Hóa Học 12: Phản ứng Thủy Phân Tinh Bột, Xenlulozơ
Có thể bạn quan tâm
Nâng cấp gói Pro để trải nghiệm website VnDoc.com KHÔNG quảng cáo, và tải file cực nhanh không chờ đợi.
Tìm hiểu thêm » Mua ngay Từ 79.000đ Hỗ trợ ZaloChuyên đề Hóa học 12 Phản ứng thủy phân Tinh bột, Xenlulozơ. Nội dung tài liệu sẽ giúp các bạn giải bài tập Hóa học lớp 12 nhanh và chính xác hơn. Mời các bạn tham khảo.
Hóa học 12: Phản ứng thủy phân Tinh bột, Xenlulozơ
- A. Phương pháp và ví dụ phản ứng thủy phân Tinh bột, Xenlulozơ
- Lý thuyết và Phương pháp giải
- Ví dụ minh họa
- B. Bài tập trắc nghiệm phản ứng thủy phân Tinh bột, Xenlulozơ
A. Phương pháp và ví dụ phản ứng thủy phân Tinh bột, Xenlulozơ
Lý thuyết và Phương pháp giải
Dựa trên phản ứng:
(C6H10O5)n + nH2O → nC6H12O6
C6H12O6 → 2C2H5OH + 2CO2 (lên men rượu)
Glucozo
Ví dụ minh họa
Bài 1: Đem thủy phân 1 kg khoai chứa 20% tinh bột trong môi trường axit. Nếu hiệu suất phản ứng là 75%, thì khối lượng glucozo thu được sau phản ứng là bao nhiêu?
Đáp án hướng dẫn giải bài tập
Ta có: mtinh bột = 1000. 20/100 = 200(gam)
⇒ khối lượng tinh bột phản ứng: 200. 75/100 = 150 (gam)
(C6H10O5)n + nH2O → nC6H12O6
=> m = 150.180n/162n = 166,67 (gam)
Bài 2: Từ 10 kg gạo nếp (có 80% tinh bột), khi lên men sẽ thu được bao nhiêu lít cồn 96o? Biết rằng hiệu hiệu suất của quá trình lên men đạt 80% và cồn 96o có khối lượng riêng D = 0,807 g/ml
Đáp án hướng dẫn giải chi tiết
Ta có: mC6H10O5 = 10.80/100 = 8 (kg) = 8000(gam)
(C6H10O5)n + nH2O → nC6H12O6 (1)
162n gam 180 n gam
=> m(C6H10O5)n = 8000. 180n/162n (gam)
C6H12O6 → 2C2H5OH + 2CO2 (lên men rượu)
8000.180n/162n
mC2H5OH = 8000.180 = 92/180.162 = 4543,2 gam
Vì hiệu suất quá trình lên men đạt 80% nên:
mC2H5OH thực tế = 4543,2.80/100 = 3634,56 gam
VC2H5OH nguyên chất = 3634,56/0,807 = 4503,5 ml
V dung dịch C2H5OH 96o = 4503,80.100/96 = 4691,5 ml = 4,7 lít
Bài 3: Lượng mùn cưa (chứa 50% là xenlulozo) cần là bao nhiêu để sản xuất 1 tấn C2H5OH, biết hiệu suất cả quá trình đạt 70%.
Đáp án hướng dẫn giải chi tiết
Gọi x là số mol của xenlulozo:
(C6H10O5)n + nH2O → nC6H12O6 (1)
C6H12O6 → 2C2H5OH + 2CO2 (lên men rượu)
Từ tỉ lệ phản ứng ta có: nrượu = 2nglucozo = 2.n.nxenlulozo = 2n*x (mol)
Số mol C2H5OH là:
nC2H5OH = 2n.x.70/100 = 1,4.nx
=> 1000000/46 = 1,4nx => x = 15528/n (mol)
Suy ra khối lượng xenlulozo là: 15528/n.162n = 2515536 (gam)
mmùn cưa = 25155,36.2 = 5031072(gam) ≈ 5,031(tấn)
Bài 4: Để sản xuất ancol etylic, người ta dùng nguyên liệu là mùn cưa và vỏ bào từ gỗ chứa 50% xenlulozo. Nếu muốn điều chế 1 tấn ancol etylic, hiệu suất quá trình là 70%, thì khối lượng nguyên liệu mà nhà máy đó cần dùng là bao nhiêu?
Đáp án hướng dẫn giải chi tiết
Ta có: mC2H5OH lý thuyết = 1.100/70 = 100/70 (tấn)
Sơ đồ:
(C6H10O5)n
\(\overset{+nH_{2} O}{\rightarrow}\)nC6H12O6
\(\overset{lên men}{\rightarrow}\)2nC2H5OH + 2nCO2
=> mxenlulozo = 10/7.162n/92n = 2,5155 tấn
=> m mùn cưa = 2,5155.2 = 5,031 (tấn) = 5031 tấn
B. Bài tập trắc nghiệm phản ứng thủy phân Tinh bột, Xenlulozơ
Bài 1: Trong một nhà máy sản xuất rượu, người ta dùng nguyên liệu là mùn cưa chứa 50% xenlulozo để sản xuất ancol etylic, biết hiệu suất toàn bộ quá trình là 70%. Để sản xuất 10.000 lít cồn 96o thì khối lượng mùn cưa cần dùng là bao nhiều? Biết khối lượng riêng của ancol etylic là 0,8 gam/cm3.
A. 38,64 tấn
B. 43,28 tấn
C. 26,42 tấn
D. 51,18 tấn
Đáp án: A
(C6H10O5)n + nH2O → nC6H12O6 (1) (xúc tác, H+)
C6H12O6 → 2C2H5OH + 2CO2 (enzim)
Vancol etylic = 9600 lít ⇒ mancoletylic = 7680 kg thì cần 7680/92.162 kg xenlulozo tinh khiết.
Vậy khối lượng mùn cưa cần dùng là :
kg hay 38,64 tấn mùn cưa.
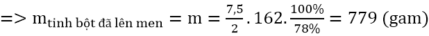
Bài 2: Cho m gam tinh bột lên men thành ancol etylic với hiệu suất 78%. Toàn bộ lượng CO2 sinh ra được hấp thụ hoàn toàn vào dung dịch Ca(OH)2, thu được 350 gam kết tủa và dung dịch X. Đun kỹ dung dịch X thêm được 100 gam kết tủa. Tính khối lượng tinh bột đã sử dụng?
A. 878g
B. 779g
C. 569g
D. 692g
Đáp án: B
(C6H10O5)n + nH2O → nC6H12O6 (1)
C6H12O6 → 2C2H5OH + 2CO2 (enzim)
Ca(OH)2 + CO2 → CaCO3 + H2O
CaCO3 + H2O + CO2 → Ca(HCO3)2
Ca(HCO3)2 →CaCO3 + H2O + CO2
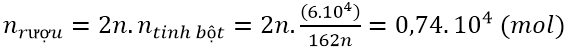
Dựa vào các phản ứng trên: nCO2 sinh ra = nCaCO3 + 2nCa(HCO3)2 = 7,5 (mol).
Bài 3: Người ta dùng 1 tấn khoai chứa 75% bột và bột này có chứa 20% nước để làm rượu. khối lượng riêng của rượu là 0,8 g/ml. Tính thể tích rượu 95o điều chế được.
A. 516gl
B. 224l
C. 448l
D. 336l
Đáp án: C
Khối lượng rượu nguyên chất: 0,74 .104 . 46 = 34,04.104 (mol)
Thể tích rượu nguyên chất: 42,55 . 104 (ml)
Thể tích rượu 95o là: 44,8 . 104 (ml) = 448 (lít)
Bài 4: Khối lượng glucozơ cần dùng để điều chế 1 lít dung dịch ancol (rượu) etylic 40o (khối lượng riêng 0,8 g/ml) với hiệu suất 80% là:
A. 626,09 gam.
B. 782,61 gam.
C. 305,27 gam.
D. 1565,22 gam.
Đáp án: B
C6H12O6 → 2C2H5OH + 2CO2 (lên men rượu) (1)Theo (1) và giả thiết ta có:
Vì hiệu suất phản ứng là 80% nên khối lượng glucozơ cần dùng là:
Bài 5: Để điều chế 45 gam axit lactic từ tinh bột và qua con đường lên men lactic, hiệu suất thuỷ phân tinh bột và lên men lactic tương ứng là 90% và 80%. Khối lượng tinh bột cần dùng là:
A. 50 gam.
B. 56,25 gam.
C. 56 gam.
D. 60 gam.
Đáp án: B
Hiệu suất toàn bộ quá trình là: H = 0,9.0,8 = 0,72 (72%).
Bài 6: Khi thuỷ phân 1 kg bột gạo có 80% tinh bột, thì khối lượng glucozơ thu được là bao nhiêu? Giả thiết rằng phản ứng xảy ra hoàn toàn.
A. 0,80 kg.
B. 0,90 kg.
C. 0,99 kg.
D. 0,89 kg.
Đáp án: D
Phương trình phản ứng:
Bài 7: Đi từ 150 gam tinh bột sẽ điều chế được bao nhiêu ml ancol etylic 46o bằng phương pháp lên men ancol? Cho biết hiệu suất phản ứng đạt 81% và d = 0,8 g/ml.
A. 46,875 ml.
B. 93,75 ml.
C. 21,5625 ml.
D. 187,5 ml.
Đáp án: D
Khối lượng tinh bột tham gia phản ứng là: 150.81% = 121,5 gam.
Thể tích ancol nguyên chất là:
Bài 8: Lên men dung dịch chứa 300 gam glucozơ thu được 92 gam ancol etylic. Hiệu suất quá trình lên men tạo thành ancol etylic là:
A. 60%.
B. 40%.
C. 80%.
D. 54%.
Đáp án:
Phương trình phản ứng:
Hiệu suất quá trình lên men tạo thành ancol etylic là: 
Mời các bạn tham khảo thêm các bài viết dưới đây của chúng tôi:
- Lý thuyết Tinh bột: Tính chất hóa học, Tính chất vật lí, Cấu tạo, Điều chế, Ứng dụng
- Lý thuyết Xenlulozo: Tính chất hóa học, Tính chất vật lí, Cấu tạo, Điều chế, Ứng dụng
- Lý thuyết: Luyện tập cấu trúc và tính chất của một số Cacbohiđrat tiêu biểu
- Câu hỏi lý thuyết về tính chất của Cacbohidrat
- Các phản ứng hóa học của Glucozơ, Saccarozơ, Tinh bột, Xenlulozơ
- Nhận biết Glucozơ, Saccarozơ, Tinh bột, Xenlulozơ
- Phản ứng tráng bạc của Glucozơ
Trên đây VnDoc đã giới thiệu tới các bạn Phản ứng thủy phân Tinh bột, Xenlulozơ. Để có kết quả cao hơn trong học tập, VnDoc xin giới thiệu tới các bạn học sinh tài liệu Giải bài tập Toán lớp 12, Giải bài tập Hóa học lớp 12, Giải bài tập Vật Lí 12, Tài liệu học tập lớp 12 mà VnDoc tổng hợp và đăng tải.
Ngoài ra, VnDoc.com đã thành lập group chia sẻ tài liệu ôn tập THPT Quốc gia miễn phí trên Facebook: Tài liệu học tập lớp 12 Mời các bạn học sinh tham gia nhóm, để có thể nhận được những tài liệu, đề thi mới nhất.
Từ khóa » điều Chế Rượu Etylic Từ Xenlulozo
-
Người Ta điều Chế C2H5OH Từ Xenlulozơ Với Hiệu Suất Chung Của Cả ...
-
[LỜI GIẢI] Tiến Hành Sản Xuất Ancol Etylic Từ Xenlulozơ Với Hiệu Suất C
-
Người Ta điều Chế C2H5OH Từ Xenlulozơ Với ...
-
Người Ta điều Chế C2H5OH Từ Xenlulozơ Với Hiệu ... - Vietjack.online
-
Người Ta điều Chế C2H5OH Từ Xenlulozơ Với Hiệu Suất ...
-
Phương Trình điều Chế Rượu Etylic Từ Xenlulozo? - Nguyên Sođa
-
Tiến Hành Sản Xuất Ancol Etylic Từ Xenlulozơ Với Hiệu Suất Của Toàn ...
-
Phương Trình điều Chế Ancol Etylic Từ Xenlulozơ
-
Tiến Hành Sản Xuất Ancol Etylic Từ Xenllulozơ Với Hiệu Suất Của Toàn ...
-
Người Ta điều Chế C2H5OH Từ Xenlulozơ Với Hiệu Suất Chung Của Cả ...
-
Từ 32.4 G Xenlulozơ Người Ta điều Chế C2h5oh Với Hiệu Suất 60 ...
-
Người Ta điều Chế C2H5OH Từ Xenlulozơ Với Hiệu Suất ... - Hoc24
-
Người Ta điều Chế C2h5oh Từ Xenlulozo
-
Phương Trình điều Chế Rượu Etylic Từ Xenlulozo? - Hóa Học Lớp 12