Khi Trộn Lẫn 200ml Dung Dịch HCl 2M Với 300ml ...
Có thể bạn quan tâm


Tìm kiếm với hình ảnh
Vui lòng chỉ chọn một câu hỏi
Tìm đáp án
Đăng nhập- |
- Đăng ký


Hoidap247.com Nhanh chóng, chính xác
Hãy đăng nhập hoặc tạo tài khoản miễn phí!
Đăng nhậpĐăng ký

Lưu vào
+
Danh mục mới
- tokimanh

- Chưa có nhóm
- Trả lời
0
- Điểm
94
- Cảm ơn
0
- Hóa Học
- Lớp 10
- 10 điểm
- tokimanh - 09:36:48 02/02/2020
- Hỏi chi tiết
Báo vi phạm
Hãy luôn nhớ cảm ơn và vote 5* nếu câu trả lời hữu ích nhé!
TRẢ LỜI


- gainhangheo2506

- Chưa có nhóm
- Trả lời
8101
- Điểm
162166
- Cảm ơn
5580
- gainhangheo2506
- 02/02/2020
Đây là một chuyên gia không còn hoạt độngĐây là câu trả lời đã được xác thực
Câu trả lời được xác thực chứa thông tin chính xác và đáng tin cậy, được xác nhận hoặc trả lời bởi các chuyên gia, giáo viên hàng đầu của chúng tôi.
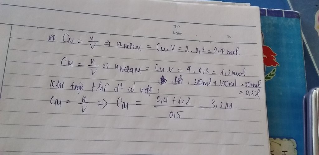
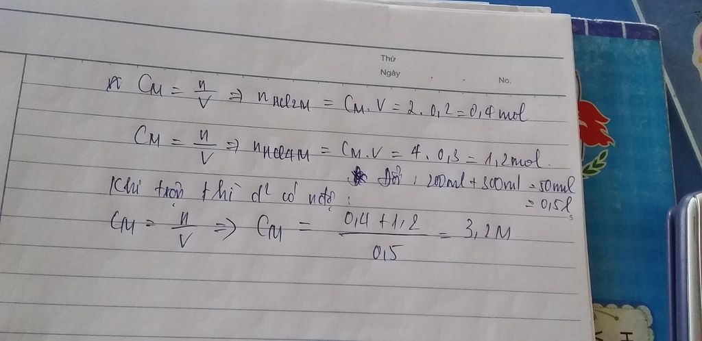
$n_{HCl}=0,2.2+0,3.4=1,6 $ (mol)
$V_{HCl}=0,2+0,3=0,5 $ (l)
$CM_{HCl}= $ $\frac{1,6}{0,5}=3,2 $ (M)
Vậy dung dịch thu đươc có nồng độ là $3,2$M
Hãy giúp mọi người biết câu trả lời này thế nào?
starstarstarstarstarstarstarstarstarstarstarstarstarstarstarstarstarstarstarstarstarstarstarstarstarstarstarstarstarstar5starstarstarstarstar2 voteGửiHủy
Cảm ơn 3
- maimit

- Chưa có nhóm
- Trả lời
18
- Điểm
127
- Cảm ơn
11
- maimit
- 02/02/2020

Đáp án:3, 2M
Giải thích các bước giải:

Hãy giúp mọi người biết câu trả lời này thế nào?
starstarstarstarstarstarstarstarstarstarstarstarstarstarstarstarstarstarstarstarstarstarstarstarstarstarstarstarstarstar5starstarstarstarstar2 voteGửiHủy
Cảm ơn 1
Báo vi phạm
Bạn muốn hỏi điều gì?
PH/HS Tham Gia Nhóm Lớp 10 Để Trao Đổi Tài Liệu, Học Tập Miễn Phí!

Bảng tin
Bạn muốn hỏi điều gì?
Lý do báo cáo vi phạm?
Gửi yêu cầu Hủy

Cơ quan chủ quản: Công ty Cổ phần Công nghệ Giáo dục Thành Phát
Tải ứng dụng


- Hướng dẫn sử dụng
- Điều khoản sử dụng
- Nội quy hoidap247
- Góp ý
Inbox: m.me/hoidap247online
Trụ sở: Tầng 7, Tòa Intracom, số 82 Dịch Vọng Hậu, Cầu Giấy, Hà Nội.
Từ khóa » Trộn Lẫn 200ml Dd Hcl 2m Với 300ml Dd Hcl 4m
-
Khi Trộn 200ml Dung Dịch HCl 1M Với 300ml Dung Dịch HCl 4M Thì ...
-
Trộn Lẫn 200ml Dd HCl 2M Với 300ml Dd HCl 4M. Nồng độ Mol/lit ...
-
Khi Trộn Lẫn 300 Ml Dung Dịch HCl 2M Với 400ml Dung Dịch ... - Hoc24
-
Nồng độ Mol Của Chất Trong Dung Dịch Thu được Khi Trộn 200ml Dung ...
-
Nồng độ Mol/l Của Dụng Dịch Hình Thành Khi Người Ta Trộn 200ml ...
-
Khi Trộn 200ml Dung Dịch HCl 2M Với 300ml Dung Dịch HCl 4M Thu ...
-
Trộn 200 Ml Dung Dịch HCl 2M Với 300 Ml Dung Dịch HCl 4M, Dung ...
-
Trộn Lẫn 200ml Dd HCl 2M Với 300ml Dd HCl 4M. Nồng độ ... - F-Moon
-
Tính Nồng độ Mol/lit Của Các Dung Dịch Thu được A) Trộn Lẫn 200ml ...
-
Tính Nồng độ Mol/lit Của Các Dung Dịch Thu được A) Trộn Lẫn ...
-
Có 2 Dung Dịch: HCl 4M (dung Dịch A) Và Dung Dịch HCl 0,5M (dung
-
Trộn 200 Ml Dd NaOH 0,1M Với 300 Ml Dd HCl 0,2 M Thu được Dung ...
-
Top 29 Trộn Lẫn 100 Ml Dung Dịch Koh 0 09m Với 200 Ml ... - Thả Rông