Họ Nguyên Hàm Của Hàm Số F(x)=x^2.căn Bậc Hai(4+x^3) Là A. 2.căn ...
Có thể bạn quan tâm
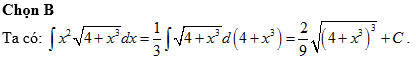
Họ nguyên hàm của hàm số f(x)=x24+x3 là
A. 2x3+4+C.
B. 294+x33+C.
C. 24+x33+C.
D. 194+x33+C.
Trả Lời Hỏi câu khác Hỏi chi tiết ...Xem thêmQuảng cáo
1 câu trả lời 1636
N Nguyễn Đình Hiếu 4 năm trước
Quảng cáo
Bạn muốn hỏi bài tập?
Đặt câu hỏiCâu hỏi hot cùng chủ đề
-
Cách chuyển từ sin sang cos ạ ?
Trả lời (48) Xem đáp án » 321023 -
Cho hàm số y=f(x), bảng xét dấu của f'(x) như sau:

Hàm số y=f(5-2x) nghịch biến trên khoảng nào dưới đây?
A. (2; 3)
B. (0; 2)
C. (3; 5)
D. (5; +∞)
Trả lời (14) Xem đáp án » 129746 -
Cho hàm số y=ax3+bx2+cx+d có đồ thị như hình vẽ. Tìm mệnh đề đúng
A. a<0, b>0, c>0, d<0
B. a<0, b<0, c>0, d<0
C. a>0, b>0, c>0, d<0
D. a<0, b>0, c<0, d<0
Trả lời (3) Xem đáp án » 129682 - Hỏi từ APP VIETJACK Trên tập hợp các số phức, xét phương trình z^2 - 2(m+1)z + m^2=0(m là số thực). Có bao nhiêu giá trị của m để phương trình đó có nghiệm Zo thỏa mãn |Zo|=7 A. 1 B. 4 C. 3 D. 2 Trả lời (6) Xem đáp án » 129621
-
Hàm số y=2x+3x+1 có bao nhiêu điểm cực trị ?
A. 3
B. 0
C. 1
D. 2
Trả lời (28) Xem đáp án » 104033 -
Tìm tập xác định D của hàm số y = (x-1)13
A. D = (-∞; 1)
B. D = (1; +∞)
C. D =R
D. D = R \ {1}
Trả lời (3) Xem đáp án » 94043 -
Tập xác định của hàm số y = log2 (x+1) là
A. D = (0;+∞)
B. D = (-1;+∞)
C. D = [-1;+∞)
D. D = [0;+∞)
Trả lời (3) Xem đáp án » 70307 -
Cho hàm số y=2x2+1. Mệnh đề nào sau đây đúng?
A. Hàm số nghịch biến trên khoảng (-1;1)
B. Hàm số đồng biến trên khoảng 0;+∞
C. Hàm số đồng biến trên khoảng −∞;0
D. Hàm số nghịch biến trên khoảng 0;+∞
Từ khóa » Nguyên Hàm Của Căn X^2+1
-
Tìm Họ Nguyên Hàm Của Hàm Số Sau Căn (x^2 + 1).x Dx
-
Nguyen Ham Căn(x^2 -1) ? - VQUIX.COM
-
Tìm Nguyên Hàm Của $\sqrt{x^{2}+1}$ - Tích Phân - Diễn đàn Toán Học
-
Tìm Nguyên Hàm 2x Căn Bậc Hai Của X^2+1 | Mathway
-
Tìm Nguyên Hàm (x^2+1)/( Căn Bậc Hai Của X) | Mathway
-
Nguyên Hàm Của X/căn(x^2+1)
-
Cho Hàm Số F(x) = X / Căn ( X^2 + 1 ) Họ Tất Cả Các Nguyên Hàm Của ...
-
Nguyên Hàm Của 1/(sqrt(x^2)+1) (hướng Dẫn) - YouTube
-
Tìm Nguyên Hàm Của Hàm Số (f(x) = (x)((căn (3(x^2) + 2) )) ).
-
Nguyên Hàm Của 1/căn(x^2+1)
-
Tìm Nguyên Hàm Của Hàm Số: \(f\left( X \right) = {{9{x^2}} \over {\sqrt {1
-
Nguyên Hàm Của 1/(x^2+1)
-
Giả Sử Một Nguyên Hàm Của Hàm Số F( X ) = X^2 Căn 1 - Tự Học 365