Hỗn Hợp X Gồm O2 Và O3 Có Tỉ Khối So Với H2 Bằng 20 . Để đốt Cháy ...
Có thể bạn quan tâm
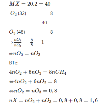
Hỗn hợp x gồm o2 và o3 có tỉ khối so với h2 bằng 20 . Để đốt cháy hoàn toàn 1 mol CH4 cần bao nhiêu mol X
Trả Lời (+5 điểm) Hỏi câu khác Hỏi chi tiết ...Xem thêmQuảng cáo
1 câu trả lời 7440

Quảng cáo
Bạn muốn hỏi bài tập?
Đặt câu hỏiCâu hỏi hot cùng chủ đề
- Hỏi từ APP VIETJACK Cho các quá trình sau thu nhiệt hay tỏa nhiệt? Giải thích ngắn gọn?1. Đốt một ngọn nến2. Nước đóng băng3. Hòa tan muối ăn vào nước thấy cốc nước trở nên mát4. Luộc chín quả trứng5. Hòa tan một ít bột giặt trong tay với nước thấy tay ấm6. Muối kết tinh từ nước biển ở các ruộng muối7. Giọt nước cộng lại trên lá cây vào ban đêm8. Đổ mồ hôi sau khi chạy bộ .Giúp mình với mình đang cần gấp lắm. Trả lời (11) Xem đáp án » 99845
-
Điện phân dung dịch NaCl điện cực trơ không có màng ngăn , sản phẩm thu đc gồm : A. NaOH , nước javen
B.H2, nước javen
C. Cl2, nước javen
D.NaOH , H2
Trả lời (4) Xem đáp án » 85757 - Hỏi từ APP VIETJACK HCl+H2O tạo ra gì và cân bằng ntn ? Trả lời (7) Xem đáp án » 66812
- Hỏi từ APP VIETJACK Giải thích sự hình thành liên kết ion trong phân tử : KCL , K2O , CaF2 , NaBr Trả lời (2) Xem đáp án » 63812
-
I-Trắc nghiệm
Oxi không phản ứng trực tiếp với chất nào sau đây?
A. Crom.
B. Flo.
C. Cacbon.
D. Lưu huỳnh.
Trả lời (13) Xem đáp án » 58962 -
Cho phương trình hóa học: Al+HNO3→AlNO33+NO+N2O+H2O
(Biết tỉ lệ thể tích N2O:NO=1:3)
Sau cân bằng phương trình hóa học trên với hệ số các chất là những số nguyên, tối giản thì hệ số của HNO3 là
A. 66
B. 60
C. 51
D. 63
Trả lời (2) Xem đáp án » 51520 -
Để cháy hoàn toàn hỗn hợp X gồm 3,84 gam Mg và 4,32 gam Al cần 5,824 lít hỗn hợp khí Y (đktc) gồm O2 và Cl2. Tính % thể tích Cl2 trong hỗn hợp Y?
Từ khóa » Hh X Gồm O2 Và O3 Có Tỉ Khối So Với H2 Là 20
-
Hỗn Hợp X Gồm O2 Và O3 Có Tỉ Khối
-
Hỗn Hợp X Gồm O2 Và O3 Có Tỉ Khối So Với H2 Là 20. Để đốt Cháy ...
-
Hỗn Hợp X Gồm O2 Và O3 Có Tỉ Khối Hơi đối Với H2 Là 20. Phần Trăm ...
-
[LỜI GIẢI] Hỗn Hợp A Gồm O2 Và O3 Có Tỉ Khối So Với Hidro Là 20 ...
-
Hỗn Hợp X Gồm O2 Và O3 Có Tỉ Khối So Với H2 Là 20 ... - MTrend
-
Hỗn Hợp X Gồm O2 Và O3 Có Tỉ Khối So Với H2 Là 20 ... - MTrend
-
Hỗn Hợp O2 Và O3 Có Tỉ Khối đồi Với H2 Bằng 20. Phần Trăm Số Mol
-
Hỗn Hợp X Gồm O2 Và O3 Có Tỉ Khối Hơi So Với H2 Là X. [đã Giải]
-
Hỗn Hợp Khí X (đktc) Gồm O2 Và O3 Có Tỉ Khối So Với H2 Là 20. Cho ...
-
Hỗn Hợp X Gồm O2 Và O3 Có Tỉ Khối So Với H2 Bằng 20. Để ...
-
Hỗn Hợp X Gồm O2 Và O3 Có Tỉ Khối So Với H2 ...
-
Hỗn Hợp X Gồm O2 Và O3 Có Tỉ Khối
-
Khánh An - 1,.Hỗn Hợp X Gồm O2 Và O3 Có Tỉ Khối So Với H2...
-
Một Hỗn Hợp X Gồm O2 Và O3 Có Tỉ Khối So Với H2 Là 18,4. Tính Thể ...