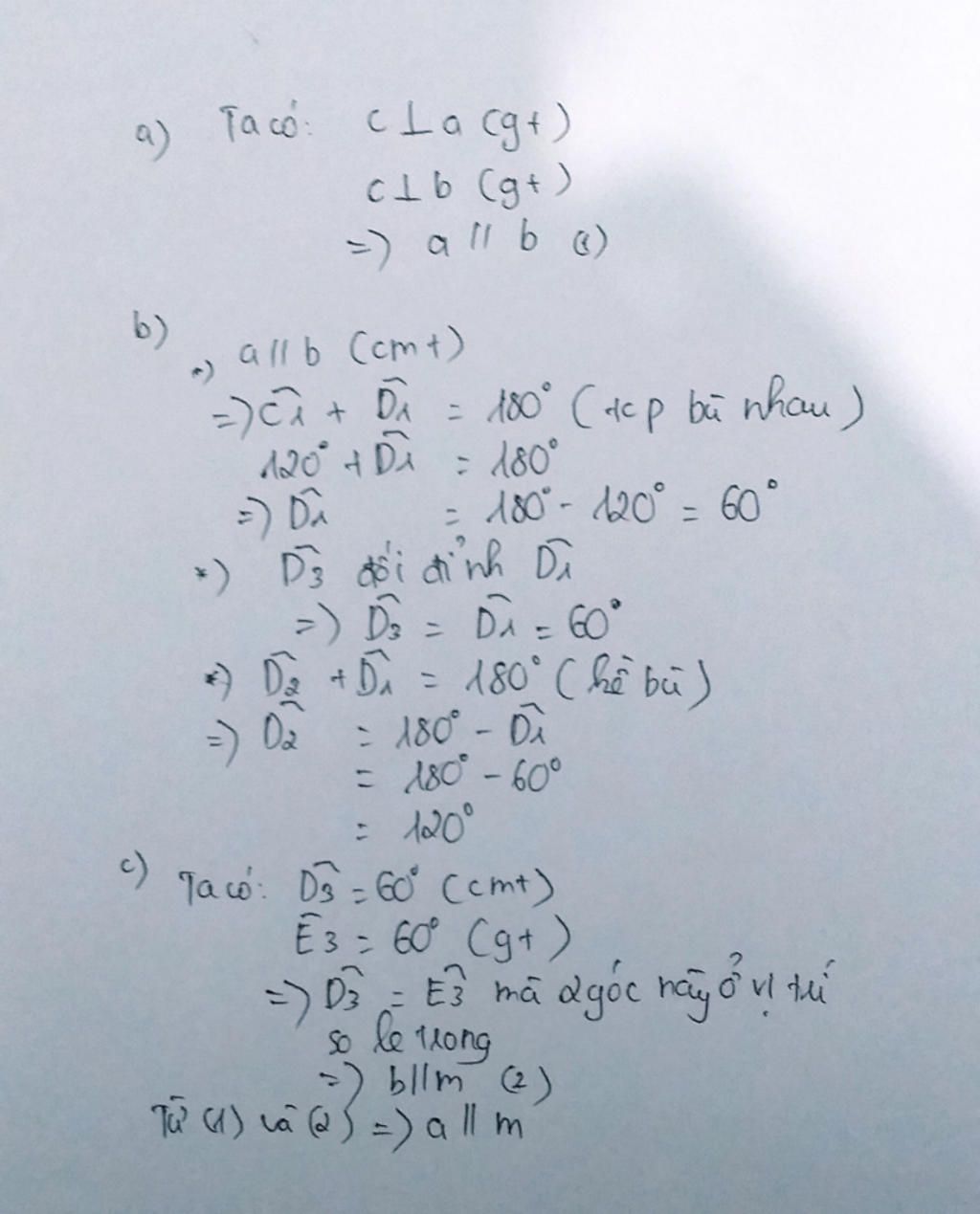
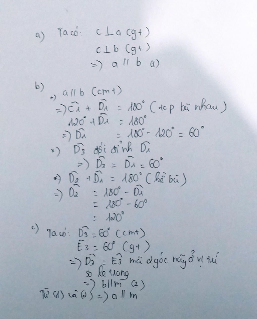
Góc E3 =60 độ A) Chứng Tỏ A//b B) Tính Số đo Góc D1,D2,D3 C) Hỏi A ...
Có thể bạn quan tâm


Tìm kiếm với hình ảnh
Vui lòng chỉ chọn một câu hỏi
Tìm đáp án
Đăng nhập- |
- Đăng ký


Hoidap247.com Nhanh chóng, chính xác
Hãy đăng nhập hoặc tạo tài khoản miễn phí!
Đăng nhậpĐăng ký

Lưu vào
+
Danh mục mới
- 0787213082

- Chưa có nhóm
- Trả lời
0
- Điểm
22
- Cảm ơn
0
- Toán Học
- Lớp 7
- 10 điểm
- 0787213082 - 20:26:44 06/11/2020

- Hỏi chi tiết
Báo vi phạm
Hãy luôn nhớ cảm ơn và vote 5* nếu câu trả lời hữu ích nhé!
TRẢ LỜI


- hello999

- Anw Biy
- Trả lời
1590
- Điểm
38175
- Cảm ơn
1406
- hello999
- 06/11/2020

Đáp án+gải thích các bước giải:
Bạn xem ảnh:

Hãy giúp mọi người biết câu trả lời này thế nào?
Cảm ơn
Báo vi phạm


- yashiro

- Chưa có nhóm
- Trả lời
28
- Điểm
156
- Cảm ơn
16
- yashiro
- 06/11/2020

Đáp án:
Giải thích các bước giải:

Hãy giúp mọi người biết câu trả lời này thế nào?
Cảm ơn
Báo vi phạm
Bạn muốn hỏi điều gì?
Tham Gia Group Dành Cho Lớp 7 Chia Sẻ, Trao Đổi Tài Liệu Miễn Phí

Bảng tin
Bạn muốn hỏi điều gì?
Lý do báo cáo vi phạm?
Gửi yêu cầu Hủy

Cơ quan chủ quản: Công ty Cổ phần Công nghệ Giáo dục Thành Phát
Tải ứng dụng


- Hướng dẫn sử dụng
- Điều khoản sử dụng
- Nội quy hoidap247
- Góp ý
Inbox: m.me/hoidap247online
Trụ sở: Tầng 7, Tòa Intracom, số 82 Dịch Vọng Hậu, Cầu Giấy, Hà Nội.
Từ khóa » Tính Số đo Góc D2
-
Tính Số đo Góc D2, C1, C2 Biết A Vuông Góc C, B Vuông ... - HOC247
-
Tính Số đo Góc C2 Và Góc D2 - Giải Bài Tập Toán Học Lớp 7 - Lazi
-
Tính Số đo Góc C2 Và Góc D2
-
Sách Giáo Khoa Toán 7 Tập 1, Bài 39 Đố: Hình 26 Cho Biết D1// D2 Và ...
-
Cho Hình Vẽ Biết AB Vuông Góc P Và P//q, Góc D1=70 độ A đường ...
-
1)Cho Hình Vẽ Biết M=N=90 độ, D2= 45 độa) Chứng Tỏ A//bb) Tính Số ...
-
0 - Hoc24
-
AD // BC B) Tính Số đo Góc D1,D2c) Vẽ XBz = 400 ( Tia Bz ... - Hoc24
-
Hình 4.10, Ngoài Những Số đo đã Ghi Còn Biết Góc D1 = Góc D2
-
Tìm Số đo Của Góc Giữa Hai đường Thẳng D1 Và D2 Lần Lượt Có ...
-
Tìm Số đo Của Góc Giữa Hai đường Thẳng D1 Và D2 Lần Lượt
-
Tìm Số đo Của Góc Giữa Hai đường Thẳng D1 Và D2 Lần Lượt Có ...