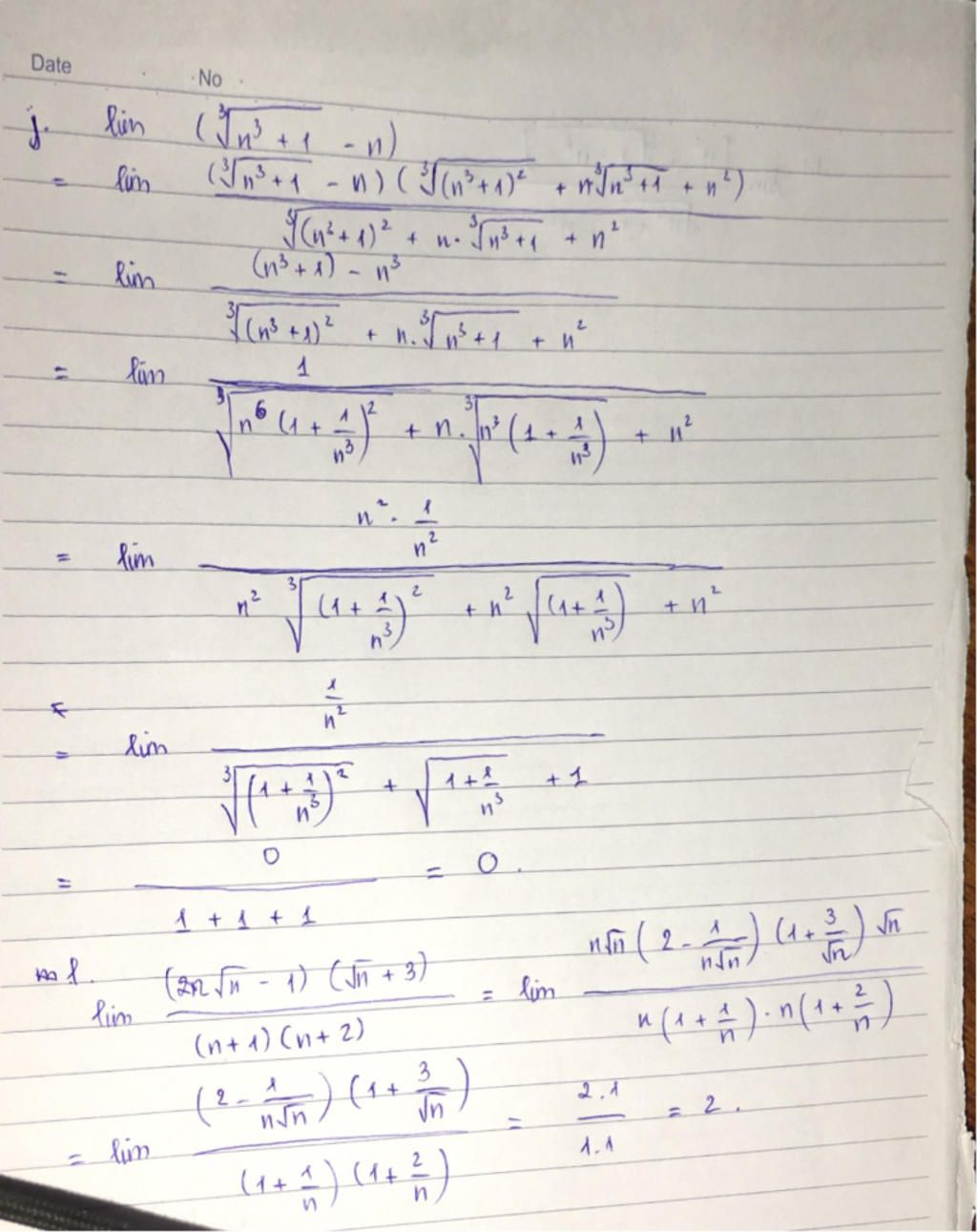
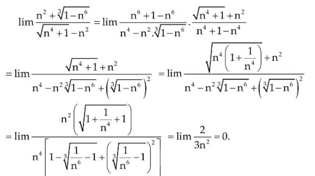
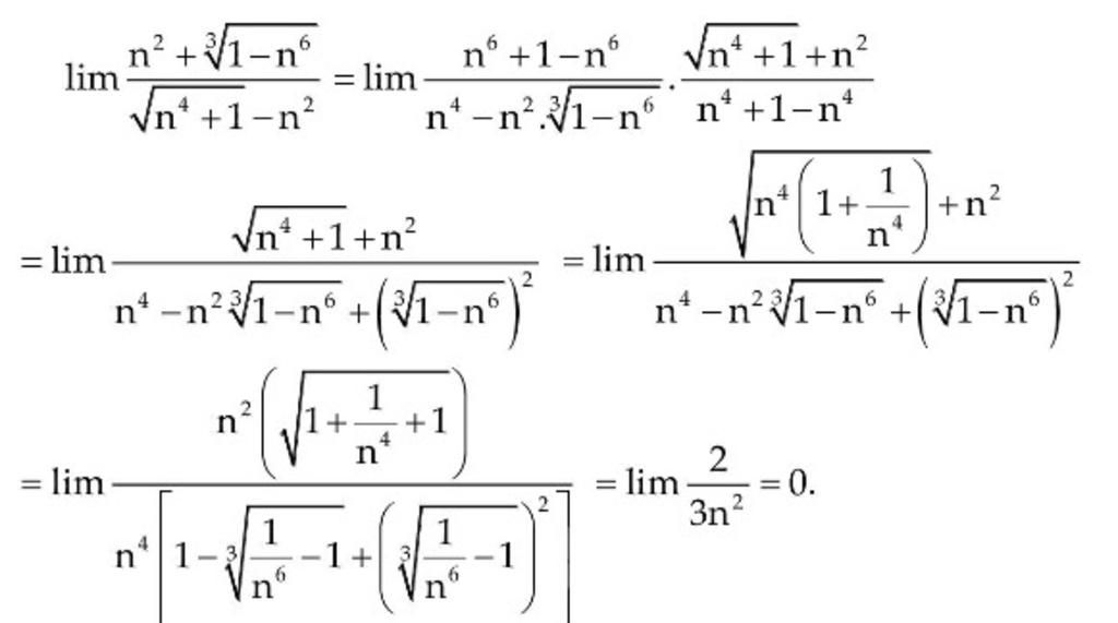
J. Lim (căn Bậc 3(n^3+1) - N) L. $lim \dfrac{(2n\sqrt{n}
Có thể bạn quan tâm


Tìm kiếm với hình ảnh
Vui lòng chỉ chọn một câu hỏi
Tìm đáp án
Đăng nhập- |
- Đăng ký


Hoidap247.com Nhanh chóng, chính xác
Hãy đăng nhập hoặc tạo tài khoản miễn phí!
Đăng nhậpĐăng ký

Lưu vào
+
Danh mục mới
- Akakkakakq

- Chưa có nhóm
- Trả lời
0
- Điểm
0
- Cảm ơn
0
- Toán Học
- Lớp 11
- 50 điểm
- Akakkakakq - 21:04:09 27/02/2021
- Hỏi chi tiết
Báo vi phạm
Hãy luôn nhớ cảm ơn và vote 5* nếu câu trả lời hữu ích nhé!
TRẢ LỜI


- quangcuong347

- Chưa có nhóm
- Trả lời
53468
- Điểm
3081
- Cảm ơn
52916
- quangcuong347
- 27/02/2021
Đây là một chuyên gia không còn hoạt động
Hãy giúp mọi người biết câu trả lời này thế nào?
starstarstarstarstarstarstarstarstarstarstarstarstarstarstarstarstarstarstarstarstarstarstarstarstarstarstarstarstarstarstarstarstarstarstarGửiHủy
Cảm ơn
Báo vi phạm
- thunguyen12

- Chưa có nhóm
- Trả lời
64
- Điểm
1763
- Cảm ơn
32
- thunguyen12
- 27/02/2021

Đáp án:
Giải thích các bước giải:



Hãy giúp mọi người biết câu trả lời này thế nào?
starstarstarstarstarstarstarstarstarstarstarstarstarstarstarstarstarstarstarstarstarstarstarstarstarstarstarstarstarstarstarstarstarstarstarGửiHủy
Cảm ơn
Báo vi phạm
Bạn muốn hỏi điều gì?
Tham Gia Group Dành Cho Lớp 11 Chia Sẻ, Trao Đổi Tài Liệu Miễn Phí

Bảng tin
Bạn muốn hỏi điều gì?
Lý do báo cáo vi phạm?
Gửi yêu cầu Hủy

Cơ quan chủ quản: Công ty Cổ phần Công nghệ Giáo dục Thành Phát
Tải ứng dụng


- Hướng dẫn sử dụng
- Điều khoản sử dụng
- Nội quy hoidap247
- Góp ý
Inbox: m.me/hoidap247online
Trụ sở: Tầng 7, Tòa Intracom, số 82 Dịch Vọng Hậu, Cầu Giấy, Hà Nội.
Từ khóa » Tìm Lim Căn Bậc 3
-
TÌM LIM CÓ CĂN BẬC 3 - Trang Tổng Thông Tin Làng Game Việt Nam
-
Công Thức Tính Lim , Tính Lim Căn Bậc 3 , Lim Căn Bậc 2 - Mobitool
-
Tìm Lim (căn Bậc 3(27n^3-7n^2)-3n) - Tram Anh - Hoc247
-
Lim(Căn Bậc 3 Của (n^3 - N) - √(n^2 - N)) - Toán Học Lớp 11 - Lazi
-
Tìm Lim Có Căn Bậc 3
-
Tìm Lim ( Căn Bậc 3 (n^3 +3n^2)-n
-
Cách Tính Giới Hạn Của Hàm Số Có Chứa Căn Thức Cực Hay, Chi Tiết
-
C) Lim ( Căn Bậc Ba (n^3 - 2n^2)
-
Giá Trị Của Giới Hạn Lim(x đến +vô Cùng) Căn Bậc Ba 3x ...
-
Toán 11: Giới Hạn, Dạng Lim Căn Bậc 3 Trừ Căn Bậc 2 - YouTube
-
Tìm Lim Có Căn Bậc 3 - Magic One