Giúp Mjk Câu C Vs ạ . Mjk đg Cần Gấp. C.ơn
Có thể bạn quan tâm


Tìm kiếm với hình ảnh
Vui lòng chỉ chọn một câu hỏi
Tìm đáp án
Đăng nhập- |
- Đăng ký


Hoidap247.com Nhanh chóng, chính xác
Hãy đăng nhập hoặc tạo tài khoản miễn phí!
Đăng nhậpĐăng ký

Lưu vào
+
Danh mục mới
- hlisatrei

- Chưa có nhóm
- Trả lời
0
- Điểm
882
- Cảm ơn
0
- Sinh Học
- Lớp 8
- 10 điểm
- hlisatrei - 07:53:18 30/11/2021

- Hỏi chi tiết
Báo vi phạm
Hãy luôn nhớ cảm ơn và vote 5* nếu câu trả lời hữu ích nhé!
TRẢ LỜI


- 123yangmiyang

- Chưa có nhóm
- Trả lời
358
- Điểm
5987
- Cảm ơn
173
- 123yangmiyang
- 30/11/2021

Đáp án:
Giải thích các bước giải:
-Sự đông máu là một quá trình phức tạp qua đó tạo ra các cục máu đông.
-Đông máu là một cơ chế quan trọng trong quá trình cầm máu. Khi thành mạch máu bị tổn thương, máu được cầm nhờ chỗ tổn thương được che phủ bởi cục máu đông chứa tiểu cầu và sợi huyết. Rối loạn đông máu có thể làm tăng nguy cơ chảy máu và/hoặc tạo cục máu đông và huyết tắc
- Nguyên tắc truyền máu: Cần xét nghiệm máu trước khi truyền để không gây kết dính và tử vong. Đồng thời loại các nhóm máu có mầm bệnh ra như HIV, viêm gan B, viêm gan C,

Hãy giúp mọi người biết câu trả lời này thế nào?
starstarstarstarstarstarstarstarstarstarstarstarstarstarstarstarstarstarstarstarstarstarstarstarstarstarstarstarstarstarstarstarstarstarstarGửiHủy
Cảm ơn
Báo vi phạm


- truongnguyenphuonganh

- Chưa có nhóm
- Trả lời
286
- Điểm
11020
- Cảm ơn
193
- truongnguyenphuonganh
- 30/11/2021

Đáp án:
a. - Đông máu là hiện tượng máu không ở thể lỏng mà vón thành cục.
VD: Khi bị đứt tay, vết thương nhỏ, máu chảy ra sau đó ngừng hẳn nhờ một khối máu đông bịt kín vết thương.
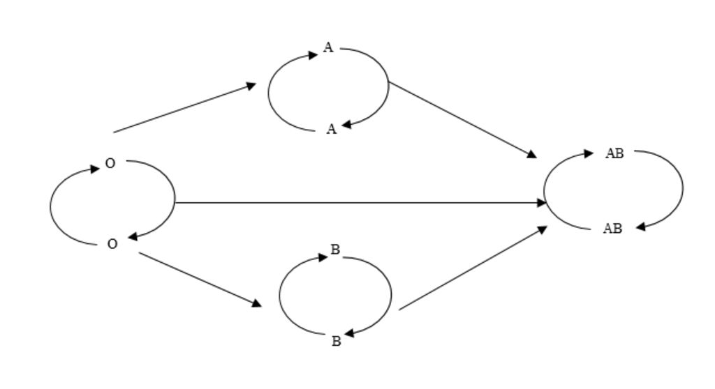
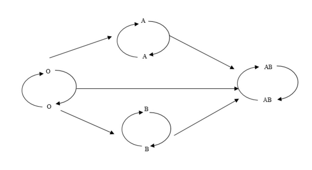
b. Hình ảnh
c. Em cần phải tuân thủ các nguyên tắc khi truyền máu là:
+ Truyền nhóm máu phù hợp đảm bảo hồng cầu người cho không bị ngưng kết trong máu người nhận.
+ Truyền máu không có mầm bệnh
+ Truyền từ từ.
(Bạn học tốt, mong được 5* và câu tl hay nhất!)

Hãy giúp mọi người biết câu trả lời này thế nào?
starstarstarstarstarstarstarstarstarstarstarstarstarstarstarstarstarstarstarstarstarstarstarstarstarstarstarstarstarstarstarstarstarstarstarGửiHủy
Cảm ơn
Báo vi phạm
Bạn muốn hỏi điều gì?
Tham Gia Group Dành Cho Lớp 8 Chia Sẻ, Trao Đổi Tài Liệu Miễn Phí

Xem thêm
Bảng tin
Bạn muốn hỏi điều gì?
Lý do báo cáo vi phạm?
Gửi yêu cầu Hủy

Cơ quan chủ quản: Công ty Cổ phần Công nghệ Giáo dục Thành Phát
Tải ứng dụng


- Hướng dẫn sử dụng
- Điều khoản sử dụng
- Nội quy hoidap247
- Góp ý
Inbox: m.me/hoidap247online
Trụ sở: Tầng 7, Tòa Intracom, số 82 Dịch Vọng Hậu, Cầu Giấy, Hà Nội.
Từ khóa » đông Máu Là Gì Vẽ Sơ đồ Phản ánh Mối Quan Hệ Cho Và Nhận Giữa Các Nhóm Máu
-
Đánh Dấu Chiều Mũi Tên để Phản ánh Mối Quan Hệ Cho Và Nhận Giữa ...
-
Vẽ Sơ đồ Cho Và Nhận Giữa Các Nhóm Máu - My Le - HOC247
-
Các Nguyên Tắc Truyền Máu Cơ Bản | Vinmec
-
Đánh Dấu Chiều Mũi Tên để Phản ánh Mối Quan Hệ ...
-
Mối Quan Hệ Cho Và Nhận Giữa Các Nhóm Máu - Hoc24
-
Đánh Dấu Chiều Mũi Tên để Phản ánh Mối Quan Hệ ...
-
Vẽ Sơ đồ Phản ánh Mối Quan Hệ Cho Và Nhận Giữa Các Nhóm Máu ...
-
Giải Bài Tập Sinh Học 8 - Bài 15: Đông Máu Và Nguyên Tắc Truyền Máu
-
Sự đông Máu – Wikipedia Tiếng Việt
-
Các Nhóm Máu Cơ Bản Theo Sơ đồ Nhóm Máu Bạn Nên Biết
-
Đánh Dấu Chiều Mũi Tên để Phản ánh Mối Quan Hệ Cho Và Nhận Giữa ...
-
[PDF] Dịch Tễ Học Cơ Bản - WHO | World Health Organization
-
Đánh Dấu Chiều Mũi Tên để Phản ánh Mối Quan Hệ ...