Giải Phương Trình: X^4-16=0
Có thể bạn quan tâm
Giải phương trình: x4-16=0
Trả Lời Hỏi câu khác Lưu câu hỏi Lưu Hỏi chi tiết ...Xem thêmQuảng cáo
2 câu trả lời 6678
T Thùy Dương 5 năm trước
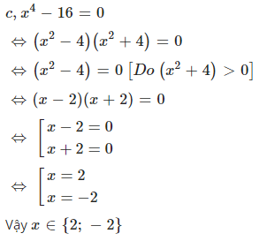
x4 − 16 = 0
=> x4 = 0+16
=> x4 = 16
=> x4 = 24 hoặc x4=(-2)4
vậy x=2 hoặc x=(-2)
đây nhá
0 bình luận Đăng nhập để hỏi chi tiếtQuảng cáo
Bạn hỏi - Chuyên gia trả lời
Bạn cần hỏi gì?
Gửi câu hỏiCâu hỏi hot cùng chủ đề
-
Cho tam giác ABC vuông tại A có AB =12cm, AC=16cm, vẽ đường cao AH
a, Chứng minh: Tam giác HBA đồng dạng với tam giác ABC
b, Tính BC AH
c, Trong tam giác ABC kẻ phân giác AD (D thuộc BC). Trong tam giác ADB kẻ phân giác DE (E thuộc AB). Trong tam giác ADC kẻ phân giác DF(F thuộc AC). Chứng minh: EAEB.DBDC.FCFA=1
Trả lời (21) Xem đáp án » 108331 - Hỏi từ APP VIETJACK
Đã trả lời bởi chuyên gia Cho tam giác ABC, các đường cao BD, CE cắt nhau tại H. Đường vuông góc với AB tại B và đường vuông góc với AC tại C cắt nhau ở K. Gọi M là trung điểm của BC. a) chứng minh tam giác ADB đồng dạng tam giác AEC B) chứng minh HE. HC = HD. HB c) chứng minh H, K, Thẳng hàng Trả lời (6) Xem đáp án » 69198 -
Cho hình chữ nhật ABCD có AB = 8cm, BC = 6cm. Vẽ đường cao AH của tam giác ADB.
a) Tính DB
b) Chứng minh ADH đồng dạng ADB
c) Chứng minh AD2= DH.DB
d) Chứng minh AHB đồng dạng BCD
e) Tính độ dài đoạn thẳng DH, AH
Trả lời (4) Xem đáp án » 58731 -
Đã trả lời bởi chuyên gia Một người đi xe đạp từ A đến B cách nhau 24km. Khi đi từ B trở về A người đó tăng vận tốc thêm 4km/h so với lúc đi, nên thời gian về ít hơn thời gian đi là 30 phút. Tính vận tốc của xe đạp khi đi từ A đến B.
A. 12km /h
B. 15km/h
C. 20km/h
D.16km/h
Trả lời (20) Xem đáp án » 53156 -
Đã trả lời bởi chuyên gia Chọn đáp án đúng
Cho hình bình hành ABCD có A^=50°. Ta tính được các góc còn lại của hình bình hành đó là:
A. B^=130°; C^=50°; D^=130°
B. B^=50°; C^=130°; D^=130°
C. B^=130°; C^=130°; D^=50°
D. B^=50°; C^=50°; D^=130°
Trả lời (92) Xem đáp án » 47629 -
Đã trả lời bởi chuyên gia hình chóp tứ giác có bao nhiêu mặt bao nhiêu cạnh bao nhiêu đỉnh
Trả lời (14) Xem đáp án » 45789 -
Đã trả lời bởi chuyên gia Cho tam giác MNP vuông tại M,đường cao MH
a, Chứng minh tam giác HMN đồng dạng với tam giác MNP
b, chứng minh hệ thức MH2=NH.PH
c, Lấy điểm E tùy ý trên cạnh MP,vẽ điểm F trên cạnh MN sao cho góc FHE =90 độ. Chứng minh tam giác NFH đồng dạng với tam giác MEH và góc NMH=góc FEH
d,Xác định vị trí điểm E trên MP sao cho diện tích tam giác HEF đạt giá trị nhỏ nhất
Từ khóa » Phân Tích X^4+16
-
Phân Tích đa Thức X^4+16 Thành Nhân Tử - Phạm Phú Lộc Nữ - Hoc247
-
Phân Tích đa Thức Thành Nhân Tử: X^4 + 16 - Toán Học Lớp 9
-
Thừa Số X^4-16 | Mathway
-
Phân Tích đa Thức Thành Nhân Tử X^4+16 16x^4+1 - Hoc24
-
Phân Tích đa Thức Thành Nhân Tử:\(x^4+16\)(làm Cách Thêm ... - Hoc24
-
X^4 =16 Trả Lời Giúp Mình Với - Selfomy Hỏi Đáp
-
Phân Tích đa Thức đa Thức Thành Nhân Tử : X4 + 64 - Olm
-
Phân Tích đa Thức Thành Nhân Tử: X^8+7x^4+16 - Olm
-
16 Phân Tích đa Thức Thành Nhân Tử Mọi Người Giúp Mình Với
-
Giải Phương Trình: (x – 6)^4 + (x – 8)^4 = 16 - Giáo Viên Việt Nam
-
Phân Tích đa Thức Thành Nhân Tử X^4+16 16x^4+1