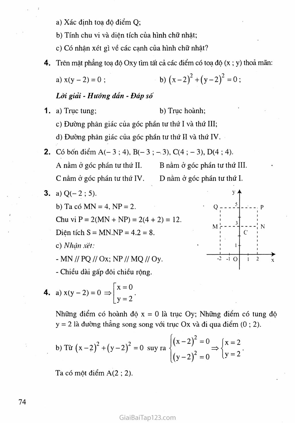
Giải Toán 7 Bài 6. Mặt Phẳng Tọa độ
Có thể bạn quan tâm

- Home
- Lớp 1,2,3
- Lớp 1
- Giải Toán Lớp 1
- Tiếng Việt Lớp 1
- Lớp 2
- Giải Toán Lớp 2
- Tiếng Việt Lớp 2
- Văn Mẫu Lớp 2
- Lớp 3
- Giải Toán Lớp 3
- Tiếng Việt Lớp 3
- Văn Mẫu Lớp 3
- Giải Tiếng Anh Lớp 3
- Lớp 4
- Giải Toán Lớp 4
- Tiếng Việt Lớp 4
- Văn Mẫu Lớp 4
- Giải Tiếng Anh Lớp 4
- Lớp 5
- Giải Toán Lớp 5
- Tiếng Việt Lớp 5
- Văn Mẫu Lớp 5
- Giải Tiếng Anh Lớp 5
- Lớp 6
- Soạn Văn 6
- Giải Toán Lớp 6
- Giải Vật Lý 6
- Giải Sinh Học 6
- Giải Tiếng Anh Lớp 6
- Giải Lịch Sử 6
- Giải Địa Lý Lớp 6
- Giải GDCD Lớp 6
- Lớp 7
- Soạn Văn 7
- Giải Bài Tập Toán Lớp 7
- Giải Vật Lý 7
- Giải Sinh Học 7
- Giải Tiếng Anh Lớp 7
- Giải Lịch Sử 7
- Giải Địa Lý Lớp 7
- Giải GDCD Lớp 7
- Lớp 8
- Soạn Văn 8
- Giải Bài Tập Toán 8
- Giải Vật Lý 8
- Giải Bài Tập Hóa 8
- Giải Sinh Học 8
- Giải Tiếng Anh Lớp 8
- Giải Lịch Sử 8
- Giải Địa Lý Lớp 8
- Lớp 9
- Soạn Văn 9
- Giải Bài Tập Toán 9
- Giải Vật Lý 9
- Giải Bài Tập Hóa 9
- Giải Sinh Học 9
- Giải Tiếng Anh Lớp 9
- Giải Lịch Sử 9
- Giải Địa Lý Lớp 9
- Lớp 10
- Soạn Văn 10
- Giải Bài Tập Toán 10
- Giải Vật Lý 10
- Giải Bài Tập Hóa 10
- Giải Sinh Học 10
- Giải Tiếng Anh Lớp 10
- Giải Lịch Sử 10
- Giải Địa Lý Lớp 10
- Lớp 11
- Soạn Văn 11
- Giải Bài Tập Toán 11
- Giải Vật Lý 11
- Giải Bài Tập Hóa 11
- Giải Sinh Học 11
- Giải Tiếng Anh Lớp 11
- Giải Lịch Sử 11
- Giải Địa Lý Lớp 11
- Lớp 12
- Soạn Văn 12
- Giải Bài Tập Toán 12
- Giải Vật Lý 12
- Giải Bài Tập Hóa 12
- Giải Sinh Học 12
- Giải Tiếng Anh Lớp 12
- Giải Lịch Sử 12
- Giải Địa Lý Lớp 12
Các bài học tiếp theo
- Bài 7. Đồ thị của hàm số y= ax (a ≠ 0)
- Ôn tập chương II
- Bài 1. Hai góc đối đỉnh
- Bài 2. Hai đường thẳng vuông góc
- Bài 3. Các góc tạo bởi một đường thẳng cắt hai đường thẳng
- Bài 4. Hai đường thẳng song song
- Bài 5. Tiên đề Ơ-clit về đường thẳng song song
- Bài 6. Từ vuông góc đến song song
- Bài 7. Định lí
- Ôn tập chương I
Các bài học trước
- Bài 5. Hàm số
- Bài 4. Một số bài toán về đại lượng tỷ lệ nghịch
- Bài 3. Đại lượng tỉ lệ nghịch
- Bài 2. Một số bài toán về đại lượng tỉ lệ thuận
- Bài 1. Đại lượng tỉ lệ thuận
- Ôn tập chương I
- Bài 12. Số thực
- Bài 11. Số vô tỉ. Khái niệm về căn bậc hai
- Bài 10. Làm tròn số
- Bài 9. Số thập phân hữu hạn. Số thập phân vô hạn tuần hoàn
Tham Khảo Thêm
- Giải Toán Lớp 7 Tập 1(Đang xem)
- Giải Toán Lớp 7 Tập 2
- Giải Bài Tập Toán Lớp 7 - Tập 1
- Giải Bài Tập Toán Lớp 7 - Tập 2
- Giải Toán 7 - Tập 1
- Giải Toán 7 - Tập 2
- Sách Giáo Khoa - Toán 7 Tập 1
- Sách Giáo Khoa - Toán 7 Tập 2
Giải Toán Lớp 7 Tập 1
- Phần Số Học
- Chương I. SỐ HỮU TỈ. SỐ THỰC
- Bài 1. Tập hợp Q các số hữu tỉ
- Bài 2. Cộng, trừ số hữu tỉ
- Bài 3. Nhân, chia số hữu tỉ
- Bài 4. Giá trị tuyệt đồi của một số hữu tỉ. Cộng, trừ, nhân, chia số thập phân
- Bài 5. Lũy thừa của một số hữu tỉ
- Bài 6. Lũy thừa của một số hữu tỉ (tiếp)
- Bài 7. Tỉ lệ thức
- Bài 8. Tính chất của dãy tỉ số bằng nhau
- Bài 9. Số thập phân hữu hạn. Số thập phân vô hạn tuần hoàn
- Bài 10. Làm tròn số
- Bài 11. Số vô tỉ. Khái niệm về căn bậc hai
- Bài 12. Số thực
- Ôn tập chương I
- Chương II. HÀM SỐ VÀ ĐỒ THỊ
- Bài 1. Đại lượng tỉ lệ thuận
- Bài 2. Một số bài toán về đại lượng tỉ lệ thuận
- Bài 3. Đại lượng tỉ lệ nghịch
- Bài 4. Một số bài toán về đại lượng tỷ lệ nghịch
- Bài 5. Hàm số
- Bài 6. Mặt phẳng tọa độ(Đang xem)
- Bài 7. Đồ thị của hàm số y= ax (a ≠ 0)
- Ôn tập chương II
- Phần Hình Học
- Chương I. ĐƯỜNG THẲNG VUÔNG GÓC. ĐƯỜNG THẲNG SONG SONG
- Bài 1. Hai góc đối đỉnh
- Bài 2. Hai đường thẳng vuông góc
- Bài 3. Các góc tạo bởi một đường thẳng cắt hai đường thẳng
- Bài 4. Hai đường thẳng song song
- Bài 5. Tiên đề Ơ-clit về đường thẳng song song
- Bài 6. Từ vuông góc đến song song
- Bài 7. Định lí
- Ôn tập chương I
- Chương II. TAM GIÁC
- Bài 1. Tổng ba góc của một tam giác
- Bài 2. Hai tam giác bằng nhau
- Bài 3. Trường hợp bằng nhau thứ nhất của tam giác: cạnh - cạnh - cạnh (c.c.c)
- Bài 4. Trường hợp bằng nhau thứ hai của tam giác: cạnh - góc - cạnh (c.g.c)
- Bài 5. Trường hợp bằng nhau thứ ba của tam giác: góc - cạnh - góc (g.c.g)
- Bài 6. Tam giác cân
- Bài 7. Định lí Py-ta-go
- Bài 8. Các trường hợp bằng nhau của tam giác vuông
- Ôn tập chương II
Từ khóa » Tọa độ X Y Trong Toán Học
-
Lý Thuyết Về Mặt Phẳng Toạ độ | SGK Toán Lớp 7
-
Hệ Tọa độ Descartes – Wikipedia Tiếng Việt
-
Mặt Phẳng Tọa độ - Toán Lớp 7 Là Chuyện Nhỏ - Học Tốt Môn Toán
-
Mặt Phẳng Tọa độ [toán 7]: Các Dạng Toán Và Phương Pháp Giải
-
Mặt Phẳng Tọa độ - Các Dạng Toán Và Phương Pháp Giải Toán 7
-
Lý Thuyết Mặt Phẳng Tọa độ Hay, Chi Tiết | Toán Lớp 7
-
Toán 7 Bài 6: Mặt Phẳng Tọa độ - HOC247
-
Lý Thuyết Hệ Trục Tọa độ Trong Mặt Phẳng Toán 10
-
Lý Thuyết Bài 6 Mặt Phẳng Tọa Độ - Chương II Đại Số 7 Tập 1
-
Lý Thuyết: Mặt Phẳng Tọa độ
-
Mặt Phẳng Tọa độ Lớp 7 Và Cách Giải Các Dạng Bài Tập
-
Bài 6: Mặt Phẳng Tọa độ
-
Lý Thuyết Hàm Số. Mặt Phẳng Tọa độ Toán 7



