Kế Hoạch Sử Dụng đất Phú Quốc 2021 - Đất Nền
Có thể bạn quan tâm
- Trang chủ
- Giới thiệu
- Bất động sản
- Nhà Phố
- Bán nhà Bình Thạnh
- Bán nhà Phú Nhuận
- Bán nhà Gò Vấp
- Bán nhà quận 3
- Bán nhà quận 4
- Bán nhà quận 5
- Bán nhà quận 8
- Bán nhà quận 12
- Bán nhà Bình Chánh
- Bán nhà Tân Phú
- Bán nhà Bình Tân
- Bán nhà Thủ Đức
- Dự Án Đất Nền
- Dự Án Căn Hộ
- Dự án của Novaland
- Dự án của Vingroup
- Rao vặt
- Nhà Phố
- Bất động sản Phú Quốc
- Bán đất công
- Bán đất nền phú quốc
- Bán resort - khách sạn tại Phú Quốc
- Biệt thự nghỉ dưỡng
- Căn hộ nghỉ dưỡng
- Dự án bất động sản phú quốc
- Bán nhà phú quốc
- Quy hoạch phú quốc
- Du lịch phú quốc
- Combo cáp treo hòn thơm
- Tour câu cá lớn
- Tour câu cá lặn ngắm san hô
- Nhà đẹp - Phong thủy
- Xây dựng tiết kiệm
- Tin tức
- Tin tức phú quốc
- Bản Tin Pháp Luật
- Bản Tin Bất Động Sản
- Kinh nghiệm làm giàu
- Dự án của Novaland
- Bất động sản phú quốc
- Dự Án Căn Hộ Cao Cấp
- Dự Án Đất Nền Nổi Bật
- Căn Hộ Cao Cấp
- Rao vặt
- Nhà phố
- Bán nhà quận 5
- Bán nhà Bình Tân
- Bán nhà Gò Vấp
- Bán nhà quận 3
- Bán nhà quận 8
- Bán nhà Bình Chánh
- Bán nhà quận 12
- Bán nhà Thủ Đức
- Bán nhà Phú Nhuận
- Bán nhà Bình Thạnh
- Nhà Phú Mỹ Hưng
- Dự án của Vingroup
- Du lịch phú quốc
- Fishing story
- Liên hệ
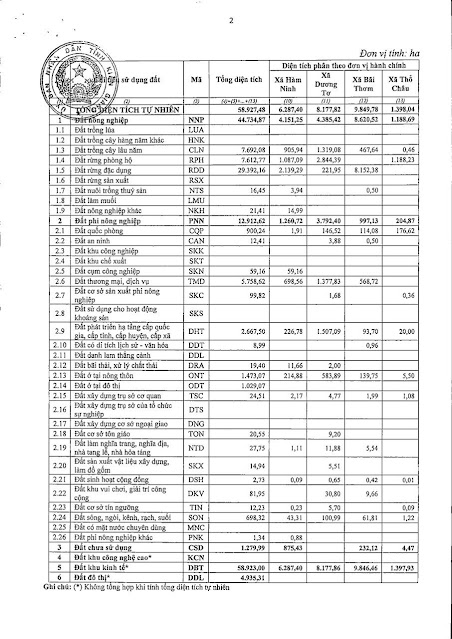
Theo đó, UBND tỉnh kiên giang đã công bố kế hoạch sử dụng đất phú quốc 2021 với một số thay đổi với các tiêu chí như sau:
1. Diện tích các loại đất phân bổ trong năm kế hoạch.
2. Kế hoạch thu hồi các loại đất.
3. Kế hoạch chuyển mục đích sử dụng đất.
4. Kế hoạch đưa đất chưa sử dụng vào sử dụng.

Cụ thể quyết định như sau:





Đế biết xem đất của chúng ta thuộc loại đất nào, khách hàng có thể liên hệ trực tiếp 0907.786.100 (Zalo)
gửi thông tin sổ hồng để MKREAL hỗ trợ kiểm tra quy hoạch thửa đất của khách hàng chi tiết nhất! Việc này hoàn toàn miễn phí, chúng tôi hỗ trợ tối đa 24/7 và thường trả lời trong vòng 1 ngày.
Link dowload file kế hoạch sử dụng đất 2021
Tìm kiếm sản phẩm Tìm toàn bộDự án của Novaland Bất động sản phú quốc --Bán đất nền phân lô --Bán đất công phú quốc --Bán condotel phú quốc --Bán căn hộ nghỉ dưỡng --Bán biệt thự nghỉ dưỡng --Bán resort khách sạn phú quốc --Dự án bất động sản phú quốc --Bán nhà phú quốc Dự Án Căn Hộ Cao Cấp Dự Án Đất Nền Nổi Bật Căn Hộ Cao Cấp Rao vặt Nhà phố --Bán nhà quận 5 --Bán nhà Bình Tân --Bán nhà Gò Vấp --Bán nhà quận 3 --Bán nhà quận 8 --Bán nhà Bình Chánh --Bán nhà quận 12 --Bán nhà Thủ Đức --Bán nhà Phú Nhuận --Bán nhà Bình Thạnh --Nhà Phú Mỹ Hưng Dự án của Vingroup Dưới 100.000.000 VND 100.000.000-500.000.000 VND 500.000.000-1.000.000.000 VND 1.000.000.000-20.000.000.000 VND 20.000.000.000-50.000.000.000 VND 50.000.000.000-100.000.000.000 VND Trên 100.000.000.000 VNDĐồng ý
Kết nối với chúng tôi Tin tức ![Tour câu cá & lặn ngắm san hô tại Phú Quốc]()
Tour câu cá & lặn ngắm san hô tại Phú Quốc
![Tour Câu Cá Lớn Ở Phú Quốc]()
Tour Câu Cá Lớn Ở Phú Quốc
![Vé Cáp Treo Hòn Thơm Phú Quốc – Trải Nghiệm Tuyến Cáp Vượt Biển Dài Nhất Thế Giới]()
Vé Cáp Treo Hòn Thơm Phú Quốc – Trải Nghiệm Tuyến Cáp Vượt Biển Dài Nhất Thế Giới
![Sun PhuQuoc Airways có thể mở bán vé vào cuối tháng 10.2025]()
Sun PhuQuoc Airways có thể mở bán vé vào cuối tháng 10.2025
![Kinh nghiệm chuẩn bị cho chuyến câu cá ở Phú Quốc]()
Kinh nghiệm chuẩn bị cho chuyến câu cá ở Phú Quốc
![Combo tour câu cá và lặn ngắm san hô ở Phú Quốc]()
Combo tour câu cá và lặn ngắm san hô ở Phú Quốc
![Review thực tế: Tour câu cá Phú Quốc có đáng thử?]()
Review thực tế: Tour câu cá Phú Quốc có đáng thử?
![Xây 5 khu tái định cư hơn 7.600 tỉ đồng phục vụ APEC 2027 ở Phú Quốc]()
Xây 5 khu tái định cư hơn 7.600 tỉ đồng phục vụ APEC 2027 ở Phú Quốc
![APEC 2027 làm bất động sản ở Phú Quốc 'hồi sinh']()
APEC 2027 làm bất động sản ở Phú Quốc 'hồi sinh'
![Để Phú Quốc xứng danh “đô thị biển đảo có sức hấp dẫn”]()
Để Phú Quốc xứng danh “đô thị biển đảo có sức hấp dẫn”

Liên hệ ngay với chuyên viên tư vấn qua Hotline0907 786 100Thông tin liên hệ chuyên viên tư vấn
Chuyên viên tư vấn là công ty chuyên về lĩnh vực bất động sản bao gồm tư vấn đầu tư, xây dựng,thiết kế nội ngoại thất,.... Với kinh nghiệm chuyên môn sâu sắc, đội ngũ nhân viên giàu kinh nghiệm, quy mô trên cả nước. Chuyên viên tư vấn định hướng phát triển bền vững và duy trì chất lượng dịch vụ tốt để luôn khẳng định là nhà chuyên viên tư vấn uy tín nhất Việt Nam. Nhận kiểm tra quy hoạch miễn phí đất tại Phú Quốc!Điện thoại: 0907 786 100Địa chỉ: 139 Đoàn Thị Điểm,Khu phố 12, Thị trấn Dương Đông, Phú Quốc, Kiên GiangEmail: [email protected]: http://chuyenvientuvan.com.vnThiết kế - Xây dựng
Ngôi nhà gió của cặp đôi 10 năm yêu xa đáng tham khảo
![Ngôi nhà gió của cặp đôi 10 năm yêu xa đáng tham khảo]()
BIệt thự một tầng trên đồi được thiết kế bền vững, ngắm trọn thung lũng xanh tươi đẹp có thể áp dụng tại phú quốc
![BIệt thự một tầng trên đồi được thiết kế bền vững, ngắm trọn thung lũng xanh tươi đẹp có thể áp dụng tại phú quốc]()
Nhà 1 tầng ở ngoại thành tuy nhỏ nhưng vẫn rộng thoáng nhờ cách sắp xếp đồ đạc khoa học
![Nhà 1 tầng ở ngoại thành tuy nhỏ nhưng vẫn rộng thoáng nhờ cách sắp xếp đồ đạc khoa học]()
Giải pháp cho thửa đất dài cần thiết kế tại phú quốc
![Giải pháp cho thửa đất dài cần thiết kế tại phú quốc]()
Nhà 36m2 trong hẻm “xóa sạch” nhược điểm nhờ quá trình cải tạo, chi phí hoàn thiện hết 450 triệu đồng
![Nhà 36m2 trong hẻm “xóa sạch” nhược điểm nhờ quá trình cải tạo, chi phí hoàn thiện hết 450 triệu đồng]()
Bản tin Pháp Luật
Xây 5 khu tái định cư hơn 7.600 tỉ đồng phục vụ APEC 2027 ở Phú Quốc
![Xây 5 khu tái định cư hơn 7.600 tỉ đồng phục vụ APEC 2027 ở Phú Quốc]()
Đất phân lô lại “nóng”
![Đất phân lô lại “nóng”]()
Thời điểm nào là đáy bất động sản?
![Thời điểm nào là đáy bất động sản?]()
Có nên thí điểm thu thuế bất động sản thứ hai tại TP HCM?
Nhiều người đồng sở hữu một mảnh đất, cấp sổ đỏ như thế nào?
![Nhiều người đồng sở hữu một mảnh đất, cấp sổ đỏ như thế nào?]()
Những trường hợp bị cấm sang tên sổ đỏ đất nông nghiệp
![Những trường hợp bị cấm sang tên sổ đỏ đất nông nghiệp]()
Miễn thị thực nhằm thu hút đầu tư vào Phú Quốc
![Miễn thị thực nhằm thu hút đầu tư vào Phú Quốc]()
Người bán nhà cần chuẩn bị giấy tờ gì trước khi đến Văn phòng công chứng?
![Người bán nhà cần chuẩn bị giấy tờ gì trước khi đến Văn phòng công chứng?]()
Hướng dẫn làm sổ hồng MKREAL
![Hướng dẫn làm sổ hồng MKREAL]()
Tin tốt đến với Kiên giang và Phú quốc
![Tin tốt đến với Kiên giang và Phú quốc]()
Copyright 2012 by Daniel Luu. All Rights Reserved. HOTLINE 0907 786 100
x Powered by chuyenvientuvan.com.vn 1Bạn cần hỗ trợ?Từ khóa » Kế Hoạch Sử Dụng đất Phú Quốc 2021
-
Phê Duyệt Kế Hoạch Sử Dụng đất Năm 2021 Thành Phố Phú Quốc ...
-
Bản đồ Kế Hoạch Sử Dụng đất Phú Quốc Năm 2021
-
Dự Thảo Kế Hoạch Sử Dụng đất Phú Quốc Năm 2022
-
Chi Tiết Kế Hoạch Sử Dụng đất Năm 2021 Của Phú Quốc
-
Thông Tin Quy Hoạch Phú Quốc Mới Nhất Hiện Nay
-
Kế Hoạch Sử Dụng đất Phú Quốc 2022 - PQR
-
Bản đồ Quy Hoạch Sử Dụng đất Thành Phố Phú Quốc Mới Nhất
-
Quy Hoạch Mới Thành Phố Phú Quốc 2021 đến 2030. | WIKILAND
-
Bản đồ Quy Hoạch Thành Phố Phú Quốc, Tỉnh Kiên Giang Mới Nhất
-
Quyết định 776/QĐ-UBND 2021 Phê Duyệt Kế Hoạch Sử Dụng đất ...
-
Kế Hoạch Sử Dụng đất Thành Phố Phú Quốc, Tỉnh Kiên Giang
-
File Bản Đồ Quy Hoạch Thành Phố Phú Quốc Tỉnh Kiên Giang 2022 ...
-
Bản đồ Quy Hoạch Sử Dụng đất Thành Phố Phú Quốc 2021 - Realestat
-
Quyết định 1165/QĐ-UBND 2022 Phê Duyệt Quy Hoạch Sử Dụng đất ...























