Giải Bài Tập Trang 41, 42 SGK Đại Số 10 Chương 2: Hàm Số Y = Ax + B
Có thể bạn quan tâm
-
-
-
Mầm non
-
Lớp 1
-
Lớp 2
-
Lớp 3
-
Lớp 4
-
Lớp 5
-
Lớp 6
-
Lớp 7
-
Lớp 8
-
Lớp 9
-
Lớp 10
-
Lớp 11
-
Lớp 12
-
Thi vào lớp 6
-
Thi vào lớp 10
-
Thi Tốt Nghiệp THPT
-
Đánh Giá Năng Lực
-
Khóa Học Trực Tuyến
-
Hỏi bài
-
Trắc nghiệm Online
-
Tiếng Anh
-
Thư viện Học liệu
-
Bài tập Cuối tuần
-
Bài tập Hàng ngày
-
Thư viện Đề thi
-
Giáo án - Bài giảng
-
Tất cả danh mục
-
- Mầm non
- Lớp 1
- Lớp 2
- Lớp 3
- Lớp 4
- Lớp 5
- Lớp 6
- Lớp 7
- Lớp 8
- Lớp 9
- Lớp 10
- Lớp 11
- Lớp 12
- Thi Chuyển Cấp
-
- Hôm nay +3
- Ngày 2 +3
- Ngày 3 +3
- Ngày 4 +3
- Ngày 5 +3
- Ngày 6 +3
- Ngày 7 +5
Nâng cấp gói Pro để trải nghiệm website VnDoc.com KHÔNG quảng cáo, và tải file cực nhanh không chờ đợi.
Tìm hiểu thêm » Mua ngay Từ 79.000đ Hỗ trợ ZaloGiải bài tập trang 41, 42 SGK Đại số 10 chương 2
Giải bài tập trang 41, 42 SGK Đại số 10 chương 2: Hàm số y = ax + b là tài liệu học tốt môn Toán lớp 10, hướng dẫn các em giải các bài tập theo khung chương trình sách giáo khoa Toán lớp 10, từ đó ôn tập và củng cố kiến thức hiệu quả. Mời các em cùng tham khảo.
Giải bài tập trang 23 SGK Đại số 10: Số gần đúng - Sai số
Giải bài tập trang 24, 25 SGK Đại số 10: Ôn tập chương 1
Giải bài tập trang 38, 39 SGK Đại số 10 chương 2: Hàm số
Giải bài tập trang 49, 50 SGK Đại số 10 chương 2: Hàm số bậc hai
Giải bài 1, 2, 3, 4 trang 41, 42 SGK đại số 10: Hàm số y = ax + b
A. Tóm tắt kiến thức hàm số y = ax + b
1. Hàm số y = ax + b (a ≠ 0)
Tập xác định: D = R
Chiều biến thiên
a > 0

a < 0

Đồ thị là đường thẳng không song song và không trùng với các trục tọa độ, cắt Ox tại A(-b/a; 0) và cắt Oy tại B(0;b)
2. Hàm số hằng y = b
Đồ thị là đường thẳng song song hoặc trùng với trục Ox, cắt trục Oy tại điểm (0;b)
3. Hàm số y =|x|
Tập xác định D = R
Chiều biến thiên: 
Suy ra, y đồng biến trên (0;+∞); nghịch biến trên (-∞;0)
Bảng biến thiên

Đồ thị trùng với đồ thị của y = x trên nửa khoảng [0;+∞), trùng với đồ thị của y = -x trên nửa khoảng (-∞;0) (h.1)

B. Giải bài tập trong sách giáo khoa trang 41, 42 Đại số lớp 10.
Bài 1. (Trang 41 SGK Toán đại số 10)
Vẽ đồ thị hàm số:
a) y = 2x – 3; b) y = √2;
c) y =-3x/2 + 7 d) y = |x|.
Hướng dẫn giải bài 1:
a) Đồ thị hàm số y = 2x – 3 là đường thẳng đi qua hai điểm A(0; – 3) và B (3/2 ;0)

b) Đồ thị hàm số y = √2 là đường thẳng song song với trục hoành đi qua điểm A(0; √2) (hình 3).

c) Đồ thị hàm số y = -3x/2 + 7 là đường thẳng. Bởi vì giao điểm của đồ thị với trục tung P(0; 7) với trục hoành Q (14/3; 0) có tọa độ tương đối lớn nên ta có thể chọn các điểm thuộc đồ thị có tọa độ nhỏ hơn cho dễ vẽ. Chẳng hạn A(4; 1), B(2; 4). Đồ thị là đường thẳng AB.

d) ![]()
Đồ thị của (1) là nửa đường thẳng BA với B(0;-1) và A(1;0)
Đồ thị của (2) là nửa đưởng thẳng BA' với B(0;-1) và A' (-1;0)
Đồ thị của y = |x| - 1 gồm 2 tia Bt và Bt' (h.4)

Bài 2. (Trang 42 SGK Toán đại số 10)
Xác định a, b để đồ thị của hàm số y = ax + b đi qua các điểm.
a) A(0; 3) và B(3/5; 0);
b) A(1; 2) và B(2; 1);
c) A(15; -3) và B(21; -3).
Hướng dẫn giải bài 2:
Phương pháp giải:
- Sử dụng M(x0; y0) thuộc Δ: y = ax + b ⇔ y0 = ax0 + b
- Giải hệ hai phương trình bậc nhất theo a và b
a) A(0; 3) ∈ Δ: y = ax + b ⇔ 3 = b (1)
B(3/5; 0) ∈ Δ: y = ax + b ⇔ 0 = 3/5a + b (2)
(1) và (2) cho a = -5b/3 = -5; b = 3 Vậy Δ: y = -5x + 3
b) A(1; 2) ∈ Δ: y = ax + b ⇔ 2 = a + b (1)
B(2; 1) ∈ Δ: y = ax + b ⇔ 1 = 2a +b (2)
(1) và (2) cho a = -1; b = 3 Vậy Δ: y = -x + 3
c) Tương tự, a = 0; b = -3
(A và B đều có tung độ -3). Vậy Δ: y = -3
Bài 3. (Trang 42 SGK Toán đại số 10)
Viết phương trình y = ax + b của đường thẳng:
a) Đi qua điểm A(4; 3), B(2;-1).
b) Đi qua điểm A(1;-1) và song song với Ox.
Hướng dẫn giải bài 3:
Các em có thể làm theo như bài 2 ở trên hoặc trình bày như dưới đây:
a) Phương trình đường thẳng (d) qua A(4; 3) và B(2;-1) có dạng tổng quát là y = ax + b, trong đó a, b là các hằng số cần xác định.
Vì A(4; 3) ∈ d nên ta có phương trình của (d), do đó ta có: 3 = a.4 + b.
Tương tự B(2;-1) ∈ d nên ta có: -1 = a.2 + b
Từ đó ta tìm được phương trình đường thẳng AB là: y = 2x – 5.
Phương trình đường thẳng AB là: y = 2x – 5.
b) Gợi ý: Δ đi qua a(1;-1) và song song với trục hoành nên phương trình của Δ có dạng: y = -1
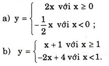
Bài 4. (Trang 42 SGK Toán đại số 10)
Vẽ đồ thị các hàm số

Hướng dẫn giải bài 4:

Giải bài tập trang 41, 42 SGK Đại số 10 chương 2: Hàm số y = ax + b
246 KB-
Tải file định dạng .DOC
- Chia sẻ bởi:
Phan Thị Hoàn
Có thể bạn quan tâm
Xác thực tài khoản!Theo Nghị định 147/2024/ND-CP, bạn cần xác thực tài khoản trước khi sử dụng tính năng này. Chúng tôi sẽ gửi mã xác thực qua SMS hoặc Zalo tới số điện thoại mà bạn nhập dưới đây:
Số điện thoại chưa đúng định dạng! Xác thực ngay Số điện thoại này đã được xác thực! Bạn có thể dùng Sđt này đăng nhập tại đây! Lỗi gửi SMS, liên hệ Admin Sắp xếp theo Mặc định Mới nhất Cũ nhất-
Giải Toán 10 Chương 1: Mệnh đề - Tập hợp
- Giải bài tập SGK Toán lớp 10 (Đại số) chương 1: Mệnh đề
- Giải bài tập SGK Toán lớp 10 (Đại số) chương 1: Tập hợp
- Giải bài tập SGK Toán lớp 10 (Đại số) chương 1: Các phép toán tập hợp
- Giải bài tập SGK Toán lớp 10 (Đại số) chương 1: Các tập hợp số
- Giải bài tập trang 23 SGK Đại số 10: Số gần đúng - Sai số
- Giải bài tập trang 24, 25 SGK Đại số 10: Ôn tập chương 1
-
Giải Toán 10 Chương 2: Hàm số bậc nhất và bậc hai
- Giải bài tập trang 38, 39 SGK Đại số 10 chương 2: Hàm số
- Giải bài tập trang 41, 42 SGK Đại số 10 chương 2: Hàm số y = ax + b
- Giải bài tập trang 49, 50 SGK Đại số 10 chương 2: Hàm số bậc hai
- Giải bài tập trang 50, 51 SGK Đại số 10: Ôn tập chương 2
-
Giải Toán 10 Chương 3: Phương trình. Hệ phương trình
- Giải bài tập trang 57 SGK Đại số 10: Đại cương về phương trình
- Giải bài tập trang 62, 63 SGK Đại số 10: Phương trình quy về phương trình bậc nhất, bậc hai
- Giải bài tập trang 68 SGK Đại số 10: Phương trình và hệ phương trình bậc nhất nhiều ẩn
- Giải bài tập trang 70, 71, 72 SGK Đại số 10: Ôn tập chương 3
-
Giải Toán 10 Chương 4: Bất đẳng thức. Bất phương trình
- Giải bài tập trang 79 SGK Đại số 10: Bất đẳng thức
- Giải bài tập trang 87, 88 SGK Đại số 10: Bất phương trình và hệ bất phương trình một ẩn
- Giải bài tập trang 94 SGK Đại số 10: Dấu của nhị thức bậc nhất
- Giải bài tập trang 99 SGK Đại số 10: Bất phương trình bậc nhất hai ẩn
- Giải bài tập trang 105 SGK Đại số 10: Dấu của tam thức bậc hai
- Giải bài tập Đại số 10: Ôn tập chương 4 (Bài tập trắc nghiệm)
-
Giải Toán 10 Chương 5: Thống kê
- Giải bài tập trang 113, 114 SGK Đại số 10: Bảng phân bố tần số và tần suất
- Giải bài tập trang 118 SGK Đại số 10: Biểu đồ
- Giải bài tập trang 122, 123 SGK Đại số 10: Số trung bình cộng. Số trung vị. Mốt
- Giải bài tập trang 128 SGK Đại số 10: Phương sai và độ lệch chuẩn
- Giải bài tập Đại số 10: Ôn tập chương 5 (Bài tập trắc nghiệm)
-
Giải Toán 10 Chương 6: Cung và góc lượng giác. Công thức lượng giác
- Giải bài tập trang 140 SGK Đại số 10: Cung và góc lượng giác
- Giải bài tập trang 148 SGK Đại số 10: Giá trị lượng giác của một cung
- Giải bài tập trang 154, 155 SGK Đại số 10: Công thức lượng giác
- Giải bài tập Đại số 10: Ôn tập chương 6 (Câu hỏi - Bài tập)
- Giải bài tập Đại số 10: Ôn tập cuối năm
-
Giải Toán 10 phần Hình học Chương 1: Vectơ
- Giải bài tập trang 7 SGK Hình học 10: Các định nghĩa
- Giải bài tập trang 12 SGK Hình học 10: Tổng và hiệu của hai vectơ
- Giải bài tập trang 17 SGK Hình học 10: Tích của vectơ với một số
- Giải bài tập Hình học 10 bài 4: Hệ trục tọa độ
-
Giải Toán 10 phần Hình học Chương 2: Tích vô hướng của hai vectơ và ứng dụng
- Giải bài tập Hình học 10 bài 1: Giá trị lượng giác của một góc bất kì từ 0 độ đến 180 độ
- Giải bài tập Hình học 10 bài 2: Tích vô hướng của hai vectơ
- Giải bài tập Hình học 10 bài 3: Các hệ thức lượng trong tam giác và giải tam giác
- Giải bài tập Hình học 10: Ôn tập chương 2
-
Giải Toán 10 phần Hình học Chương 3: Phương pháp tọa độ trong mặt phẳng
- Giải bài tập trang 80, 81 SGK Hình học 10: Phương trình đường thẳng
- Giải bài tập Hình học 10 bài 2: Phương trình đường tròn
- Giải bài tập Hình học 10 bài 4: Phương trình đường elip
- Giải bài tập Hình học 10 ôn tập chương 3: Phương pháp tọa độ trong mặt phẳng
- Giải bài tập Hình học 10: Ôn tập cuối năm
-
Lớp 10 -
Toán lớp 10 -
Giải bài tập Toán lớp 10 -
Đề thi khảo sát chất lượng đầu năm lớp 10 -
Đề thi giữa kì 1 lớp 10 -
Đề thi học kì 1 lớp 10 -
Đề thi giữa kì 2 lớp 10 -
Đề thi học kì 2 lớp 10 -
Thi học sinh giỏi lớp 10 -
Đề kiểm tra 15 phút lớp 10 -
Toán 10 Kết nối tri thức -
Toán 10 Chân trời sáng tạo -
Toán 10 Cánh Diều -
Lý thuyết Toán 10 KNTT -
Lý thuyết Toán 10 CTST
Tham khảo thêm
-
Giải bài tập Hình học 10: Ôn tập chương 2
-
Giải bài tập trang 70, 71, 72 SGK Đại số 10: Ôn tập chương 3
-
Giải bài tập SGK Toán lớp 10 (Đại số) chương 1: Tập hợp
-
Giải Toán 10 bài 1: Mệnh đề
-
Giải bài tập Hình học 10 bài 1: Giá trị lượng giác của một góc bất kì từ 0 độ đến 180 độ
-
Giải bài tập Hình học 10 bài 3: Các hệ thức lượng trong tam giác và giải tam giác
-
Giải Toán 10: Ôn tập chương 1
-
Giải bài tập trang 87, 88 SGK Đại số 10: Bất phương trình và hệ bất phương trình một ẩn
-
Giải bài tập SGK Toán lớp 10 (Đại số) chương 1: Các phép toán tập hợp
-
Giải Toán lớp 10 Bài 3: Dấu của nhị thức bậc nhất
Giải bài tập Toán lớp 10
-
Giải bài tập Hình học 10: Ôn tập chương 2
-
Giải bài tập Hình học 10 bài 3: Các hệ thức lượng trong tam giác và giải tam giác
-
Giải Toán 10 bài 1: Mệnh đề
-
Giải Toán lớp 10 Bài 3: Dấu của nhị thức bậc nhất
-
Giải bài tập trang 70, 71, 72 SGK Đại số 10: Ôn tập chương 3
-
Giải bài tập trang 87, 88 SGK Đại số 10: Bất phương trình và hệ bất phương trình một ẩn
Gợi ý cho bạn
-
Bộ đề kiểm tra cuối tuần Tiếng Việt lớp 4 Kết nối tri thức Tuần 21
-
Bài tập cuối tuần Tiếng Việt lớp 4 Kết nối tri thức Tuần 21 Nâng cao
-
Chúc đầu tuần bằng tiếng Anh hay nhất
-
Bài tập câu điều kiện có đáp án
Từ khóa » Soạn Bài 3 Toán 10 Trang 42
-
Giải Bài 3 Trang 42 Sgk Đại Số 10 | Hay Nhất Giải Bài Tập Toán Lớp 10
-
Bài 3 Trang 42 SGK Đại Số 10 | SGK Toán Lớp 10
-
Giải Bài 3 Trang 42 – SGK Môn Đại Số Lớp 10 - Chữa Bài Tập
-
Giải Toán 10: Bài 3 Trang 42 SGK Đại Số 10 - TopLoigiai
-
Bài Tập 3 Trang 42 SGK Đại Số 10 - Hoc247
-
Bài 3 Trang 42 Sgk đại Số 10: Bài 2. Hàm Số Y = Ax + B
-
Bài 3 Trang 42 Sgk Toán 10
-
Giải Bài 3: Hàm Số Bậc Hai | Đại Số 10 Trang 42 - 50 - Tech12h
-
Giải Bài 3: Hàm Số Bậc Hai Đại Số 10 Trang 42 - 50 - MarvelVietnam
-
Bài 3 Trang 42 SGK Đại Số 10 - Môn Toán - Tìm đáp án, Giải Bài Tập, để
-
Giải Bài 1, 2, 3, 4 Trang 41, 42 Sách Giáo Khoa Đại Số 10
-
Giải Toán 6 Trang 42, 43 Cánh Diều