Kinh Nghiệm Sử Dụng Phương Pháp Bảo Toàn Electron để Giải Bài ...
Có thể bạn quan tâm
Dưới đây là chia sẻ của các thầy cô tổ Hóa học Trường THPT Thành phố Sóc Trăng (Sóc Trăng) về phương pháp sử dụng định luật bảo toàn electron để giải bài toán kim loại tác dụng với axit HNO3, H2SO4 đặc nóng:
Trước hết cần nhấn mạnh, đây không phải là phương pháp cân bằng phản ứng oxi hóa-khử, mặc dù phương pháp thăng bằng electron dùng để cân bằng phản ứng oxi hóa khử cũng dựa trên sự bảo toàn electron.
Lưu ý khi vận dụng định luật bảo toàn electron
Khi có nhiều chất oxi hóa, chất khử trong một hỗn hợp phản ứng (nhiều phản ứng hoặc phản ứng qua nhiều giai đoạn) thì tổng số electron của các chất khử cho phải bằng tổng số electron mà các chất oxi hóa nhận. Tức là, tổng số mol electron nhường bằng tổng số mol electron nhận.
Khi vận dụng định luật bảo toàn electron, cần lưu ý:
Trong phản ứng hoặc một hệ phản ứng chỉ cần nhận định đúng trạng thái đầu và trạng thái cuối của các chất oxi hóa hoặc chất khử mà không cần quan tâm đến trạng thái trung gian, thậm chí không cần quan tâm đến việc cân bằng các phương trình phản ứng. Phương pháp này đặc biệt lý thú đối với các bài toán cần phải biện luận nhiều trường hợp có thể xảy ra.
Nếu có nhiều chất oxi hóa và chất khử thì số mol electron trao đổi là tổng số mol của tất cả chất nhường hoặc nhận electron
Các dạng bài tập có thể vận dụng định luật bảo toàn electron
Đối với phương pháp này chúng ta có thể vận dụng để giải những dạng bài tập sau:
Kim loại (hoặc hỗn hợp kim loại) tác dụng với axit (hoặc hỗn hợp axit) không có tính oxi hoá (HCl, H2SO4 loãng …);
Kim loại (hoặc hỗn hợp kim loại) tác dụng với axit (hoặc hỗn hợp axit) có tính oxi hoá (HNO3, H2SO4 đặc, nóng …) tạo một khí hoặc hỗn hợp khí;
Oxit kim loại (hoặc hỗn hợp oxit kim loại) tác dụng với axit (hoặc hỗn hợp axit) có tính oxi hoá (HNO3, H2SO4 đặc, nóng …);
Các bài toán liên quan tới sắt (điển hình là bài toán để sắt ngoài không khí);
Bài toán nhúng kim loại vào dung dịch muối...
Nói chung bất kì bài toán nào liên quan tới sự thay đổi số oxi hoá đều có thể giải được bằng phương pháp này.
Vận dụng định luật bảo toàn electron với dạng toán kim loại tác dụng với HNO3, H2SO4 đặc, nóng
Dạng 1: Bài toán cho một kim loại (hoặc hỗn hợp các kim loại) tác dụng với dung dịch axit HNO3 loãng, dung dịch axit HNO3 đặc, nóng cho ra hỗn hợp khí hợp chất của nitơ như NO2, NO, N2O, N2, hoặc NH3 (tồn tại dạng muối NH4NO3 trong dung dịch).
Khi gặp bài tập dạng này cần lưu ý:
![]() |
Ví dụ 1: Hoà tan hoàn toàn m gam Al vào dung dịch HNO3 rất loãng thì thu được hỗn hợp gồm 0,015 mol khí N2O và 0,01mol khí NO (phản ứng không tạo NH4NO3).
Giá trị của m là: A. 13,5 gam. B. 1,35 gam. C. 0,81 gam. D. 8,1 gam.
Giải:
![]() |
Ví dụ 2: Hoàn tan hoàn toàn 12g hỗn hợp Fe, Cu (tỉ lệ mol 1:1) bằng HNO3 thu được V lít hỗn hợp khí X (đktc) gồm NO, NO2. Tỉ khối của X so với H2 là 19.
Giá trị V là: A. 5,6. B. 2,8. C. 11,2. D. 8,4.
Giải:
![]() |
![]() |
Dạng 2: Cho một kim loại (hoặc hỗn hợp các kim loại) tác dụng với dung dịch axit H2SO4 đặc nóng cho sản phẩm là khí SO2 (khí mùi sốc), S (kết tủa màu vàng), hoặc khí H2S (khí mùi trứng thối).
Khi gặp bài tập dạng này cần lưu ý:
Kim loại có nhiều số oxi hóa khác nhau khi phản ứng với dung dịch axit H2SO4 đặc nóng sẽ đạt số oxi hóa cao nhất.
Hầu hết các kim loại phản ứng được với H2SO4 đặc nóng (trừ Pt, Au) khi đó S+6 trong H2SO4 đặc nóng bị khử về các mức oxi hóa thấp hơn trong những sản phẩm như là khí SO2, H2S hoặc S.
Mốt số kim loại như Al, Fe, Cr, …thụ động trong H2SO4 đặc nguội.
Sản phẩm gồm:
![]() |
Tính khối lượng muối sunfat thu được khi hoà tan hết hỗn hợp các kim loại bằng H2SO4 đặc, nóng giải phóng khí SO2, S, H2S thì
![]() |
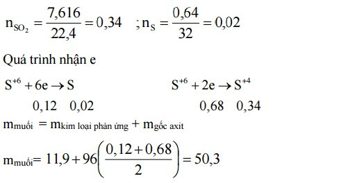
Ví dụ 1: Hòa tan hoàn toàn 11,9 g hỗn hợp gồm Al và Zn bằng H2SO4 đặc nóng thu được 7,616 lít SO2 (đktc), 0,64 g S và dung dịch X.
Khối lượng muối trong dung dịch X là: A. 50,3 g. B. 30,5 g. C. 35,0 g. D. 30,05 g.
Giải:
![]() |
Ví dụ 2: Khi cho 9,6 gam Mg tác dụng hết với dung dịch H2SO4 đậm đặc thấy có 49 gam H2SO4 tham gia phản ứng tạo muối MgSO4, H2O và sản phẩm khử X.
X là: A. SO2. B. S. C. H2S. D. SO2, H2S.
Giải:
![]() |
Dạng 3: Cho một kim loại (hoặc hỗn hợp các kim loại) tác dụng với một dung dịch hỗn hợp các axit như dung dịch hỗn hợp axit HNO3 loãng, axit HNO3 đặc nóng, dung dịch axit H2SO4 đặc nóng, ...cho ra hỗn hợp các khí ... Các lưu ý và cách giải giống với dạng 2 và dạng 3.
Ví dụ 1: Hòa tan 15 gam hỗn hợp X gồm hai kim loại Mg và Al vào dung dịch Y gồm HNO3 và H2SO4 đặc thu được 0,1 mol mỗi khí SO2, NO, NO2, N2O.
Phần trăm khối lượng của Al và Mg trong X lần lượt là: A. 63% và 37%. B. 36% và 64%. C. 50% và 50%. D. 46% và 54%.
Giải:
![]() |
![]() |
Ví dụ 2: Hòa tan hoàn toàn 14,8g hỗn hợp kim loại Fe và Cu vào lượng dư dung dịch hỗn hợp HNO3 và H2SO4 đậm đặc, nóng. Sau phản ứng thu được 10,08 lít khí NO2 và 2,24 lít SO2 (đktc).
Khối lượng Fe trong hỗn hợp là: A. 5,6 gam. B. 8,4 gam. C. 18 gam. D. 18,2 gam.
Giải:
![]() |
Qua thực tiễn vận dụng phương pháp trên, các thầy cô tổ Hóa học Trường THPT Thành phố Sóc Trăng nhận thấy, với một số dạng bài tập nếu học sinh chỉ áp dụng theo phương pháp thông thường thì mất rất nhiều thời gian làm bài, trình bày dài dòng và khó hiểu. Hơn nữa, để giải nhanh bài tập nhất là bài tập trắc nghiệm định lượng cần đòi hỏi phải tiết kiệm thời gian.
Do đó, giải nhanh bài tập hóa học có ý nghĩa rất quan trọng. Thứ nhất, học sinh tìm ra phương pháp giải nhanh rất hiệu quả đặc biệt trong dạng bài tập trắc nghiệm khách quan. Thứ hai, đòi hỏi học sinh không những nắm rõ bản chất, kĩ năng tính toán mà còn tìm hướng giải quyết nhanh, ngắn gọn, tiết kiệm thời gian. Thứ ba, trong thời gian ngắn nhất đưa ra kết quả chính xác nhất và đó chính là mục tiêu chung của giáo viên học sinh sẽ tận dụng tốt thời gian kiểm tra, thi cử. Thứ tư, học sinh có cách kiểm tra nhanh kết quả rèn luyện tư duy cho học sinh đích đến, điểm đến.
Phần quan trọng nhất trong quá trình áp dụng phương pháp sử dụng định luật bảo toàn electron để giải bài toán kim loại tác dụng với axit HNO3, H2SO4 đặc nóng chính là giúp học sinh định hướng được dạng bài tập, tìm ra bản chất của vấn đề để rút ngắn thời gian giải bài tập.
Từ khóa » định Luật E
-
Định Luật Bảo Toàn Electron Là Gì? - LaGi.Wiki
-
Phương Pháp Bảo Toàn E Là Gì? Định Luật Bảo Toàn Electron
-
Phương Pháp Bảo Toàn Electron Hay, Chi Tiết | Hóa Học Lớp 10
-
Phương Pháp Giải Một Số Bài Toán áp Dụng định Luật Bảo Toàn Electron
-
Phương Pháp Bảo Toàn Electron - Hóa 10 - Thầy Đặng Xuân Chất
-
Áp Dụng định Luật Bảo Toàn Electron Giải Bài Tập Hóa Học Vô Cơ
-
[PDF] Phương Pháp 5: Bảo Toàn Electron
-
Bảo Toàn Năng Lượng – Wikipedia Tiếng Việt
-
Chuyên đề Bài Toán áp Dụng định Luật Bảo Toàn Electron
-
Khái Quát Chung Về Phương Pháp Bảo Toàn Electron
-
Bài Tập Hóa Học định Luật Bảo Toàn Electron
-
Bài Tập định Luật Bảo Toàn Electron - Tài Liệu ôn Tập Môn Hóa Học Lớp ...










