Giúp E Câu Này Vs ạ: Tính đạo Hàm Của Hàm Số: A, F(x)=2tanx B ...
Có thể bạn quan tâm


Tìm kiếm với hình ảnh
Vui lòng chỉ chọn một câu hỏi
Tìm đáp án
Đăng nhập- |
- Đăng ký


Hoidap247.com Nhanh chóng, chính xác
Hãy đăng nhập hoặc tạo tài khoản miễn phí!
Đăng nhậpĐăng ký

Lưu vào
+
Danh mục mới
- nguyenkim937

- Chưa có nhóm
- Trả lời
0
- Điểm
155
- Cảm ơn
0
- Toán Học
- Lớp 11
- 10 điểm
- nguyenkim937 - 21:50:54 28/04/2020
- Hỏi chi tiết
Báo vi phạm
Hãy luôn nhớ cảm ơn và vote 5* nếu câu trả lời hữu ích nhé!
TRẢ LỜI


- hoa24092001yl

- Chưa có nhóm
- Trả lời
9047
- Điểm
92412
- Cảm ơn
5614
- hoa24092001yl
- 29/04/2020
Đây là một chuyên gia không còn hoạt độngGiải thích các bước giải:
Ta có:
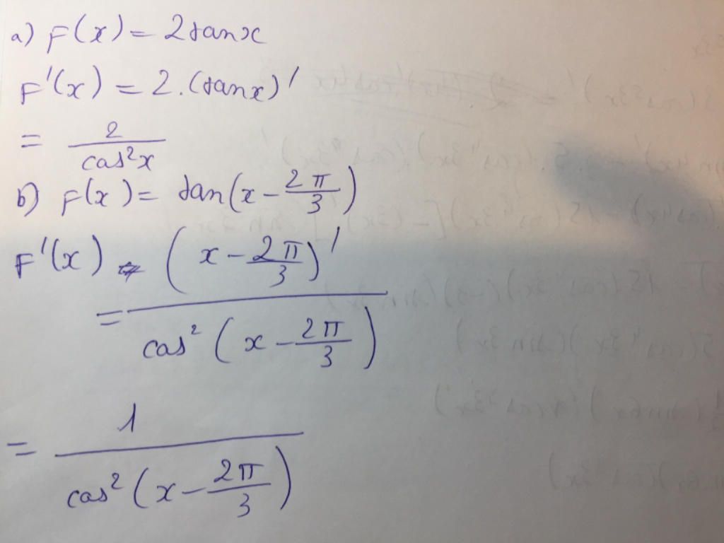
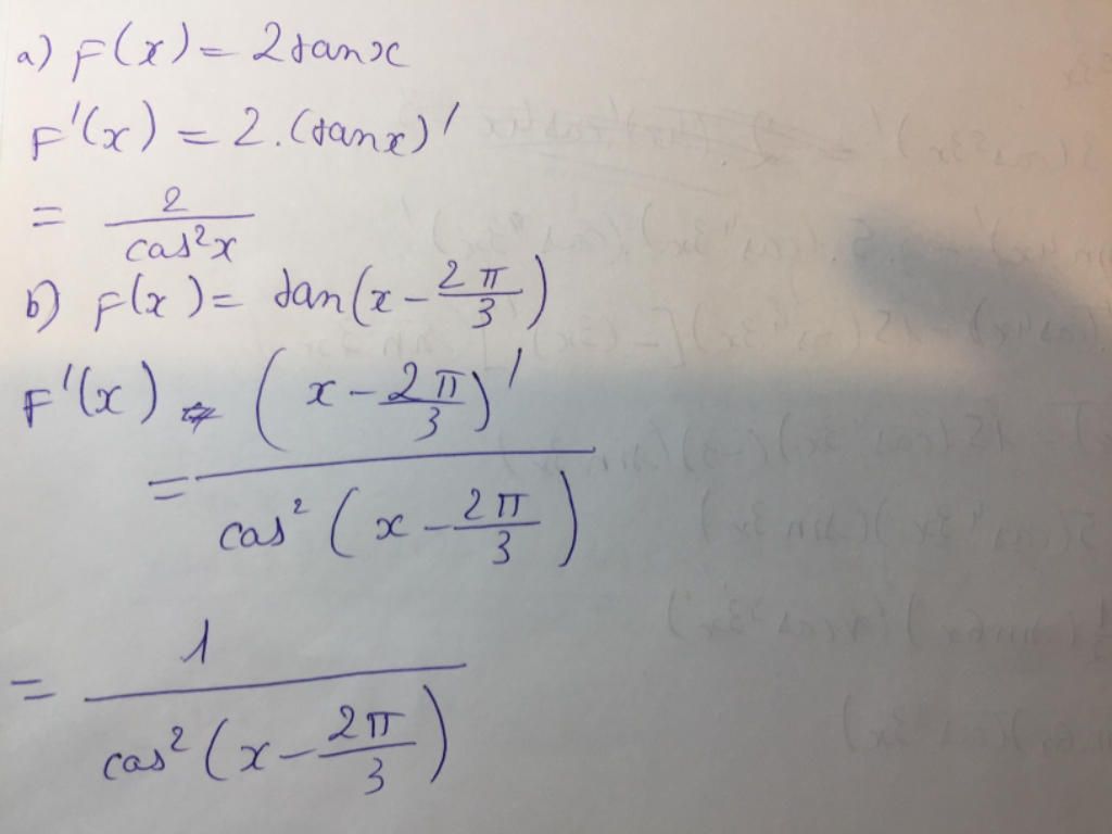
\(\begin{array}{l}\left( {\tan x} \right)' = \left( {\frac{{\sin x}}{{\cos x}}} \right)' = \frac{{\left( {\sin x} \right)'.\cos x - \left( {\cos x} \right)'.\sin x}}{{{{\cos }^2}x}}\\ = \frac{{\cos x.\cos x - \left( { - \sin x} \right).\sin x}}{{{{\cos }^2}x}} = \frac{{{{\cos }^2}x + {{\sin }^2}x}}{{{{\cos }^2}x}} = \frac{1}{{{{\cos }^2}x}}\\ \Rightarrow \left( {\tan u} \right)' = \frac{{u'}}{{{{\cos }^2}u}}\\a,\\f\left( x \right) = 2\tan x \Rightarrow f'\left( x \right) = 2.\left( {\tan x} \right)' = \frac{2}{{{{\cos }^2}x}}\\b,\\f\left( x \right) = \tan \left( {x - \frac{{2\pi }}{3}} \right)\\ \Rightarrow f'\left( x \right) = \dfrac{{\left( {x - \frac{{2\pi }}{3}} \right)'}}{{{{\cos }^2}\left( {x - \frac{{2\pi }}{3}} \right)}} = \dfrac{1}{{{{\cos }^2}\left( {x - \frac{{2\pi }}{3}} \right)}}\end{array}\)
Hãy giúp mọi người biết câu trả lời này thế nào?
starstarstarstarstarstarstarstarstarstarstarstarstarstarstarstarstarstarstarstarstarstarstarstarstarstarstarstarstarstarstarstarstarstarstarGửiHủy
Cảm ơn 1
Báo vi phạm
- Winvills2

- Active Activity
- Trả lời
6299
- Điểm
24143
- Cảm ơn
7281
- Winvills2
- 17/01/2021

Đáp án + giải thích các bước giải:

Hãy giúp mọi người biết câu trả lời này thế nào?
starstarstarstarstarstarstarstarstarstarstarstarstarstarstarstarstarstarstarstarstarstarstarstarstarstarstarstarstarstarstarstarstarstarstarGửiHủy
Cảm ơn
Báo vi phạm
Bạn muốn hỏi điều gì?
Tham Gia Group Dành Cho Lớp 11 Chia Sẻ, Trao Đổi Tài Liệu Miễn Phí

Bảng tin
Bạn muốn hỏi điều gì?
Lý do báo cáo vi phạm?
Gửi yêu cầu Hủy

Cơ quan chủ quản: Công ty Cổ phần Công nghệ Giáo dục Thành Phát
Tải ứng dụng


- Hướng dẫn sử dụng
- Điều khoản sử dụng
- Nội quy hoidap247
- Góp ý
Inbox: m.me/hoidap247online
Trụ sở: Tầng 7, Tòa Intracom, số 82 Dịch Vọng Hậu, Cầu Giấy, Hà Nội.
Từ khóa » đạo Hàm Của 1+2tanx
-
Tìm đạo Hàm Của Các Hàm Số Sau Y = Căn (1 + 2tanx)
-
[LỜI GIẢI] Đạo Hàm Của Hàm Số Y = Căn 1 + 2tan X Là: - Tự Học 365
-
Tìm đạo Hàm Của Các Hàm Số Sau Y = Căn (1 + 2tanx)
-
Tìm đạo Hàm Của Các Hàm Số Sau Y = 1 + 2tanx
-
Tìm đạo Hàm Của Các Hàm Số Sau Y = Căn (1 + 2tanx)
-
Tìm Đạo Hàm - D/dx Y=2tan(x) - Mathway
-
Đạo Hàm Của Hàm Số (y = Sqrt {1 + 2tan X} ) Là:
-
Tính đạo Hàm Của Hàm Số Y=1/2tanx-2sinx+cotx - MTrend