Giải Bài Tập VBT Vật Lý Lớp 8 Bài 2: Vận Tốc
Có thể bạn quan tâm
Để biết ai chạy nhanh, ai chạy chậm cần so sánh thời gian mà họ chạy hết 60m cho cùng quãng đường chạy.
Từ cột 2, 3 của bảng 2.1 có thể xếp hạng chạy nhanh, chậm cho từng học sinh vào cột 4. Kết quả như sau:
Thứ 1: Đào Việt Hùng.
Thứ 2: Trần Bình.
Thứ 3: Nguyễn An.
Thứ 4: Phạm Việt.
Thứ 5: Lê Văn Cao.
Câu C2 trang 10 VBT Vật Lí 8:
Lời giải:
Quãng đường chạy được trong mỗi giây
Bảng 2.1
| Số thứ tự | Họ và tên học sinh | Xếp hạng | Quãng đường chạy trong 1 giây |
| 1 | Nguvễn An | 3 | 6,000 m/s |
| 2 | Trần Bình | 2 | 6,316 m/s |
| 3 | Lê Văn Cao | 5 | 5,454 m/s |
| 4 | Đào Việt Hùng | 1 | 6,667 m/s |
| 5 | Phạm Việt | 4 | 5,714 m/s |
Kết luận: Vận tốc được biểu thị bằng quãng đường chạy được trong 1 giây.
Câu C3 trang 10 VBT Vật Lí 8:
Lời giải:
Độ lớn của vận tốc cho biết sự nhanh, chậm của chuyển động.
Độ lớn của vận tốc được tính bằng quãng đường đi được trong một đơn vị thời gian.
II - Công thức tính vận tốc
\(v=\frac{s}{t}\), trong đó: v là vận tốc, s là quãng đường đi được, t là thời gian để đi hết quãng đường đó.
III - Đơn vị vận tốc
Câu C4 trang 11 VBT Vật Lí 8: Tìm đơn vị vận tốc thích hợp để điền vào chỗ trống ở bảng 2.2.
Lời giải:
Bảng 2.2| Đơn vị chiều dài | m | m | km | km | cm |
| Đơn vị thời gian | s | phút | h | g | s |
| Đơn vị vận tốc | m/s | m/ph | km/h | km/s | cm/s |
Câu C5 trang 11 VBT Vật Lí 8:
Lời giải:
a) Vận tốc của một ô tô là 36 km/h cho biết trong một giờ, ô tô đi được 36km.
Vận tốc của một người đi xe đạp là 10,8 km/h cho biết trong một giờ, người đi xe đạp đi được 10,8km.
Vận tốc của một xe lửa là 10m/s cho biết trong một giây, xe lửa đi được 10m.
b) Để so sánh các chuyển động với nhau thì phải đổi vận tốc của các chuyển động về cùng một đơn vị.
Vận tốc ô tô là:
v1 = 36 km/h = 36000/3600 = 10 m/s.
Vận tốc của xe đạp là:
v2 = 10,8 km/h = 10800/3600 = 3 m/s.
Vận tốc của xe lửa là 10m/s.
Vậy chuyển động của xe lửa là nhanh nhất, người đi xe đạp là chậm nhất.
Câu C6 trang 11 VBT Vật Lí 8:
Lời giải:
Vận tốc của tàu tính ra km/h là:

Đổi s = 81 km = 81000 m, t = 1,5 giờ = 1,5.3600 = 5400 s
Vận tốc của tàu tính ra m/s:

Câu C7 trang 12 VBT Vật Lí 8:
Lời giải:
Ta có:
![]()
Quãng đường người đó đi được là:

Đáp số: s = 8 km.
Câu C8 trang 12 VBT Vật Lí 8:
Lời giải:
Ta có: 30 phút = 0,5 giờ.
Khoảng cách từ nhà đến nơi làm việc bằng đúng quãng đường mà người đó đã đi trong 30 phút.
Quãng đường người đó phải đi là:
s = v.t = 4.0,5 = 2 km.
Ghi nhớ:
- Độ lớn của vận tốc được xác định bằng độ dài quãng đường đi được trong một đơn vị thời gian và cho biết mức độ nhanh hay chậm của chuyển động
- Công thức tính vận tốc:
\(v=\frac{s}{t}\)
trong đó: s là độ dài quãng đường đi, t là thời gian để đi hết quãng đường đó.
- Đơn vị vận tốc phụ thuộc vào đơn vị độ dài và đơn vị thời gian. Đơn vị vận tốc thường được sử dụng là m/s và km/h.
B. Giải bài tập
1. Bài tập trong SBT
Bài 2.1 trang 12 VBT Vật Lí 8: Đơn vị vận tốc là:
A. km.h
B. m.s
C. km/h
D. s/m
Lời giải:
Chọn C.
Vì vận tốc
\(v=\frac{s}{t}\); và s có đơn vị đo là km, t có đơn vị đo là h nên đơn vị của vận tốc là km/h.
Bài 2.2 trang 12-13 VBT Vật Lí 8:
Lời giải:
Hướng dẫn.
Muốn biết chuyển động nào nhanh hơn thì phải so sánh các vận tốc ở cùng một đơn vị.
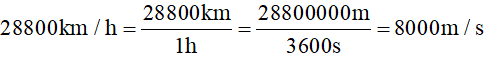
Ta có:

Mặt khác: 8000m/s > 1692m/s.
Vậy vận tốc của vệ tinh nhân tạo của Trái Đất nhanh hơn vận tốc của phân tử hidro ở 0oC.
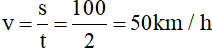
Bài 2.3 trang 13 VBT Vật Lí 8:
Tóm tắt:
s = 100km; t2 = 10h; t1 = 8h; v = ?
Lời giải:
Khoảng thời gian ôtô đi từ Hà Nội đến Hải Phòng là: t = t2 – t1 = 10 – 8 = 2h.
Vận tốc của ôtô là:

Đổi ra m/s là:

Bài 2.4 trang 13 VBT Vật Lí 8:
Tóm tắt:
v = 800 km/h, s = 1400 km, t = ?
Lời giải:
Thời gian máy bay là:

Bài 2.5 trang 13 VBT Vật Lí 8:
Tóm tắt:
s1 = 300m; t1 = 1 phút = 60s.
s2 = 7,5km = 7500m; t2 = 0,5h = 1800s.
a) So sánh v1, v2?
b) Sau t = 20 phút, hai người cách nhau bao nhiêu?
Lời giải:
a) Vận tốc của người thứ nhất là:

Vận tốc của người thứ hai là:

Vì v1 > v2 nên người thứ nhất đi nhanh hơn người thứ hai.
b) Ta có: 20 phút = 1/3 giờ; 5m/s = 18km/h; 4,17m/s = 15km/h
Sau thời gian 20 phút, người thứ nhất đi được quãng đường là:
s1 = v1.t1 = 18.1/3 = 6 (km)
Sau thời gian 20 phút người thứ hai đi được quãng đường là:
s2 = v1.t1 = 15.1/3 = 5 (km)
Sau thời gian 20 phút, người thứ nhất vượt và cách người thứ hai một đoạn đường là: s = s1 - s2 = 6 - 5 = 1(km).
Bài 2a trang 13-14 VBT Vật Lí 8: Hãy sắp xếp các vận tốc sau theo thứ tự tăng dần.
- Vận tốc của ánh sáng: 300 000 km/s.
- Vận tốc của con báo đang chạy: 30m/s.
- Vận tốc của chim bồ câu khi bay: 110km/h.
- Vận tốc của âm thanh: 300m/s.
- Vận tốc của máy bay phản lực chiến đấu: 2500km/h.
Lời giải:
Ta đổi các đơn vị vận tốc trên về cùng một đơn vị là m/s.
- Vận tốc của ánh sáng: 300 000 km/s = 300 000 000 m/s.
- Vận tốc của con báo đang chạy: 30m/s.
- Vận tốc của chim bồ câu khi bay: 110km/h = 30,56m/s
- Vận tốc của âm thanh: 300m/s.
- Vận tốc của máy bay phản lực chiến đấu: 2500km/h = 694,44 m/s.
Như vậy các vận tốc được sắp xếp theo thứ tự tăng dần:
Vận tốc của con báo đang chạy < Vận tốc của chim bồ câu khi bay < Vận tốc của âm thanh: 300m/s < Vận tốc của máy bay phản lực chiến đấu < Vận tốc của ánh sáng.
Bài 2b trang 14 VBT Vật Lí 8: Trong các công thức tính vận tốc sau đây, công thức nào đúng?
A. v = s.t
B. v = t/s
C. v = s/t
D. Cả ba công thức trên đều không đúng.
Lời giải:
Chọn C.
Vì công thức tính vận tốc:
trong đó: s là độ đài quãng đường đi, t là thời gian để đi hết quãng đường đó.
Bài 2c trang 14 VBT Vật Lí 8: Con tàu vũ trụ đầu tiên bay một vòng xung quanh Trái Đất hết 90 phút với vận tốc 28 800km/h. Tính quãng đường con tàu vũ trụ bay được khi bay hết một vòng.
Lời giải:
Ta có: t = 90phút = 1,5h; v = 28 800km/h.
Quãng đường con tàu vũ trụ bay được khi bay hết một vòng là:
s = v.t = 28 800.1,5 = 43200 km.
Từ khóa » Câu C7 Bài 2 Vật Lý 8
-
Giải Bài C7 Trang 10 SGK Vật Lý 8
-
Trả Lời Câu Hỏi C7 Trang 10 -SGK Môn Vật Lý Lớp 8 - Chữa Bài Tập
-
Bài C7 Trang 10 SGK Vật Lí 8
-
Bài C7 Trang 10 SGK Vật Lí 8 - Vật Lý - Tìm đáp án, Giải Bài Tập, để
-
Trả Lời Câu Hỏi C1 C2 C3 C4 C5 C6 C7 C8 Bài 2 Trang 8 9 10 Sgk ...
-
Bài C7 Trang 10 SGK Vật Lý 8 - Top Lời Giải
-
Trả Lời Câu Hỏi C7 Trang 10 -SGK Môn Vật Lý Lớp 8 - MarvelVietnam
-
Bài C1- C8 Trang 8,9,10 SGK Vật Lý 8: Vận Tốc
-
Giải Bài Tập Vật Lí 8 - Bài 2: Vận Tốc
-
Trả Lời Câu C7 Trang 10 SGK Vật Lí 8 - YouTube
-
Giải Bài Tập Vật Lý 8 Bài 2 - Vận Tốc
-
Bài C7 Trang 10 SGK Vật Lí 8 - Giải Bài Tập Sách Giáo Khoa
-
Bài 2: Vận Tốc