý. Chứng minh rằng:
\({x^4} + {y^4} \ge {x^3}y + x{y^3}\)
Gợi ý làm bài
\({x^4} + {y^4} \ge {x^3}y + x{y^3} \Leftrightarrow {x^4} + {y^4} - {x^3}y - x{y^3} \ge 0\)
\(\Leftrightarrow {x^3}(x - y) + {y^3}(y - x) \ge 0 \Leftrightarrow (x - y)({x^3} - {y^3}) \ge 0\)
\(\Leftrightarrow {(x - y)^2}({x^2} + {y^2} + xy) \ge 0 \Leftrightarrow {(x - y)^2}({(x + {y \over 2})^2} + {{3{y^2}} \over 4}) \ge 0\) (đúng)
Bài 2 trang 106 Sách bài tập (SBT) Toán Đại số 10
Cho a, b, c, d là những số dương; x, y, z là những số thực tùy ý. Chứng minh rằng:
\({x^2} + 4{y^2} + 3{z^2} + 14 > 2x + 12y + 6z\)
Gợi ý làm bài
\({x^2} + 4{y^2} + 3{z^2} + 14 > 2x + 12y + 6z\)
\(\Leftrightarrow {x^2} - 2x + 4{y^2} - 12y + 3({z^2} - 2z) + 14 > 0\)
\(\Leftrightarrow {(x - 1)^2}{(2y - 3)^2} + 3{(z - 1)^2} + 1 > 0\) (đúng)
Bài 3 trang 106 Sách bài tập (SBT) Toán Đại số 10
Cho a, b, c, d là những số dương; x, y, z là những số thực tùy ý. Chứng minh rằng:
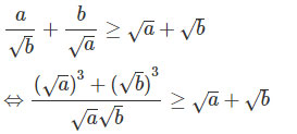
\({a \over {\sqrt b }} + {b \over {\sqrt a }} \ge \sqrt a + \sqrt b\)
Gợi ý làm bài

\(\Leftrightarrow (\sqrt a + \sqrt b )(a + b - \sqrt {ab} ) \ge (\sqrt a + \sqrt b )\sqrt {ab}\)
\(\Leftrightarrow (\sqrt a + \sqrt b )(a + b - 2\sqrt {ab} ) \ge 0\)
\(\Leftrightarrow (\sqrt a + \sqrt b ){(\sqrt a - \sqrt b )^2} \ge 0\) (đúng)
Bài 4 trang 106 Sách bài tập (SBT) Toán Đại số 10
Cho a, b, c, d là những số dương; x, y, z là những số thực tùy ý. Chứng minh rằng:
\({1 \over a} + {1 \over b} \ge {4 \over {a + b}}\)
Gợi ý làm bài
Từ
\({1 \over a} + {1 \over b} \ge 2\sqrt {{1 \over {ab}}}\) và
\(a + b \ge 2\sqrt {ab}\) suy ra
\((a + b)({1 \over a} + {1 \over b}) \ge 4\) hay
\({1 \over a} + {1 \over b} \ge {4 \over {a + b}}\)
Bài 5 trang 106 Sách bài tập (SBT) Toán Đại số 10
Cho a, b, c, d là những số dương; x, y, z là những số thực tùy ý. Chứng minh rằng:
\({{a + b + c + d} \over 4}\) ≥
\(\sqrt[4]{abcd}\)
Gợi ý làm bài
Từ
\(a + b \ge 2\sqrt {ab}\) và
\(c + d \ge 2\sqrt {cd}\) suy ra
\(a + b + c + d \ge 2(\sqrt {ab} + \sqrt {cd} )\)
\(= > 2.2\sqrt {\sqrt {ab} .\sqrt {cd} }\)
\(=> {{a + b + c + d} \over 4}\) ≥
\(\sqrt[4]{abcd}\)
\(=> a + b + c + d \ge 2.2\sqrt {\sqrt {ab} .\sqrt {cd} }\)
\(=> {{a + b + c + d} \over 4}\) ≥
\(\sqrt[4]{abcd}\)
Bài 6 trang 106 Sách bài tập (SBT) Toán Đại số 10
Cho a, b, c, d là những số dương; x, y, z là những số thực tùy ý. Chứng minh rằng:
\({1 \over a} + {1 \over b} + {1 \over c} + {1 \over d} \ge {{16} \over {a + b + c + d}}\)
Gợi ý làm bài
Từ
\(a + b + c + d \ge\)
\(\sqrt[4]{abcd}\)
\({1 \over a} + {1 \over b} + {1 \over c} + {1 \over d} \ge\)
\(4\sqrt[4]{\frac{1}{abcd}}\)
Suy ra
\((a + b + c + d)({1 \over a} + {1 \over b} + {1 \over c} + {1 \over d}) \ge 16\)
Hay
\({1 \over a} + {1 \over b} + {1 \over c} + {1 \over d} \ge {{16} \over {a + b + c + d}}\)
Bài 7 trang 106 Sách bài tập (SBT) Toán Đại số 10
Cho a, b, c, d là những số dương; x, y, z là những số thực tùy ý. Chứng minh rằng:
\({a^2}b + {1 \over b} \ge 2a\)
Gợi ý làm bài
\({a^2}b + {1 \over b} \ge 2\sqrt {{a^2}b.{1 \over b}} = 2a\)
Bài 8 trang 106 Sách bài tập (SBT) Toán Đại số 10
Cho a, b, c, d là những số dương; x, y, z là những số thực tùy ý. Chứng minh rằng:
\((a + b)(b + c)(c + a) \ge 8abc\)
Gợi ý làm bài
Từ
\(a + b \ge 2\sqrt {ab} ,b + c \ge 2\sqrt {bc} ,c + a \ge 2\sqrt {ca}\)
Suy ra:
\((a + b)(b + c)(c + a) \ge 8abc\)
Bài 9 trang 106 Sách bài tập (SBT) Toán Đại số 10
Cho a, b, c, d là những số dương; x, y, z là những số thực tùy ý. Chứng minh rằng:
\({(\sqrt a + \sqrt b )^2} \ge 2\sqrt {2(a + b)\sqrt {ab} }\)
Gợi ý làm bài
\({(\sqrt a + \sqrt b )^2} = a + b + 2\sqrt {ab} \ge 2\sqrt {(a + b).2\sqrt {ab} }\)
Bài 10 trang 106 Sách bài tập (SBT) Toán Đại số 10
Cho a, b, c, d là những số dương; x, y, z là những số thực tùy ý. Chứng minh rằng:
\({1 \over a} + {1 \over b} + {1 \over c} \ge {9 \over {a + b + c}}\)
Gợi ý làm bài
\((a + b + c)({1 \over a} + {1 \over b} + {1 \over c}) = 1 + 1 + 1 + ({a \over b} + {b \over a}) + ({a \over c} + {c \over a}) + ({b \over c} + {c \over b})\)
\(\ge 3 + 2 + 2 + 2 = 9 = > {1 \over a} + {1 \over b} + {1 \over c} \ge {9 \over {a + b + c}}\)
Bài 11 trang 106 Sách bài tập (SBT) Toán Đại số 10
Tìm giá trị nhỏ nhất của hàm số
\(y = {4 \over x} + {9 \over {1 - x}}\) với 0 < x < 1.
Gợi ý làm bài
\(y = {{4(x + 1 - x)} \over x} + {{9(x + 1 - x)} \over {1 - x}}\)
\(=4 + 9 + {{4(1 - x)} \over x} + 9.{x \over {1 - x}} \ge 13 + 2\sqrt {4.{{(1 - x)} \over x}.9.{x \over {1 - x}}} = 25\)
\(=> y \ge 25,\forall x \in (0;1)\)
Đẳng thức y = 25 xảy ra khi và chỉ khi
\(\left\{ \matrix{{{4(1 - x)} \over x} = {{9x} \over {1 - x}} = 6 \hfill \cr x \in (0;1) \hfill \cr} \right.\)
hay
\(x = {2 \over 5}\)
Vậy giá trị nhỏ nhất của hàm số đã cho bằng 25 đạt tại
\(x = {2 \over 5}\)
Bài 12 trang 106 Sách bài tập (SBT) Toán Đại số 10
Tìm giá trị lớn nhất của hàm số
\(y = 4{x^3} - {x^4}\) với
\(0 \le x \le 4\)
Gợi ý làm bài
\(y = 4{x^3} - {x^4} = {x^3}(4 - x)\)
\(=> 3y = x.x.x(12 - 3x) \le {({{x + x} \over 2})^2}{({{x + 12 - 3x} \over 2})^2}\)
\(= > 48 \le {{\rm{[}}2x(12 - 2x){\rm{]}}^2} \le {({{2x + 12 - 2x} \over 2})^4} = {6^4}\)
\(= > y \le {{{6^4}} \over {48}} = 27,\forall x \in {\rm{[}}0;4]\)
\(y = 27 \Leftrightarrow \left\{ \matrix{x = x \hfill \cr x = 12 - 3x \hfill \cr 2x = 12 - x \hfill \cr x \in {\rm{[}}0;4] \hfill \cr} \right. \Leftrightarrow x = 3\)
Vậy giá trị lớn nhất của hàm số đã cho bằng 27 đạt được khi x = 3.
Bài 13 trang 106 Sách bài tập (SBT) Toán Đại số 10
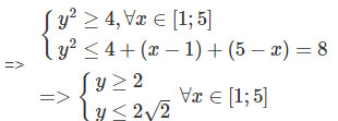
Tìm giá trị lớn nhất, nhỏ nhất của hàm số sau trên tập xác định của nó
\(y = \sqrt {x - 1} + \sqrt {5 - x}\)
Gợi ý làm bài
Vế phải có nghĩa khi
\(1 \le x \le 5\)
Ta có:
\({y^2} = {(\sqrt {x - 1} + \sqrt {5 - x} )^2} = 4 + 2\sqrt {(x - 1)(5 - x)}\)

Hơn nữa
\(y = 2 \Leftrightarrow (x - 1)(5 - x) = 0 \Leftrightarrow \left[ \matrix{x = 1 \hfill \cr x = 5 \hfill \cr} \right.$\)
\(y = 2\sqrt 2 \Leftrightarrow x - 1 = 5 - x \Leftrightarrow x = 3\)
Vậy giá trị lớn nhất của hàm số đã cho bằng
\(2\sqrt 2\) khi x = 3, giá trị nhỏ nhất của hàm số đã cho bằng 2 khi x = 1 hoặc x = 5.
Bài 14 trang 106 Sách bài tập (SBT) Toán Đại số 10
Chứng minh rằng:
\(\left| {x - z} \right| \le \left| {x - y} \right| + \left| {y - z} \right|,\forall x,y,z\)
Gợi ý làm bài
\(\left| {x - z} \right| = \left| {(x - y) + (y - z)} \right| \le \left| {x - y} \right| + \left| {y - z} \right|\)
-----------------------------
Để có kết quả cao hơn trong học tập, VnDoc xin giới thiệu tới các bạn học sinh tài liệu Giải bài tập Toán 10, Giải bài tập Vật Lí 10, Giải bài tập Sinh học 10, Giải bài tập Hóa học 10 mà VnDoc tổng hợp và đăng tải.
Tải về Chọn file muốn tải về:Giải bài tập Toán 10 SBT bài 1 chương 4
267 KB-
Giải bài tập Toán 10 SBT bài 1 chương 4 .DOC
337,1 KB
- Chia sẻ bởi:
Phan Thị Hoàn
Có thể bạn quan tâm
Xác thực tài khoản!Theo Nghị định 147/2024/ND-CP, bạn cần xác thực tài khoản trước khi sử dụng tính năng này. Chúng tôi sẽ gửi mã xác thực qua SMS hoặc Zalo tới số điện thoại mà bạn nhập dưới đây:
Số điện thoại chưa đúng định dạng! Xác thực ngay Số điện thoại này đã được xác thực! Bạn có thể dùng Sđt này đăng nhập tại đây! Lỗi gửi SMS, liên hệ Admin Sắp xếp theo Mặc định Mới nhất Cũ nhất-
Chương 1: Mệnh đề - Tập hợp
- Giải bài tập Toán 10 SBT bài 1 chương 1
- Giải bài tập Toán 10 SBT bài 2 chương 1
- Giải bài tập Toán 10 SBT bài 3 chương 1
- Giải bài tập Toán 10 SBT bài 4 chương 1
- Giải bài tập Toán 10 SBT bài 5 chương 1
- Giải bài tập Toán 10 SBT ôn tập chương 1
-
Chương 2: Hàm số bậc nhất và bậc hai
- Giải bài tập Toán 10 SBT bài 1 chương 2
- Giải bài tập Toán 10 SBT bài 2 chương 2
- Giải bài tập Toán 10 SBT bài 3 chương 2
- Giải bài tập Toán 10 SBT ôn tập chương 2
-
Chương 3: Phương trình. Hệ phương trình
- Giải bài tập Toán 10 SBT bài 1 chương 3
- Giải bài tập Toán 10 SBT bài 2 chương 3
- Giải bài tập Toán 10 SBT bài 3 chương 3
- Giải bài tập Toán 10 SBT ôn tập chương 3
-
Chương 4: Bất đẳng thức. Bất phương trình
- Giải bài tập Toán 10 SBT bài 1 chương 4
- Giải bài tập Toán 10 SBT bài 2 chương 4
- Giải bài tập Toán 10 SBT bài 3 chương 4
- Giải bài tập Toán 10 SBT bài 4 chương 4
- Giải bài tập Toán 10 SBT bài 5 chương 4
- Giải bài tập Toán 10 SBT ôn tập chương 4
-
Chương 5: Thống kê
- Giải bài tập Toán 10 SBT bài 1 chương 5
- Giải bài tập Toán 10 SBT bài 2 chương 5
- Giải bài tập Toán 10 SBT bài 3 chương 5
- Giải bài tập Toán 10 SBT bài 4 chương 5
- Giải bài tập Toán 10 SBT ôn tập chương 5
-
Chương 6: Cung và góc lượng giác. Công thức lượng giác
- Giải bài tập Toán 10 SBT bài 1 chương 6
- Giải bài tập Toán 10 SBT bài 2 chương 6
- Giải bài tập Toán 10 SBT bài 3 chương 6
- Giải bài tập Toán 10 SBT ôn tập chương 6
- Giải bài tập Toán 10 SBT ôn tập cuối năm
-
Hình học 10
- Giải bài tập Toán 10 SBT bài 1 chương 1 phần Hình học
- Giải bài tập Toán 10 SBT bài 2 chương 1 phần Hình học
-
Lớp 10 -
Giải Vở BT Toán 10 -
Đề thi khảo sát chất lượng đầu năm lớp 10 -
Đề thi giữa kì 1 lớp 10 -
Đề thi học kì 1 lớp 10 -
Đề thi giữa kì 2 lớp 10 -
Đề thi học kì 2 lớp 10 -
Thi học sinh giỏi lớp 10 -
Đề kiểm tra 15 phút lớp 10 -
Toán lớp 10 -
Toán 10 Kết nối tri thức -
Toán 10 Chân trời sáng tạo -
Toán 10 Cánh Diều -
Lý thuyết Toán 10 KNTT -
Lý thuyết Toán 10 CTST
Tham khảo thêm
-
Giải bài tập Toán 10 SBT bài 1 chương 1 phần Hình học
-
Giải bài tập Toán 10 SBT bài 3 chương 6
-
Giải bài tập Toán 10 SBT bài 1 chương 6
-
Giải bài tập Toán 10 SBT bài 4 chương 5
-
Giải bài tập Toán 10 SBT ôn tập chương 6
-
Giải bài tập Toán 10 SBT ôn tập chương 5
-
Giải bài tập Toán 10 SBT bài 2 chương 6
-
Giải bài tập Toán 10 SBT bài 2 chương 1 phần Hình học
-
Giải bài tập Toán 10 SBT bài 3 chương 5
-
Giải bài tập Toán 10 SBT ôn tập cuối năm
Giải Vở BT Toán 10
-
Giải bài tập Toán 10 SBT bài 1 chương 1 phần Hình học
-
Giải bài tập Toán 10 SBT bài 3 chương 6
-
Giải bài tập Toán 10 SBT ôn tập chương 6
-
Giải bài tập Toán 10 SBT ôn tập cuối năm
-
Giải bài tập Toán 10 SBT bài 2 chương 6
-
Giải bài tập Toán 10 SBT bài 2 chương 1 phần Hình học
Gợi ý cho bạn
-
Chúc đầu tuần bằng tiếng Anh hay nhất
-
Bộ đề kiểm tra cuối tuần Tiếng Việt lớp 4 Kết nối tri thức Tuần 21
-
Bài tập câu điều kiện có đáp án
-
Bài tập cuối tuần Tiếng Việt lớp 4 Kết nối tri thức Tuần 21 Nâng cao
Từ khóa » Giải Sbt Toán 10 Bài Bất đẳng Thức
-
Giải Sbt Đại Số 10 Bài 1: Bất đẳng Thức
-
Giải SBT Toán đại Số 10 Bài 1: Bất đẳng Thức
-
Giải SBT Đại Số 10 - Chương 4: Bất đẳng Thức, Bất Phương Trình
-
Giải Sách Bài Tập Toán 10 Bài 1: Bất Đẳng Thức
-
Bài 1: Bất đẳng Thức
-
Giải Sách Bài Tập Toán 10 Tập 1 Trang 106 Chính Xác
-
Giải Sách Bài Tập Toán 10 Bài 1: Bất đẳng Thức - Haylamdo
-
Giải Sbt Chương 4: Bất đẳng Thức. Bất Phương Trình - Haylamdo
-
Giải Toán 10 Bài 1: Bất đẳng Thức | Hay Nhất Giải Bài Tập Đại Số 10.
-
Giải Bài 1,2,3,4, 5,6 Trang 79 SGK Đại Số 10: Bất đẳng Thức
-
Bài 31 Trang 114 Sách Bài Tập (SBT) Toán Đại Số 10
-
SBT Toán 10 - Tìm đáp án, Giải Bài Tập, để Học Tốt
-
Bất đẳng Thức Và Chứng Minh Bất đắng Thức. Bài Tập Sbt Toán Lớp 10-p2
-
Toán 10 Bài 1: Bất đẳng Thức