Giải Hóa 11 Bài 35: Benzen Và đồng đẳng. Một Số Hiđrocacbon ...
Có thể bạn quan tâm
Nâng cấp gói Pro để trải nghiệm website VnDoc.com KHÔNG quảng cáo, và tải file cực nhanh không chờ đợi.
Tìm hiểu thêm » Mua ngay Từ 79.000đ Hỗ trợ ZaloGiải bài tập bài 35 hóa 11: Benzen và đồng đẳng
- Bài 1 trang 159 SGK Hóa 11
- Bài 2 trang 159 SGK Hóa 11
- Bài 3 trang 159 SGK Hóa 11
- Bài 4 trang 160 SGK Hóa 11
- Bài 5 trang 160 SGK Hóa 11
- Bài 6 trang 160 SGK Hóa 11
- Bài 7 trang 160 SGK Hóa 11
- Bài 8 trang 160 SGK Hóa 11
- Bài 9 trang 160 SGK Hóa 11
- Bài 10 trang 160 SGK Hóa 11
- Bài 11 trang 160 SGK Hóa 11
- Bài 12 trang 161 SGK Hóa 11
- Bài 13 trang 161 SGK Hóa 11
VnDoc xin giới thiệu tới bạn đọc tài liệu Giải Hóa 11 Bài 35: Benzen và đồng đẳng. Một số hiđrocacbon thơm khác, tài liệu giúp bạn đọc giải đáp các câu hỏi bài tập sách giáo khoa Hóa 11, một cách chính xác dễ hiểu. Chắc chắn lời giải bài tập Hóa 11 này sẽ là nguồn thông tin hữu ích để phục vụ công việc học tập của các bạn học sinh được tốt hơn
Bài 1 trang 159 SGK Hóa 11
Ứng với công thức phân tử C8H10 có bao nhiêu đồng phân hiđrocacbon thơm?
A. 2
B. 3
C. 4
D. 5
Hãy chọn đáp án đúng
Đáp án hướng dẫn giải
Đáp án C
4 đồng phân hiđrocacbon thơm của C8H10 là:
Bài 2 trang 159 SGK Hóa 11
Toluen và benzen cùng phản ứng được với chất nào sau đây: (1) dung dịch brom trong CCl4; (2) dung dịch kali pemanganat; (3) hiđro có xúc tác Ni, đun nóng; (4)Br2 có bột Fe, đun nóng? Viết phương trình hoá học của các phương trình xảy ra.
Đáp án hướng dẫn giải
Toluen và benzen cùng phản ứng hidro có xúc tác Ni
Đun nóng; Br2 có bột Fe đun nóng

Bài 3 trang 159 SGK Hóa 11
Viết phương trình hoá học của các phản ứng xảy ra trong mỗi trường hợp sau:
a. Toluen tác dụng với hiđro có xúc tác Ni, áp suất cao, đun nóng.
b. Đun nóng benzen với hỗn hợp HNO3 đặc và H2SO4 đặc.
Đáp án hướng dẫn giải

Bài 4 trang 160 SGK Hóa 11
Trình bày phương pháp hoá học phân biệt các chất: benzen, hex-1-en và toluen. Viết phương trình hoá học của các phản ứng đã dùng
Đáp án hướng dẫn giải
Cho các chất lần lượt tác dụng với dung dịch Br2, chất nào làm nhạt màu dung dịch Br2 thì đó là hex-1-en.
Cho 2 chất còn lại qua dung dịch KMnO4, chất nào làm mất màu dung dịch KMnO4 thì đó là toluen.

Bài 5 trang 160 SGK Hóa 11
Hiđrocacbon X là chất lỏng có tỉ khối hơi so với không khí bằng 3,17. Đốt cháy hoàn toàn thu được CO2 có khối lượng bằng 4,28 lần khối lượng của nước. Ở nhiệt độ thường, X không làm mất màu dung dịch brom; khi đun nóng, X làm mất màu KMnO4.
a. Tìm công thức phân tử và viết công thức cấu tạo của X?
b. Viết phương trình hoá học của phản ứng giữa X với H2 (xúc tác Ni, đun nóng), với brom (có mặt bột Fe), với hỗn hợp dư của axit HNO3 và axit H2SO4 đậm đặc.
Đáp án hướng dẫn giải
Gọi CTPT của X là CxHy
MX = 3,17.29 = 92
=> 12x + y = 92 (1)
CxHy + (x+y/4)O2
\(\overset{t^{\circ } }{\rightarrow}\) xCO2 + y/2H2O
1(mol) →x (mol)→0,5y (mol)
\(\frac{m_{CO_{2}}}{m_{H_{2}O}} = \frac{44x}{0,5y.18} = 4,28\)
y = 1,14x (2)
Từ (1) và (2) => x = 7 và y = 8
=> CTPT của X là C7H8
X là chất lỏng, không làm mất màu dd nước brom, làm mất màu dd KMnO4 khi đun nóng => X là C6H5CH3



Bài 6 trang 160 SGK Hóa 11
Đánh dấu (+) vào ô cặp chất phản ứng với nhau theo mẫu sau:
| Benzen | Hexen | Toluen | Etilen | |
| H2, xúc tác Ni | + | + | ||
| Br2 (dd) | ||||
| Br2 có Fe, đun nóng | ||||
| dd KMnO4, nóng | ||||
| HBr | ||||
| H2O (xt H+) |
Đáp án hướng dẫn giải
| Benzen | Hexen | Toluen | Etilen | |
| H2, xúc tác Ni | + | + | + | + |
| Br2 (dd) | + | + | ||
| Br2 có Fe, đun nóng | + | |||
| dd KMnO4, nóng | + | + | + | |
| HBr | + | + | + | |
| H2O (xt H+) | + | + |
Bài 7 trang 160 SGK Hóa 11
Cho benzen tác dụng với lượng dư HNO3 đặc có xúc tác H2SO4 đặc để điều chế nitrobenzen. Tính khối lượng nitrobenzen thu được khi dùng 1,00 tấn benzen với hiệu suất 78,0%.
Đáp án hướng dẫn giải
Phương trình phản ứng:
Vì %H =78% => Khối lượng C6H6 tham gia phản ứng là:
mC6H6pu = 78%/100% = 0,78 (tấn)
C6H6 + HNO3 đặc
\(\overset{H_{2} SO_{4} đặc}{\rightarrow}\) C6H5NO2 + H2O
Theo PT: 78 (gam) 123 (gam)
Hay 78 (tấn ) → 123 (tấn)
Vậy theo ĐB: 0,78 (tấn) → x (tấn)
=> x = 0,78.123/78=1,23 (tấn)
Bài 8 trang 160 SGK Hóa 11
So sánh tính chất hoá học của etylbenzen với stiren, viết phương trình hoá học của phản ứng để minh hoạ.
Đáp án hướng dẫn giải
a. Giống nhau: đều phản ứng thế


b. Khác nhau:
Etylbenzen có tính chất giống ankan

Stiren có tính chất giống anken

Bài 9 trang 160 SGK Hóa 11
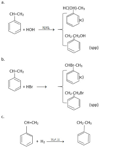
Dùng công thức cấu tạo viết phương trình hoá học của stiren với:
a. H2O( xúc tác H2SO4)
b. HBr
c. H2 (theo tỉ lệ mol 1:1, xúc tác Ni)
Đáp án hướng dẫn giải

Bài 10 trang 160 SGK Hóa 11
Trình bày phương pháp hoá học phân biệt 3 chất lỏng sau: toluen, benzen, stiren. Viết phương trình hoá học của các phản ứng hoá học đã dùng.
Đáp án hướng dẫn giải
Cho 3 chất lỏng tác dụng với dung dịch KMnO4 ở nhiệt độ thường, chất nào làm mất màu dung dịch KMnO4 ở nhiệt độ thường là stiren.
Với 2 hỗn hợp phản ứng còn lại ta đem đun nóng, chất nào làm mất màu dung dịch KMnO4 (nóng) thì là toluen, còn lại là benzen.

Bài 11 trang 160 SGK Hóa 11
Khi tách hiđro của 66,25 kg etylbenzen thu được 52,00 kg stiren. Tiến hành phản ứng trùng hợp toàn bộ lượng stiren này thu được hỗn hợp A gồm polistiren và phần stiren chưa tham gia phản ứng. Biết 5,20 gam A vừa đủ làm mất màu của 60,00 ml dung dịch brom 0,15M.
a. Tính hiệu suất của phản ứng tách hiđro của etylbenzen.
b. Tính khối lượng stiren đã trùng hợp.
c. Polistren có phân tử khối trung bình bằng 3,12.105. Tính hệ số trùng hợp trung bình của polime.
Đáp án hướng dẫn giải

nStiren dư = nBr2 = 0,009 (mol) => mSitren dư = 0,009.104 = 0,936 (g)
Theo định luật bảo toàn khối lượng: mtrước = msau => mA = mstiren = 52 (kg)
Cứ 5,2 gam A thì khối lượng stiren dư là 0,936 (g)
=> 52 kg A có khối lượng stiren dư là x (gam)
=> 52.0,936/5,2= 9,36 (kg)
Vậy khối lương stiren đã tham gia phản ứng là: 52 – 9,36 = 42, 64 (kg)
c) Hệ số trùng hợp là: n= 3,12.105/104 = 3000
Bài 12 trang 161 SGK Hóa 11
Trình bày cách đơn giản để thu được naphtalen tinh khiết từ hỗn hợp naphtalen có lẫn tạp chất không tan trong nước và không bay hơi.
Đáp án hướng dẫn giải
Úp miệng phễu có gắn giấy đục lỗ trên hỗn hợp naphtalen và tạp chất, đun nóng (lắp dụng cụ như hình 7.3/Sách giáo khoa trang 157), naphtalen thăng hoa tạo các tinh thể hình kim bám trên mặt giấy, ta thu được naphtalen tinh khiết.
Bài 13 trang 161 SGK Hóa 11
Từ etilen và benzen, tổng hợp được stiren theo sơ đồ:
a. Viết các phương trình hoá học thực hiện sự biến đổi trên?
b. Tính khối lượng stiren thu được từ 1,00 tấn benzen nếu hiệu suất của quá trình là 78%.
Đáp án hướng dẫn giải
a) C6H6 + C2H4
\(\overset{H^{+} }{\rightarrow}\) C6H5 – CH2 - CH3
C6H5CH2CH3
\(\overset{xt,t^{\circ } }{\rightarrow}\) C6H5CH = CH2 + H2
b) Theo sơ đồ: C6H6 → C6H5CH2CH3 → C6H5CH = CH2
\(m_{C_{6}H_{6}pu} = \frac{1.106.78\%}{100\%} = 78.104\left(g\right)\)
\(n_{C_{6}H_{6}pu} = \frac{78.104}{78} = 104\left(mol\right)\)
nStiren = nC6H6 pư = 104 (mol)
=> mStiren = 104. 104 = 1040000 (g) = 1,04 (tấn)
>> Mời các bạn tham khảo thêm giải hóa 11 bài 36 tại: Giải bài tập Hóa 11 Bài 36: Luyện tập Hiđrocacbon thơm
--------------------------------------
Trên đây VnDoc.com đã giới thiệu tới bạn đọc tài liệu: Giải bài tập Hóa 11 Bài 35: Benzen và đồng đẳng. Một số hiđrocacbon thơm khác. Mời bạn đọc cùng tham khảo thêm mục Trắc nghiệm Hóa học 11...
>> Mời các bạn tham khảo thêm một số tài liệu liên quan
- Giải bài tập Hóa 11 Bài 38: Hệ thống hóa về hiđrocacbon
- Giải bài tập Hóa 11 Bài 37: Nguồn hiđrocacbon thiên nhiên
- Giải bài tập Hóa 11 Bài 39: Dẫn xuất halogen của hiđrocacbon
Từ khóa » Bài Tập 35 Benzen Và đồng đẳng
-
Bài 35. Benzen Và đồng đẳng. Một Số Hiđrocacbon Thơm Khác
-
Bài 35 : Benzen Và đồng đẳng. Một Số Hiđrocacbon Thơm Khác
-
Benzen Và đồng đẳng: Một Số Hiđrocacbon Thơm Khác - Giải Bài Tập
-
Hoá Học 11 Bài 35: Benzen Và đồng đẳng. Một Số Hiđrocacbon Thơm ...
-
Soạn Hoá Học 11 Bài 35 Benzen Và đồng đẳng. Một Số Hidrocacbon ...
-
Lý Thuyết Hóa 11: Bài 35. Benzen Và đồng đẳng. Một Số ... - TopLoigiai
-
Giải Bài 35 Benzen Và đồng đẳng. Một Số Hidrocacbon ... - Tech12h
-
Giải Bài Tập SGK Hóa Học 11 Bài 35: Benzen Và đồng đẳng. Một Số ...
-
Giải Bài 1, 2, 3, 4, 5, 6 Trang 159, 160 SGK Hóa Học 11
-
Giải Hoá Học 11 Bài 35: Benzen Và đồng đẳng. Một Số Hiđrocacbon ...
-
Bài 35: Benzen Và đồng đẳng. Một Số Hidrocacbon Thơm Khác
-
Giải Bài 35 Benzen Và đồng đẳng. Một Số Hidrocacbon ... - Khoa Học
-
Giải Hóa 11 Bài 35: Benzen Và đồng đẳng. Một Số Hiđrocacbon ...
-
Hóa Học Lớp 11 - Bài 35 - Benzen Và đồng đẳng Một Số Hiđrôcacbon ...
