Họ Nguyên Hàm Của Hàm Số X^3(x^2+1)^2019 Là? Câu Hỏi 1537744
Có thể bạn quan tâm


Tìm kiếm với hình ảnh
Vui lòng chỉ chọn một câu hỏi
Tìm đáp án
Đăng nhập- |
- Đăng ký


Hoidap247.com Nhanh chóng, chính xác
Hãy đăng nhập hoặc tạo tài khoản miễn phí!
Đăng nhậpĐăng ký

Lưu vào
+
Danh mục mới
- trinhkhahan

- Chưa có nhóm
- Trả lời
125
- Điểm
300
- Cảm ơn
91
- Toán Học
- Lớp 12
- 20 điểm
- trinhkhahan - 21:59:39 11/01/2021
- Hỏi chi tiết
Báo vi phạm
Hãy luôn nhớ cảm ơn và vote 5* nếu câu trả lời hữu ích nhé!
TRẢ LỜI


- hoang1o1o1

- Chưa có nhóm
- Trả lời
13639
- Điểm
103514
- Cảm ơn
9168
- hoang1o1o1
- 11/01/2021
Đây là một chuyên gia không còn hoạt độngĐây là câu trả lời đã được xác thực
Câu trả lời được xác thực chứa thông tin chính xác và đáng tin cậy, được xác nhận hoặc trả lời bởi các chuyên gia, giáo viên hàng đầu của chúng tôi.
$\displaystyle\int x^3(x^2+1)^{2019} dx\\ =\displaystyle\int ((x^3+x)(x^2+1)^{2019}- x(x^2+1)^{2019})dx\\ =\displaystyle\int (x(x^2+1)^{2020}- x(x^2+1)^{2019})dx\\ =\dfrac{1}{2}\displaystyle\int ((x^2+1)^{2020}- (x^2+1)^{2019})d(x^2+1)\\ =\dfrac{1}{4042}.(x^2+1)^{2021}-\dfrac{1}{4040}.(x^2+1)^{2020}+C$
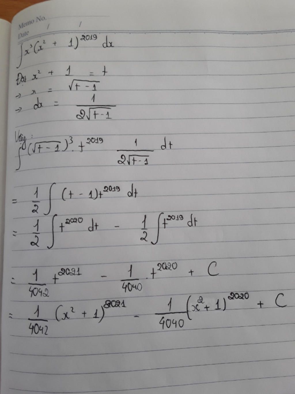
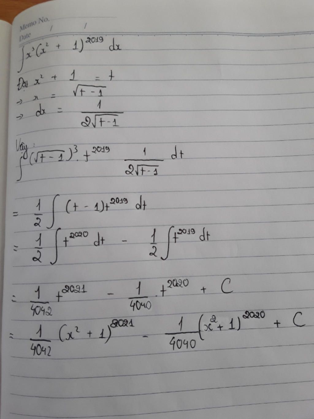
$C2:$ Đặt $t=x^2+1$
$=>x=\sqrt{t-1}\\ dx=\dfrac{1}{2\sqrt{t-1}}dt\\ I=\displaystyle\int \sqrt{t-1}(t-1)t^{2019} \dfrac{1}{2\sqrt{t-1}}dt\\ =\dfrac{1}{2}\displaystyle\int(t-1)t^{2019} dt\\ =\dfrac{1}{2}\displaystyle\int(t^{2020}-t^{2019}) dt\\ =\dfrac{1}{4042}.t^{2021}-\dfrac{1}{4040}.t^{2020}+C\\ =\dfrac{1}{4042}.(x^2+1)^{2021}-\dfrac{1}{4040}.(x^2+1)^{2020}+C$
Hãy giúp mọi người biết câu trả lời này thế nào?
starstarstarstarstarstarstarstarstarstarstarstarstarstarstarstarstarstarstarstarstarstarstarstarstarstarstarstarstarstarstarstarstarstarstarGửiHủy
Cảm ơn 1
- trinhkhahan

- Chưa có nhóm
- Trả lời
125
- Điểm
300
- Cảm ơn
91
bạn làm bằng phương pháp đặt được không ạ đặt t=x^2+1
- trinhkhahan


- hoang1o1o1

- Chưa có nhóm
- Trả lời
13639
- Điểm
103514
- Cảm ơn
9168
Rồi đấy bạn.
- hoang1o1o1


- giakhanhduong

- Chưa có nhóm
- Trả lời
6391
- Điểm
81375
- Cảm ơn
4321
- giakhanhduong
- 12/01/2021

Đáp án:
Giải thích các bước giải:

Hãy giúp mọi người biết câu trả lời này thế nào?
starstarstarstarstarstarstarstarstarstarstarstarstarstarstarstarstarstarstarstarstarstarstarstarstarstarstarstarstarstarstarstarstarstarstarGửiHủy
Cảm ơn
Báo vi phạm
Bạn muốn hỏi điều gì?
Group 2K8 ôn Thi ĐGNL & ĐGTD Miễn Phí

Bảng tin
Bạn muốn hỏi điều gì?
Lý do báo cáo vi phạm?
Gửi yêu cầu Hủy

Cơ quan chủ quản: Công ty Cổ phần Công nghệ Giáo dục Thành Phát
Tải ứng dụng


- Hướng dẫn sử dụng
- Điều khoản sử dụng
- Nội quy hoidap247
- Góp ý
Inbox: m.me/hoidap247online
Trụ sở: Tầng 7, Tòa Intracom, số 82 Dịch Vọng Hậu, Cầu Giấy, Hà Nội.
Từ khóa » Nguyên Hàm Của X^3/x^2+1
-
Tìm Nguyên Hàm X^3 Căn Bậc Hai Của X^2+1 | Mathway
-
Tìm Nguyên Hàm (3x^2-2x+3)/(x^3) | Mathway
-
Nguyên Hàm X^3/(X^2+1)
-
Nguyên Hàm Của Hàm Số Y=x^3/(x-1) Là
-
Tìm Nguyên Hàm Của Hàm Số F(x) = Frac{{{x^3}}}{{sqrt {2 - {x^2}} }}
-
Họ Nguyên Hàm Của Hàm Số F(x)=x^3(x^2+1)^2019 Là
-
Tính Nguyên Hàm X^2(2x^3-1)^2dx...
-
Họ Nguyên Hàm Của Hàm Số Tích Phân Của 2x+3/2.x^2-x-1 Dx Là Chọn ...
-
Họ Nguyên Hàm Của Hàm Số F(x) = 3x^2 +1 Là... - Vietjack.online
-
Tìm Nguyên Hàm Của 2x+1/x-1 - Hoc24
-
Tìm Nguyên Hàm Của Hàm Số (f(x) = (x)((căn (3(x^2) + 2) )) ).
-
Họ Nguyên Hàm Của Hàm Số F( X ) = 2x( 1 + 3x^3 ) Là - Tự Học 365