Hòa Tan 9,6 Gam Magnesium Vào 400ml Dung Dịch HCL Loãng.Phản ...
Có thể bạn quan tâm


Tìm kiếm với hình ảnh
Vui lòng chỉ chọn một câu hỏi
Tìm đáp án
Đăng nhập- |
- Đăng ký


Hoidap247.com Nhanh chóng, chính xác
Hãy đăng nhập hoặc tạo tài khoản miễn phí!
Đăng nhậpĐăng ký

Lưu vào
+
Danh mục mới


- ngoc4343

- Chưa có nhóm
- Trả lời
2
- Điểm
-7
- Cảm ơn
1
- Hóa Học
- Lớp 9
- 40 điểm
- ngoc4343 - 10:21:53 29/10/2021
- Hỏi chi tiết
Báo vi phạm
Hãy luôn nhớ cảm ơn và vote 5* nếu câu trả lời hữu ích nhé!
TRẢ LỜI
- nguyenthithuha530

- Chưa có nhóm
- Trả lời
1088
- Điểm
10710
- Cảm ơn
574
- nguyenthithuha530
- Câu trả lời hay nhất!

- 29/10/2021
Đây là một chuyên gia không còn hoạt độngĐáp án:
$V_{H_2}= 8,96(l)$
$m_{MgCl_2}= 38g$
$Cm_{MgCl_2}=1M$
$Cm_{HCl}=2M$
$V_{Ba(OH)_2}=504,42ml$
Giải thích các bước giải:
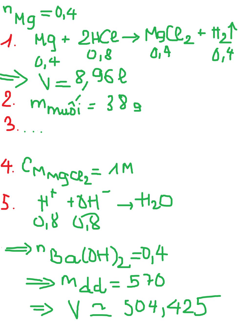
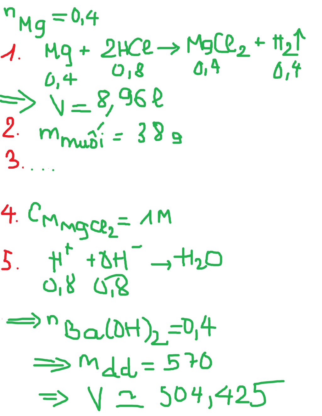
$n_{Mg}=\frac{9,6}{24}= 0,4 mol$
Phương trình phản ứng:
$Mg + 2HCl \to MgCl_2 + H_2$
$Ba(OH)_2 + 2HCl \to BaCl_2 + 2H_2O$
Theo phương trình:
$n_{H_2}=n_{MgCl_2}=n_{Mg} = 0,4 mol$
$n_{HCl} =2n_{Mg}= 2.0,4=0,8 mol$
$n_{Ba(OH)_2} =\frac{1}{2}.n_{HCl}= 0,4 mol$
$V_{H_2}= 0,4.22,4= 8,96(l)$
$m_{MgCl_2}= 0,4.95=38g$
$Cm_{MgCl_2}=\frac{0,4}{0,4}=1M$
$Cm_{HCl}=\frac{0,8}{0,4}=2M$
$m_{dung dịch Ba(OH)_2}=\frac{0,4.171.100}{12}=570g$
$V_{Ba(OH)_2}=\frac{570}{1,13}=504,42ml$
Hãy giúp mọi người biết câu trả lời này thế nào?

Cảm ơn
Báo vi phạm


- ngoc4343

- Chưa có nhóm
- Trả lời
2
- Điểm
-7
- Cảm ơn
1
chị ơi chị có thể để 1 đến 5 ko ạ
- ngoc4343


- ngoc4343

- Chưa có nhóm
- Trả lời
2
- Điểm
-7
- Cảm ơn
1
em ko bít đáp án ạ
- ngoc4343


- ngoc4343

- Chưa có nhóm
- Trả lời
2
- Điểm
-7
- Cảm ơn
1
chị ơi :(
- ngoc4343


- ngoc4343

- Chưa có nhóm
- Trả lời
2
- Điểm
-7
- Cảm ơn
1
chị :< chị nhắn dưới bình luận cho em đáp án 1 đén 5 i
- ngoc4343
- nguyenthithuha530

- Chưa có nhóm
- Trả lời
1088
- Điểm
10710
- Cảm ơn
574
1. $V_{H_2}= 8,96(l)$ 2. $m_{MgCl_2}=38g$ 4. $Cm_{MgCl_2}=1M$ $Cm_{HCl}=\frac{0,8}{0,4}=2M$ 5. $V_{Ba(OH)_2}=504,42ml$ Phần 3, 4 hỏi tương tự nhau đều hỏi nồng độ của muối b nhé
- nguyenthithuha530


- ngoc4343

- Chưa có nhóm
- Trả lời
2
- Điểm
-7
- Cảm ơn
1
chị ơi câu 5 có 4 đáp án là a)22,4 lít b) 504,4 c ) 504,4 ml d) 50,44 ml
- ngoc4343


- ngoc4343

- Chưa có nhóm
- Trả lời
2
- Điểm
-7
- Cảm ơn
1
chị ơi vậy câu nào ạ :<
- ngoc4343


- ngoc4343

- Chưa có nhóm
- Trả lời
2
- Điểm
-7
- Cảm ơn
1
thôi em gửi bài đây :( hic cảm ơn đã giành thời gian giải bài cho em ạ ) cảm ơn chị
- ngoc4343
Xem thêm:
- >> Tuyển tập 100+ đề bài đọc hiểu Ngữ Văn lớp 9


- lebinhchau2005

- Chưa có nhóm
- Trả lời
76
- Điểm
1355
- Cảm ơn
47
- lebinhchau2005
- 29/10/2021

đáp án ở ảnh nha

Hãy giúp mọi người biết câu trả lời này thế nào?
starstarstarstarstarstarstarstarstarstarstarstarstarstarstarstarstarstarstarstarstarstarstarstarstarstarstarstarstarstarstarstarstarstarstarGửiHủy
Cảm ơn
Báo vi phạm
Bạn muốn hỏi điều gì?
Tham Gia Group Dành Cho Lớp 9 - Ôn Thi Vào Lớp 10 Miễn Phí

Bảng tin
Bạn muốn hỏi điều gì?
Lý do báo cáo vi phạm?
Gửi yêu cầu Hủy

Cơ quan chủ quản: Công ty Cổ phần Công nghệ Giáo dục Thành Phát
Tải ứng dụng


- Hướng dẫn sử dụng
- Điều khoản sử dụng
- Nội quy hoidap247
- Góp ý
Inbox: m.me/hoidap247online
Trụ sở: Tầng 7, Tòa Intracom, số 82 Dịch Vọng Hậu, Cầu Giấy, Hà Nội.
Từ khóa » Pha Loãng 400ml Dung Dịch Hcl
-
Pha Loãng 400ml Dung Dịch HCl Bằng 500ml Nước Thu ... - Khóa Học
-
Pha Loãng 400ml Dung Dịch HCl Bằng... - CungHocVui
-
Pha Loãng 400ml Dung Dịch HCl Bằng 500ml Nước Thu ... - Hoc24
-
Pha Loãng 400ml Dung Dịch HCl Bằng 500ml Nước Thu ... - Hoc24
-
Pha Loãng 400ml Dung Dịch HCl Bằng 500ml Nước Thu được Dung ...
-
Dung Dịch Hcl Có Nồng độ X Mol/lít Pha Loãng 32ml Dung Dịch Này ...
-
Trộn 100ml Dung Dịch HCl 1M Với 400ml Dung Dịch NaOH ... - Lazi
-
Sổ Tay Bài Tập Pha Loãng Cô Đặc Dung Dịch HCl
-
Trộn 400 Ml Dung Dịch HCl 0 1M Với 100 Ml Dung Dịch NaOH 0 2M ...
-
Dung Dịch HCl Có PH = 3, Số Lần để Pha Loãng Dung Dịch để Thu ...
-
Câu 3. Cho 400 Ml Nước Vào 100 Ml Dd Có PH =2 . PH Của Dd Thu ...
-
Dung Dịch HCl Có PH = 3, Số Lần để Pha Loãng Dung Dịch để Thu đư
-
1. Dung Dịch H2SO4 0,0005M (coi H2SO4 điện Li Hoàn Toàn Cả 2 Nấc).
-
Pha Loãng Dung Dịch HCl Có PH = 3 Bao Nhiêu Lần để ... - HOC247