IUPAC Name Of CH3 CH CH CH3 A Unsymmetrical Dimethyl Class ...
Có thể bạn quan tâm
CoursesCourses for KidsFree study materialOffline CentresMore
Store

Answer
Question Answers for Class 12
Class 12 BiologyClass 12 ChemistryClass 12 EnglishClass 12 MathsClass 12 PhysicsClass 12 Social ScienceClass 12 Business StudiesClass 12 EconomicsQuestion Answers for Class 11
Class 11 EconomicsClass 11 Computer ScienceClass 11 BiologyClass 11 ChemistryClass 11 EnglishClass 11 MathsClass 11 PhysicsClass 11 Social ScienceClass 11 AccountancyClass 11 Business StudiesQuestion Answers for Class 10
Class 10 ScienceClass 10 EnglishClass 10 MathsClass 10 Social ScienceClass 10 General KnowledgeQuestion Answers for Class 9
Class 9 General KnowledgeClass 9 ScienceClass 9 EnglishClass 9 MathsClass 9 Social ScienceQuestion Answers for Class 8
Class 8 ScienceClass 8 EnglishClass 8 MathsClass 8 Social ScienceQuestion Answers for Class 7
Class 7 ScienceClass 7 EnglishClass 7 MathsClass 7 Social ScienceQuestion Answers for Class 6
Class 6 ScienceClass 6 EnglishClass 6 MathsClass 6 Social ScienceQuestion Answers for Class 5
Class 5 ScienceClass 5 EnglishClass 5 MathsClass 5 Social ScienceQuestion Answers for Class 4
Class 4 ScienceClass 4 EnglishClass 4 Maths
IUPAC name of $C{H_3} - CH = CH - C{H_3}$(A) Unsymmetrical dimethyl ethylene(B) Symmetrical dimethyl ethylene(C) 1,2- dimethylethene(D) 2-buteneAnswer
Verified555.3k+ viewsHint: We can see that the compound is symmetrical about the double bond. This means that there will be no problem in numbering the carbon atoms as well as in choosing the main carbon chain. After identifying the root word, write the suffix for alkene in accordance to the IUPAC conventions and nomenclature.Complete Solution :There are few rules to be followed to name a compound. Let us see those. -Find the parent hydrocarbon.Firstly, we have to choose the longest chain. If two different chains of equal length are present, choose the one which has the most substituents. Here there is only one chain in the compound.-Count the number of carbon atoms present in the chain. IUPAC have fixed some prefixes based on the number of carbon atoms.Example for 1 carbon atom, the prefix is “meth”. For 2 carbon – “eth”, “prop” for 3, “but” for 4, “pent” for 5 and so on.There are 4 carbon atoms in $C{H_3} - CH = CH - C{H_3}$. So, the prefix is “But”.- See if there is any double or triple bond, functional group, substituent in the main chain. Then start counting from that side from which it comes on the lowest number.In this case, there is a double bond between the carbon atoms 2 and 3. So the suffix is “ene”.-Name the compound. The name of the compound is 2-butene.So, the correct answer is “Option D”.Note: In the above question it was easy to choose the longest carbon chain and the main functional group. However, when we have to choose between the main functional group and longest chain, we give priority to the functional group. The above explanation is shown below:
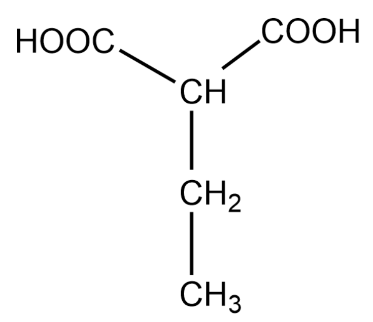
For the above organic compound, the IUPAC name is 2-ethylethan 1,3-dioic acid.Recently Updated PagesTwo men on either side of the cliff 90m height observe class 10 maths CBSE
What happens to glucose which enters nephron along class 10 biology CBSE
Cutting of the Chinese melon means A The business and class 10 social science CBSE
Write a dialogue with at least ten utterances between class 10 english CBSE
Show an aquatic food chain using the following organisms class 10 biology CBSE
A circle is inscribed in an equilateral triangle and class 10 maths CBSE
Two men on either side of the cliff 90m height observe class 10 maths CBSE
What happens to glucose which enters nephron along class 10 biology CBSE
Cutting of the Chinese melon means A The business and class 10 social science CBSE
Write a dialogue with at least ten utterances between class 10 english CBSE
Show an aquatic food chain using the following organisms class 10 biology CBSE
A circle is inscribed in an equilateral triangle and class 10 maths CBSE
Write a letter to the principal requesting him to grant class 10 english CBSE
What is the median of the first 10 natural numbers class 10 maths CBSE
The Equation xxx + 2 is Satisfied when x is Equal to Class 10 Maths
Which of the following does not have a fundamental class 10 physics CBSE
State and prove converse of BPT Basic Proportionality class 10 maths CBSE
Why is there a time difference of about 5 hours between class 10 social science CBSE
Write a letter to the principal requesting him to grant class 10 english CBSE
What is the median of the first 10 natural numbers class 10 maths CBSE
The Equation xxx + 2 is Satisfied when x is Equal to Class 10 Maths
Which of the following does not have a fundamental class 10 physics CBSE
State and prove converse of BPT Basic Proportionality class 10 maths CBSE
Talk to our experts
1800-120-456-456
Sign In- Question Answer
- Class 10
- Science
- IUPAC name of CH3 CH CH CH3 A ...

IUPAC name of $C{H_3} - CH = CH - C{H_3}$(A) Unsymmetrical dimethyl ethylene(B) Symmetrical dimethyl ethylene(C) 1,2- dimethylethene(D) 2-buteneAnswer
For the above organic compound, the IUPAC name is 2-ethylethan 1,3-dioic acid.Recently Updated PagesTwo men on either side of the cliff 90m height observe class 10 maths CBSE
What happens to glucose which enters nephron along class 10 biology CBSE
Cutting of the Chinese melon means A The business and class 10 social science CBSE
Write a dialogue with at least ten utterances between class 10 english CBSE
Show an aquatic food chain using the following organisms class 10 biology CBSE
A circle is inscribed in an equilateral triangle and class 10 maths CBSE
Two men on either side of the cliff 90m height observe class 10 maths CBSE
What happens to glucose which enters nephron along class 10 biology CBSE
Cutting of the Chinese melon means A The business and class 10 social science CBSE
Write a dialogue with at least ten utterances between class 10 english CBSE
Show an aquatic food chain using the following organisms class 10 biology CBSE
A circle is inscribed in an equilateral triangle and class 10 maths CBSE
- 1
- 2
Write a letter to the principal requesting him to grant class 10 english CBSE
What is the median of the first 10 natural numbers class 10 maths CBSE
The Equation xxx + 2 is Satisfied when x is Equal to Class 10 Maths
Which of the following does not have a fundamental class 10 physics CBSE
State and prove converse of BPT Basic Proportionality class 10 maths CBSE
Why is there a time difference of about 5 hours between class 10 social science CBSE
Write a letter to the principal requesting him to grant class 10 english CBSE
What is the median of the first 10 natural numbers class 10 maths CBSE
The Equation xxx + 2 is Satisfied when x is Equal to Class 10 Maths
Which of the following does not have a fundamental class 10 physics CBSE
State and prove converse of BPT Basic Proportionality class 10 maths CBSE
- 1
- 2
Từ khóa » Ch3-ch=ch-ch3 Name
-
IUPAC Name Of CH3 - CH = CH - CH3 Is : - Toppr
-
What Is The IUPAC Name Of CH3-CH=CH-CH3? - Quora
-
[PDF] -37- NAMING ORGANIC COMPOUNDS 1. ALKANES Formula Name ...
-
Write The IUPAC Name Of Given Structure CH3-CH=CH-CH3? - EduRev
-
What Is The IUPAC Name For The Molecule CH3-CH=CH-CH3? A. 2 ...
-
IUPAC Name Of The Compound CH3 CH=CH CH2OH Is - Byju's
-
The IUPAC Name Of CH3-CH=CH-C ≡ CH Is - Tardigrade App
-
[PDF] NOMENCLATURE AND STRUCTURE OF ORGANIC COMPOUNDS
-
Write Iupac Name Of Following : CH3-CH=CH-CH3 - Doubtnut
-
Give The Iupac Names Of The Following Compounds: Ch3-ch=Ch-ch3
-
[PDF] Naming Alkenes
-
Solved 9) The IUPAC Name Of CH3-CH CH-CH3 Is A) 2-butane. B
-
[PDF] Chem 30B - Naming Amines And Amides (Rules)