Giúp Mình Câu Này Với ạ Mình đang Cần Gấp ạ
Có thể bạn quan tâm


Tìm kiếm với hình ảnh
Vui lòng chỉ chọn một câu hỏi
Tìm đáp án
Đăng nhập- |
- Đăng ký


Hoidap247.com Nhanh chóng, chính xác
Hãy đăng nhập hoặc tạo tài khoản miễn phí!
Đăng nhậpĐăng ký

Lưu vào
+
Danh mục mới


- thuydung15

- Chưa có nhóm
- Trả lời
129
- Điểm
3212
- Cảm ơn
77
- Toán Học
- Lớp 11
- 30 điểm
- thuydung15 - 22:18:37 19/02/2021

- Hỏi chi tiết
Báo vi phạm
Hãy luôn nhớ cảm ơn và vote 5* nếu câu trả lời hữu ích nhé!
TRẢ LỜI


- hangbich

- Chưa có nhóm
- Trả lời
68382
- Điểm
754099
- Cảm ơn
37002
- hangbich
- Câu trả lời hay nhất!

- 19/02/2021
Đây là một chuyên gia, câu trả lời của người này mang tính chính xác và tin cậy caoĐáp án: $D$
Giải thích các bước giải:
Ta có:
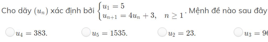
$\begin{cases}u_1=5\\ u_{n+1}=4u_n+3\end{cases}$
$\to \begin{cases}u_1=5\\ u_{n+1}+1=4u_n+4\end{cases}$
$\to \begin{cases}u_1+1=6\\ u_{n+1}+1=4(u_n+1)\end{cases}$
Đặt $u_n+1=v_n$
$\to \begin{cases}v_1=6\\ v_{n+1}=4v_n\end{cases}$
$\to v_n$ là dãy số nhân có $q=4, v_1=6$
$\to v_n=4^{n-1}v_1$
$\to v_n=4^{n-1}\cdot 6$
$\to u_n+1=4^{n-1}\cdot 6$
$\to u_n=4^{n-1}\cdot 6-1$
$\to u_3=95$
$\to D$ sai
Hãy giúp mọi người biết câu trả lời này thế nào?

Cảm ơn 1
Báo vi phạm


- giakhanhduong

- Chưa có nhóm
- Trả lời
6391
- Điểm
81375
- Cảm ơn
4324
- giakhanhduong
- 20/02/2021

Đáp án:
Giải thích các bước giải:

Hãy giúp mọi người biết câu trả lời này thế nào?

Cảm ơn 1
Báo vi phạm
Bạn muốn hỏi điều gì?
Group 2K9 Ôn Thi ĐGNL & ĐGTD Miễn Phí

Bảng tin
Bạn muốn hỏi điều gì?
Lý do báo cáo vi phạm?
Gửi yêu cầu Hủy

Cơ quan chủ quản: Công ty Cổ phần Công nghệ Giáo dục Thành Phát
Tải ứng dụng


- Hướng dẫn sử dụng
- Điều khoản sử dụng
- Nội quy hoidap247
- Góp ý
Inbox: m.me/hoidap247online
Trụ sở: Tầng 7, Tòa Intracom, số 82 Dịch Vọng Hậu, Cầu Giấy, Hà Nội.
Từ khóa » Cho Dãy Số Un Biết U1=5 Un+1=un+n
-
Cho Dãy Số (un) Với U1=5 Un+1 = Un+n. Số Hạng Tổng Quát Un Của ...
-
Cho Dãy Số (un) Với U1=5 Un+1 = Un+n. Số Hạng ... - Vietjack.online
-
Cho Dãy Số (un) Với U1=5 Un+1 = Un+n. Số Hạng ...
-
Cho Dãy Số ( Un ) Có U1 = - 5, Un + 1 = Un + 2, N In MathbbN*. Tổng S
-
Cho Dãy Số (un) Với U1=5 Un+1 = Un+n. Số ...
-
Cho Dãy Số (un) Với U1=5 Un+1 = Un+n. Số Hạng - MarvelVietnam
-
Top 12 Cho Dãy Số Un Biết U1=5 Un+1=un+n
-
Cho Dãy Số $({un})$ Có ${u1} = 5$ Và ${u{n + 1}} = {un} + ...
-
Cho Dãy Số U1=5un+1=un+n. Tính U100? - Cungthi.online
-
Cho Dãy Số (un) Xác định Bởi U1=5 Và Un+1=Un+3n-2 Với N Lớn Hơn ...
-
Cho Dãy Số (un) Với U1=5 Un+1 = Un+n. Số ... - Thư Viện
-
Cho (un) U1=1 Un+1=un+n^3 A Viết 5 Số Hạng đầu Của Dãy Số B
-
Tìm Công Thức Của Số Hạng Tổng Quát Của Các Dãy Un Biết: U1=5un+1 ...