Giải Phương Trình Sin2x - 12(sinx - Cosx) + 12 = 0

Tất cả Toán học Vật Lý Hóa học Văn học Lịch sử Địa lý Sinh học Giáo dục công dân Tin học Tiếng anh Công nghệ Khoa học Tự nhiên Lịch sử và Địa lý Phương Anh đã hỏi trong Lớp 11 Toán học · 17:04 31/08/2020 Chương 1: Hàm số lượng giác và phương trình lượng giác Theo dõi Báo cáo

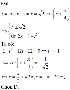
Giải phương trình sin2x - 12(sinx - cosx) + 12 = 0

Trả Lời Hỏi câu khác Hỏi chi tiết ...Xem thêm

Quảng cáo

1 câu trả lời 2220

Bình An 5 năm trước

0 bình luận Đăng nhập để hỏi chi tiết

Quảng cáo

Bạn muốn hỏi bài tập?

Đặt câu hỏi
Câu hỏi hot cùng chủ đề
  • Phương trình 3sinx - cos x = 1

    tương đương với phương trình nào sau đây?

    Trả lời (4) Xem đáp án » 47544
  • Tính tổng T các nghiệm của phương trình cos2x−sin2x=2+sin2x trên khoảng0;2π.

    A. T=7π8.

    B. T=21π8.

    C. T=11π4.

    D. T=3π4.

    Trả lời (1) Xem đáp án » 27562
  • Trong các hàm số sau, hàm số nào là hàm số chẵn?

    A.  y = - sin x

    B. y = cosx - sinx 

    C. y = cosx + sin2x

    D. y = cosx. sin x

    Trả lời (2) Xem đáp án » 23890
  • Phương trình 2cosx -3 = 0 có tập nghiệm trong khoảng (0;2π) là:

    A. π6;11π6

    B. 2π3;4π3

    C. π3;5π3

    D. 5π6;7π6

    Trả lời (2) Xem đáp án » 20189
  • Tìm chu kì T của hàm số y=cos2x+sinx2.

    A. T=4π.

    B. T=π.

    C. T=2π.

    D. T=π2.

    Trả lời (2) Xem đáp án » 19962
  • giải phương trình đẳng cấp sin cos: 2sin(x+pi/4)+sin(x-pi/4)= 322

    Trả lời (1) Xem đáp án » 19306
  • Trong các phương trình sau, phương trình nào có nghiệm?

    A. 3sinx = 2

    B. 14cos4x=12

    C. 2sinx + 3cosx =1

    D. cot2x – cotx +5 = 0

    Trả lời (1) Xem đáp án » 18890
  • phương trình 3sinx-4cosx=m có nghiệm khi

    Trả lời (3) Xem đáp án » 16156
  • tìm gtnn gtln của hàm số y= sin2x+cos2x

    Trả lời (1) Xem đáp án » 14034
  • Nghiệm của phương trình sin2x - 4sinx + 3 = 0 là :

    Trả lời (2) Xem đáp án » 13004

Quảng cáo

Đặt câu hỏi ngay Thành viên hăng hái nhất trong tuần
  • I miss you 4255 điểm
  • ‌‌‌‍‍‌‌‍‌‌‌‌‌‌‌‌‍‌` ✧` 2735 điểm
  • Judy Hopps 1410 điểm
  • ⋆˚࿔ neuemla... 𝜗𝜚˚ 1360 điểm
  • bích hồng nguyễn 1080 điểm
  • iu vk vãi cak 735 điểm
  • `color{red}text{HuyTùng` 530 điểm
  • `\color{pink}\text{d.` 520 điểm
  • chê ng tốt chốt ng tồi. 460 điểm
  • (┬┬﹏┬┬) 𝙻𝚘𝚟𝚎𝚒𝚜𝚝𝚛𝚞𝚎💔 450 điểm
  • chao.ngdep 445 điểm
  • h hello 425 điểm
  • ౨ৎ𝘉ắ𝘱ت𝘭𝘶ộ𝘤تđê⋅˚₊‧ ଳ⋆.࿔*:・🌽 415 điểm
  • Haruto[pad] 395 điểm
  • lạnh ôm jet (: 380 điểm
Xem thêm button Rút gọn button
Bài viết mới nhất Lớp 11
  • Phân tích nhân vật Bê-li-cốp trong truyện ngắn Người trong bao của Sê-khốp. 3 năm trước 3737
  • Phân tích tác phẩm Một thời đại trong thi ca của Hoài Thanh. 3 năm trước 3535
  • Cảm nhận vẻ đẹp tình yêu trong sáng trong bài thơ Tôi yêu em của Pu-Skin. 3 năm trước 3486
  • Phân tích tâm trạng của nhân vật trữ tình qua bài thơ Tôi yêu em của Pu-Skin. 3 năm trước 3729
  • Phân tích bài thơ Tôi yêu em của Pu-Skin. 3 năm trước 3376
Xem thêm » Gửi báo cáo thành công!
Thông báo
× Trải nghiệm miễn phí Hỏi đáp với App VietJack ! Tải nội dung trên Google Play Tải nội dung trên AppStore Tiếp tục sử dụng web! Đăng nhập vào hệ thống × Tài khoản Google Lưu mật khẩu Bạn quên mật khẩu? Đăng nhập Bạn chưa có tài khoản? Đăng ký ngay Đăng ký vào hệ thống × Tài khoản Google Đăng ký Bạn đã có tài khoản? Đăng nhập ngay Khôi phục tài khoản × Khôi phục Bạn đã có tài khoản? Đăng nhập ngay Đặt câu hỏi

Từ khóa » Giải Pt Sin2x-12(sinx-cosx)+12=0