Giải Bài Tập Trang 62, 63 SGK Đại Số 10: Phương Trình Quy Về ...
Có thể bạn quan tâm
Nâng cấp gói Pro để trải nghiệm website VnDoc.com KHÔNG quảng cáo, và tải file cực nhanh không chờ đợi.
Tìm hiểu thêm » Mua ngay Từ 79.000đ Hỗ trợ ZaloGiải bài tập Toán Đại số 10 bài Phương trình quy về phương trình bậc nhất, bậc hai
Giải Toán lớp 10 - Giải bài tập trang 62, 63 SGK Đại số 10: Phương trình quy về phương trình bậc nhất, bậc hai là tài liệu để học tốt Toán lớp 10 hay dành cho các bạn học sinh tham khảo. Lời giải bài tập Toán 10 này sẽ giúp các bạn nắm bắt kiến thức chương 3 phần phương trình quy về phương trình bậc nhất, phương trình bậc hai được hiệu quả nhất mà không cần tới sách giải Đại số 10.
Giải bài tập trang 50, 51 SGK Đại số 10: Ôn tập chương 2
Giải bài tập trang 57 SGK Đại số 10: Đại cương về phương trình
Giải bài tập trang 68 SGK Đại số 10: Phương trình và hệ phương trình bậc nhất nhiều ẩn
Giải bài 1, 2, 3, 4, 5, 6, 7, 8 trang 62, 63 SGK Đại số 10: Phương trình quy về phương trình bậc nhất, bậc hai
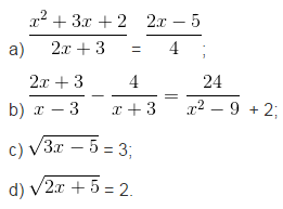
Bài 1. (SGK Đại số 10 trang 62)

Giải bài 1:
a) ĐKXĐ:
2x + 3 ≠ 0 ⇔ x ≠ -3/2.
Quy đồng mẫu thức rồi khử mẫu thức chung thì được
4(x2 + 3x + 2) = (2x – 5)(2x + 3) => 12x + 8 = – 4x – 15
=> x = -23/16 (nhận).
b) ĐKXĐ: x ≠ ± 3. Quy đồng mẫu thức rồi khử mẫu thì được
(2x + 3)(x + 3) – 4(x – 3) = 24 + 2(x2 - 9)
=> 5x = -15 => x = -3 (loại). Phương trình vô nghiệm.
c) Bình phương hai vế thì được: 3x – 5 = 9 => x = 14/3 (nhận).
d) Bình phương hai vế thì được: 2x + 5 = 4 => x = – 1/2.
Bài 2. (SGK Đại số 10 trang 62)
Giải và biện luận các phương trình sau theo tham số m
a) m(x – 2) = 3x + 1;
b) m2x + 6 = 4x + 3m;
c) (2m + 1)x – 2m = 3x – 2.
Giải bài 2:
a) ⇔ (m – 3)x = 2m + 1.
- Nếu m ≠ 3 phương trình có nghiệm duy nhất x = (2m + 1)/(m - 3).
- Nếu m = 3 phương trình trở thành 0x = 7. Vô nghiệm.
b) ⇔ (m2 – 4)x = 3m – 6.
- Nếu m2 – 4 ≠ 0 ⇔ m ≠ ± 2, có nghiệm x = (3m - 6)/(m2 – 4) = 3/(m + 2).
- Nếu m = 2, phương trình trở thành 0x = 0, mọi x ∈ R đều nghiệm đúng phương trình.
- Nếu m = -2, phương trình trở thành 0x = -12. Vô nghiệm.
c) ⇔ 2(m – 1)x = 2(m - 1).
- Nếu m ≠ 1 có nghiệm duy nhất x = 1.
- Nếu m = 1 mọi x ∈ R đều là nghiệm của phương trình.
Giải bài tập Toán 10 Bài 3. (SGK Đại số 10 trang 62)
Có hai rổ quýt chứa số quýt bằng nhau. Nếu lấy 30 quả ở rổ thứ nhất đưa sang rổ thứ hai thì số quả ở rổ thứ hai bằng 1/3 của bình phương số quả còn lại ở rổ thứ nhất. Hỏi số quả quýt ở mỗi rổ lúc ban đầu là bao nhiêu?
Giải bài 3:
Gọi x là số quýt chứa trong một rổ lúc đầu. Điều kiện x nguyên, x > 30. Ta có phương trình 1/3(x – 30)2 = x + 30 ⇔ x2 – 3x + 810 = 0 ⇔ x = 45 (nhận), x = 18 (loại).
Trả lời: Số quýt ở mỗi rổ lúc đầu: 45 quả.
Bài 4. (SGK Đại số 10 trang 62)
Giải các phương trình
a) 2x4 – 7x2 + 5 = 0;
b) 3x4 + 2x2 – 1 = 0.
Giải bài 4:
a) Đặt x2 = t ≥ 0 ta được 2t2 – 7t + 5 = 0, t ≥ 0
2t2 – 7t + 5 = 0 ⇔ t1 = 1 (nhận), t2 = 5/2 (nhận).
Suy ra nghiệm của phương trình ẩn x là x1,2 = ±1, x3,4 = ±√10/2.
b) Đặt x2 = t ≥ 0 thì được 3t2 + 2t – 1 = 0 ⇔ t1 = -1 (loại), t2 = 1/3 (nhận).
Suy ra nghiệm của phương trình ẩn x là x1,2 = ±√3/3
Bài 5. (SGK Đại số 10 trang 62)
Giải các phương trình sau bằng máy tính bỏ túi (làm tròn kết quả đến chữ số thập phân thứ ba)
a) 2x2 – 5x + 4 = 0;
b) -3x2 + 4x + 2 = 0;
c) 3x2 + 7x + 4 = 0;
d) 9x2 – 6x – 4 = 0.
Giải bài 5:

Bài 6. (SGK Đại số 10 trang 62)
Giải các phương trình.
a) |3x – 2| = 2x + 3;
b) |2x -1| = |-5x – 2|;
c) (x - 1)/(2x - 3) = (-3x + 1)/(|x + 1|)
d) |2x + 5| = x2 + 5x + 1.
Giải bài 6:
a) ĐKXĐ: 2x + 3 ≥ 0. Bình phương hai vế thì được:
(3x – 2)2 = (2x + 3)2 => (3x – 2)2 – (2x + 3)2 = 0
⇔ (3x - 2 + 2x + 3)(3x – 2 – 2x – 3) = 0
=> x1 = -1/5 (nhận), x2 = 5 (nhận)
Tập nghiệm S = {-1/5; 5}.
b) Bình phương hai vế:
(2x – 1)2 = (5x + 2)2 => (2x – 1 + 5x + 2)(2x – 1 – 5x – 2) = 0
=> x1 = -1/7, x2 = -1.
c) ĐKXĐ: x ≠ 3/2, x ≠ -1. Quy đồng rồi khử mẫu thức chung
(x – 1)|x + 1| = (2x – 3)(-3x + 1)
- Với x ≥ -1 ta được: x2 – 1 = -6x2 + 11x – 3 => x1 = (11 – √65)/14; x2 = (11 + √65)/14.
- Với x < -1 ta được: -x2 + 1 = -6x2 + 11x – 3 => x1 = (11 – √41)/10 (loại vì không thỏa mãn đk x < -1); x2 = (11 + √41)/10 (loại vì x > -1)
Kết luận: Tập nghiệm S = {(11 – √65)/14; (11 + √65)/14}
d) ĐKXĐ: x2 + 5x + 1 > 0
- Với x ≥ -5/2 ta được: 2x + 5 = x2 + 5x + 1 => x1 = -4 (loại); x2 = 1 (nhận)
- Với x < -5/2 ta được: -2x – 5 = x2 + 5x + 1 => x1 = -6 (nhận); x2 = -1 (loại).
Kết luận: Tập nghiệm S = {1; -6}.
Bài 7. (SGK Đại số 10 trang 62)

Giải bài 7:
a) ĐKXĐ: x – 6 ≥ 0 ⇔ x > 6. Bình phương hai vế thì được 5x + 6 = (x – 6)2 ⇔ x1 = 2 (loại), x2 = 15 (nhận).
b) ĐKXĐ: – 2 ≤ x ≤ 3. Bình phương hai vế thì được 3 – x = x + 3 + 2√(x + 2) ⇔ -2x = 2√(x + 2).
Điều kiện x ≤ 0. Bình phương tiếp ta được: x2 = x + 2 => x1 = -1 (nhận); x2 = 2 (loại).
Kết luận: Tập nghiệm S {-1}.
c) ĐKXĐ: x ≥ -2.
=> 2x2 + 5 = (x + 2)2 => x2 – 4x + 1 = 0
=> x1 =2 – √3 (nhận), x2 = 2 + √3 (nhận).
d) ĐK: x ≥ -1/3.
=> 4x2 + 2x + 10 = (3x + 1)2 => x1 = -9/5 (loại), x2 = 1 (nhận).
Bài 8. (SGK Đại số 10 trang 63)
Cho phương trình 3x2 – 2(m + 1)x + 3m – 5 = 0.
Xác định m để phương trình có một nghiệm gấp ba nghiệm kia. Tính các nghiệm trong trường hợp đó.
Giải bài 8:
Giả sử phương trình có hai nghiệm x1 và x2 với x2 = 3x1. Theo định lí Viet ta có:
x1 + x2 = 4 x1 = [2(m + 1)]/3 => x1 = (m + 1)/6.
Thay x1 = (m + 1)/6 vào phương trình ta được 3[(m + 1)/6]2 - 2(m + 1).(m + 1)/6 + 3m – 5 = 0
⇔ -3m2 + 30m – 63 = 0 ⇔ m1 =3, m2 =7.
Thay m = 3 vào phương trình ta thấy pt có hai nghiệm x1 = 2/3; x2 = 2.
Với m = 7 ta có hai nghiệm x1 = 4/3; x2 = 4.
Từ khóa » Bài Tập Toán Lớp 10 Trang 62
-
Giải Bài 1 Trang 62 Sgk Đại Số 10 | Hay Nhất Giải Bài Tập Toán Lớp 10
-
Giải Bài 2 Trang 62 Sgk Đại Số 10 | Hay Nhất Giải Bài Tập Toán Lớp 10
-
Bài 1,2,3,4,5, 6,7,8 Trang 62,63 Toán Đại Số 10
-
Bài 1 Trang 62 SGK Đại Số 10 | SGK Toán Lớp 10
-
Giải Bài Tập Trang 62, 63 SGK Đại Số 10 - Thủ Thuật
-
Giải Bài 1 Trang 62 – SGK Môn Đại Số Lớp 10 - Chữa Bài Tập
-
Giải Bài Tập Toán 10 SGK Trang 62 (Đại Số) đầy đủ Nhất
-
Bài 1 Trang 62 SGK Đại Số 10 | Giải Bài Tập Toán 10 - TopLoigiai
-
Giải Bài 1, 2, 3, 4 Trang 62 Sách Giáo Khoa Đại Số 10
-
Giải Bài 1 2 3 4 5 6 7 8 Trang 62 63 Sgk Đại Số 10
-
Bài Tập 1 Trang 62 SGK Đại Số 10
-
Bài 2 Trang 62 Sgk đại Số 10
-
Bài 5 Trang 62 SGK Đại Số 10 - Môn Toán - Tìm đáp án, Giải Bài Tập, để
-
Giải Bài Tập Toán Lớp 10 Trang 62