Giúp Em Với
Có thể bạn quan tâm


Tìm kiếm với hình ảnh
Vui lòng chỉ chọn một câu hỏi
Tìm đáp án
Đăng nhập- |
- Đăng ký


Hoidap247.com Nhanh chóng, chính xác
Hãy đăng nhập hoặc tạo tài khoản miễn phí!
Đăng nhậpĐăng ký

Lưu vào
+
Danh mục mới
- hungnp

- Chưa có nhóm
- Trả lời
0
- Điểm
0
- Cảm ơn
0
- Hóa Học
- Lớp 12
- 50 điểm
- hungnp - 13:32:41 20/09/2021

- Hỏi chi tiết
Báo vi phạm
Hãy luôn nhớ cảm ơn và vote 5* nếu câu trả lời hữu ích nhé!
TRẢ LỜI
- NguyenHoatDHSP

- Chưa có nhóm
- Trả lời
6358
- Điểm
25217
- Cảm ơn
3739
- NguyenHoatDHSP
- 20/09/2021

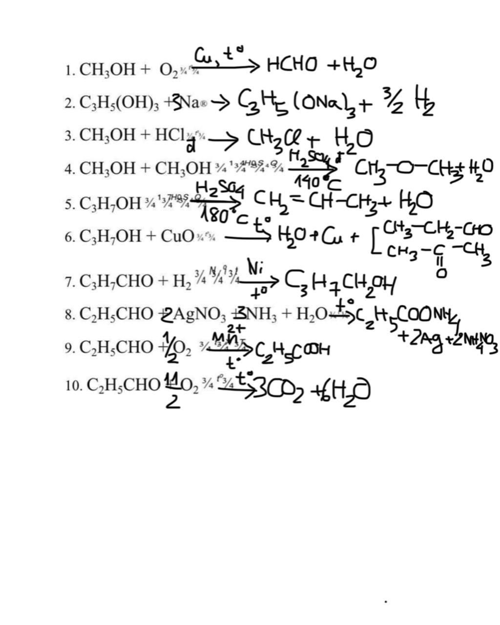
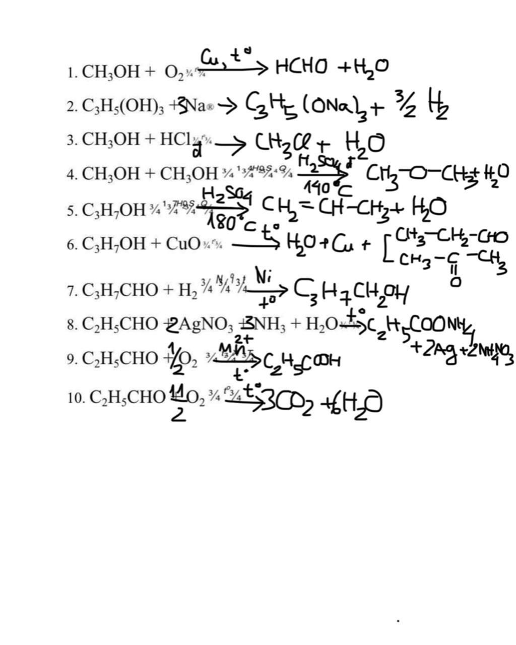
Đáp án + giải thích các bước giải:
1. $CH_3OH+O_2\xrightarrow[t^o]{Ag}HCHO+H_2O$
2. `6Na+2C_3H_5(OH)_3 \to 2C_3H_5(ONa)_3+3H_2↑`
3. $CH_3OH+HCl\xrightarrow{xt}CH_3Cl+H_2O$
4. $C_3H_7OH+C_3H_7OH\xrightarrow[140^oC]{H_2SO_4}C_3H_7OC_3H_7+H_2O$
5. $C_3H_7OH\xrightarrow[170^oC]{H_2SO_4}CH_3-CH=CH_2+H_2O$
6. $CH_3-CH_2-CH_2-OH+CuO\xrightarrow{t^o}CH_3-CH_2-CHO+Cu↓+H_2O$
7. $C_3H_7CHO+H_2 \xrightarrow[t^o]{Ni}C_4H_9OH$
8. `C_2H_5CHO+2AgNO_3+3NH_3+H_2O \to 2Ag↓+2NH_4NO_3+C_2H_5COONH_4`
9. $C_2H_5OH+O_2\xrightarrow{\text{men}}CH_3COOH+H_2O$
10. $C_2H_5OH+3O_2 \xrightarrow{t^o} 2CO_2↓+3H_2O$
Hãy giúp mọi người biết câu trả lời này thế nào?
starstarstarstarstarstarstarstarstarstarstarstarstarstarstarstarstarstarstarstarstarstarstarstarstarstarstarstarstarstarstarstarstarstarstarGửiHủy
Cảm ơn
Báo vi phạm


- quangcuong347

- Chưa có nhóm
- Trả lời
53468
- Điểm
3081
- Cảm ơn
52927
- quangcuong347
- 06/10/2021
Đây là một chuyên gia không còn hoạt độngBạn xem hình

Hãy giúp mọi người biết câu trả lời này thế nào?
starstarstarstarstarstarstarstarstarstarstarstarstarstarstarstarstarstarstarstarstarstarstarstarstarstarstarstarstarstarstarstarstarstarstarGửiHủy
Cảm ơn
Báo vi phạm
Bạn muốn hỏi điều gì?
Group 2K8 ôn Thi ĐGNL & ĐGTD Miễn Phí

Bảng tin
Bạn muốn hỏi điều gì?
Lý do báo cáo vi phạm?
Gửi yêu cầu Hủy

Cơ quan chủ quản: Công ty Cổ phần Công nghệ Giáo dục Thành Phát
Tải ứng dụng


- Hướng dẫn sử dụng
- Điều khoản sử dụng
- Nội quy hoidap247
- Góp ý
Inbox: m.me/hoidap247online
Trụ sở: Tầng 7, Tòa Intracom, số 82 Dịch Vọng Hậu, Cầu Giấy, Hà Nội.
Từ khóa » C3h5oh3 + O2
-
C3H5(OH)3 + O2 = CO2 + H2O - Trình Cân Bằng Phản ứng Hoá Học
-
C3H5OH3 + O2 = CO2 + H2O - Chemical Equation Balancer
-
Balance Chemical Equation - Online Balancer
-
C3H5(OH)3 + O2 -> CO2 + H2O - Brainly
-
Đốt Cháy Hoàn Toàn M Gam Hỗn Hợp X Gồm C2H3COOH, C3H5(OH ...
-
O2 Có Tác Dụng Với C3H5(OH)3 Không?
-
Glixerol Và Tính Chất Hóa Học Của Glixerol (glixerin) - VOH
-
Balance The Equation And Name The Reaction Taking Place C3H5OH+ ...
-
C3H5(OH)3 + Cu(OH)2 → [C3H5(OH)2O]2Cu + H2O
-
помогите пожалуйста:C3H6(OH)2+O2----->???C3H5(OH)3+O2
-
Hỗn Hợp X Gồm C3H5(OH)3, CH3COOCH3, CH3COOCH2CH2OH ...
-
Thủy Phân Hoàn Toàn Triglixerit X Trong Dung Dịch NaOH, Thu được ...
-
Изравнено химическо уравнение C3H5(OH)3 + O2 = CO2 + H2O
-
C3H5(OH)3 + Cu(OH)2 → [C3H5(OH)2O]2Cu + H2O