Hướng Dẫn Chi Tiết Phân Tích đạm Theo Phương Pháp Kjeldahl
Có thể bạn quan tâm
Phương pháp Kjeldahl là gì?
- Phương pháp Kjeldahl trong hóa học phân tích là phương pháp xác định định lượng nitơ chứa trong các chất hữu cơ cộng với nitơ trong amoni vô cơ và amoni.
- Xác định hàm lượng protein bằng phương pháp Kjeldahl là phương pháp mang lại kết quả chính xác.
- Trước đây, phân tích đạm tổng số bằng các phương pháp thủ công, sử dụng bình kjeldahl, các hóa chất cần thiết và bộ chưng cất đạm kjeldahl bằng thủy tinh.
- Trong thời kỳ hiện đại rất nhiều máy phá mẫu đạm tự độngđược sản xuất, Công ty Châu Giang xin gửi tới quý khách hàng sản phẩm cất đạm giá rẻ, chất lượng tốt với các loại 4 vị trí, 14 vị trí.... Model: HYP-304 , HYP-314 được sản xuất nhằm phục vụ quá trình phá mẫu đạm làm giảm thiểu quá trình thao tác, an toàn cho người sử dụng,

- Sau quá trình phá mẫu đạm,ống phá mẫu được lắp trực tiếp vàomáy cất đạm tự độngKDN-103A giảm thiểu sai số. Máy vận hành đơn giản, tự động bơm nước cất, bơm NaOH 40%.

Nguyên lý phương pháp chưng cất đạm Kjeldahl
- Phương pháp xác định đạm bao gồm sưởi ấm một chất với axít sulfuric, phân hủy các chất hữu cơ bằng quá trình oxy hóa để giải phóng lượng nitơ giảm như amoni sulfat. Trong bước này, kali sulphat( K2SO4), và Đồng Sunphat( CuSO4.5H2O) được thêm vào để tăng điểm sôi của môi trường (từ 337 ° C đến 373 ° C).
- Sự phân hủy hoá học của mẫu hoàn tất khi môi trường ban đầu rất tối đã trở nên rõ ràng và không màu. Dung dịch này sau đó được chưng cất với một lượng nhỏ natri hydroxyd, chuyển muối amoni thành ammonia. Lượng amoniac hiện diện, và do đó lượng nitơ có trong mẫu, được xác định bằng phép chuẩn độ. Sự kết thúc của bình ngưng được nhúng vào một dung dịch axit boric hoặc acid sulfuric. Amoniac phản ứng với axit và phần còn lại của axit sau đó được trung hòa bằng NaOH 0.1N
- a. Giai đoạn phá mẫu: Mẫu + H2SO4 → (NH4) 2SO4 (aq) + CO2 (g) + SO 2 (g) + H 2O (g)
- b. Giai đoạn chưng cất giải phóng Amoniac: (NH4) 2SO4 (aq) + 2NaOH → Na2SO4 (aq) + 2H2O (l) + 2NH3 (g)
- c. Hấp thụ Amoniac: B (OH) 3 + H2O + NH3 → NH4 + + B (OH) 4-
- d. Phản ứng ngược: B (OH) 3 + H2O + H2SO4 → NaHCO3 (aq) + NaB (OH) 4 (aq) + CO2 (g) + H 2O

Thao tác phân tích đạm Kjeldahl
Hóa chất cần dùng: H2SO4, CuSO4, K2SO4, NaoH 40%, Chất chỉ thị màu, Ống chuẩn NaOH 0.1N, Ống chuẩn H2SO4 0.1N,
Cách pha hóa chất:
- 1. Hỗn hợp xúc tác: Cân trước 1G CuSO4 và 10G K2SO4
- 2. Chất chỉ thị màu: 0,25g Methylene blue + 0.5g Methylred + 50ml Ethanol.
- 3. Dung dịch NaOH 40%: Cân 404 g NaOH( 99.9%) vào bình định mức 1 Lít, dùng bình tia tráng sạch lên thể tích vừa 1 Lít.
- 4. Chất chỉ thị màu: Cân 0.25g Methylene blue + 0.5g Methyl red sau đó thêm 50ml Ethanol.
- 5. Pha dung dịch chuẩn: NaOH 0.1 N và H2SO4: 0.1 N: Lấy 1 ống chuẩn vào bình định mức, dùng bình tia tráng cho sạch sau đó đổ thêm nước cất vừa đủ 1 Lít.
Hướng dẫn thao tác:
a. Giai đoạn Phân hủy
- Bước 1: Hút 1ml nước mắm cho vào bình phá mẫu Kjeldahl
- Bước 2: Cho thêm 15ml H2SO4 95-97%
- Bước 3: Thêm hỗn hợp xúc tác CuSO4 và K2SO4.
- Để bình Kjeldahl khoảng 10-15 phút cho mẫu đồng đều, sau đó đốt đến khi dung dịch thu được màu vàng hoặc xanh trong suốt.
b. Giai đoạn chưng cất
- Bước 1: Hút 10ml dung dịch H2SO4 0.1N và 2 giọt chỉ thị màu vào bình tam giác 250ml hứng phần ngưng tụ.
- Bước 2: Kiểm tra độ kín của hệ thống nước hoàn lưu. Lưu ý khóa tất cả các van khi chưng cất.
- Bước 3: Chuyển toàn bộ mẫu ở bình Kjeldahl vào bình chưng cất, dùng nước tráng lại 03 lần.
- Bước 4: Thêm 30-40ml NaOH 40% vào bình chưng cất.
- Bước 5: Tiến hành chưng cất. Chờ bình tam giác ngưng tụ được khoảng 200ml.
- Bước 6: Rửa đuôi ống sinh hàn bằng nước cất sau đó cất thêm 1 phút nữa.
c. Chuẩn độ
- Bước 1: Điền đầy Buret 25ml với dung dịch NaOH 0.1N pha sẵn.
- Bước 2: Mang bình tam giác vừa ngưng tụ chuẩn độ bằng dung dịch NaOH 0.1N đến khi dung dịch chuyển từ màu xanh lục sang màu tiam. Ghi thể tích NaOH 0.1N tiêu tốn.
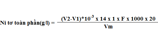
d.Tính toán( Phương pháp tính Nitơ toàn phần)
- Hàm lượng Ni tơ toàn phần được tính theo Công thức sau:

| Trong đó: |
| V1: Thể tích dung dịch NaOH 0,1 N tiêu tốn trên Buret |
| V2: Thể tích dung dịch H2SO4 0.1N |
| N: Đương lượng dung dịch H2SO4 0.1N |
| Vm: Thể tích mẫu thử(ml) |
| m: khối lượng mẫu thử(g) |
| f: Hệ số pha loãng mẫu |
| F: Hệ số hiệu chỉnh nồng độ dung dịch NaOH 0.1N( Bằng 1) |
| V1= V2= 10ml N= 0.1N Vm =1ml f=20ml |
Từ khóa » Hệ Thống Chưng Cất Ammonia
-
Xác định Amoni NH4+ Phương Pháp Chưng Cất Và Chuẩn độ
-
Hệ Thống Chưng Cất Ammonia/ Phenol 10 Vị Trí, Model MidiVap 4000
-
Bộ Chưng Cất Ammonium, Iwaki-Nhật
-
Hệ Thống Chưng Cất Ammonia Và Phenol 220V
-
Bộ Chưng Cất Cyanua, Amonia Và Phenol
-
Thiết Bị Chưng Cất đạm, Buchi, K-375; Kjeldahl
-
HỆ THỐNG CHƯNG CẤT ... - Thiết Bị Hóa Chất Phòng Thí Nghiệm
-
Amoniac Nitơ / Phenol Cyanide Hệ Thống Chưng Cất Tự động 8 Chiếc
-
Hệ Thống Xử Lý Amonia - CT CHEMICAL ENGINEERING COMPANY
-
Hệ Thống Xử Lý Amoniac | Công Ty Máy Móc Và Thiết Bị Hóa Chất ...
-
Phương Pháp Thực Nghiệm Tối ưu Hóa Cho Phép Xác định Hàm Lượng ...
-
Xác định Hàm Lượng Amoni Phương Pháp Chưng Cất Và Chuẩn độ
-
Tìm Hiểu Thiết Bị Chưng Cất đạm Kjeldahl - Tài Liệu Text - 123doc
