Lập Bảng Biến Thiên Và Vẽ đồ Thị Hàm Số: Y = X2+2x -3 ... - DocumenTV
Có thể bạn quan tâm
Register Now
Username*
E-Mail*
Password*
Confirm Password*
Captcha* Giải phương trình 1 ẩn: x + 2 - 2(x + 1) = -x . Hỏi x = ? ( )
Terms* By registering, you agree to the Terms of Service and Privacy Policy.
Login
Forget
Captcha* Giải phương trình 1 ẩn: x + 2 - 2(x + 1) = -x . Hỏi x = ? ( )
Remember MeLost Password
Lost your password? Please enter your email address. You will receive a link and will create a new password via email.
E-Mail*
Captcha* Giải phương trình 1 ẩn: x + 2 - 2(x + 1) = -x . Hỏi x = ? ( )
xLogin
Forget
Captcha* Giải phương trình 1 ẩn: x + 2 - 2(x + 1) = -x . Hỏi x = ? ( )
Remember MeRegister Now
Lorem ipsum dolor sit amet, consectetur adipiscing elit.Morbi adipiscing gravdio, sit amet suscipit risus ultrices eu.Fusce viverra neque at purus laoreet consequa.Vivamus vulputate posuere nisl quis consequat.
Create an account x You can use WP menu builder to build menus Ask a Question Lập bảng biến thiên và vẽ đồ thị hàm số: y = x2+2x -3. giải giùm em vs ạ Home/ Môn Học/Tổng hợp/Lập bảng biến thiên và vẽ đồ thị hàm số: y = x2+2x -3. giải giùm em vs ạLập bảng biến thiên và vẽ đồ thị hàm số: y = x2+2x -3. giải giùm em vs ạ
QuestionLập bảng biến thiên và vẽ đồ thị hàm số: y = x2+2x -3. giải giùm em vs ạ
in progress 0 Tổng hợp Trung Dũng 5 years 2020-11-03T03:22:41+00:00 2020-11-03T03:22:41+00:00 3 Answers 1640 views 0- Tumblr
Answers ( )
-
lethu 0 2020-11-03T03:24:34+00:00 November 3, 2020 at 3:24 am Reply Đáp án:
Giải thích các bước giải:

-
huyenthanh 2 2020-11-03T03:24:34+00:00 November 3, 2020 at 3:24 am Reply Đáp án:
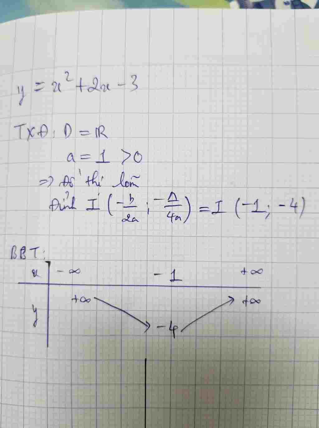
Đáp án ở ảnh nha
Giải thích các bước giải:

-
dangkhoa 0 2020-11-03T03:24:50+00:00 November 3, 2020 at 3:24 am Reply Để tìm câu trả lời chính xác các em hãy tham khảo lập bảng biến thiên các nguồn hoc24.vn, lazi.vn, hoidap247.com để thầy cô và các chuyên gia hỗ trợ các em nhé!
Leave an answer
Name*
E-Mail*
Website
Featured image Select file BrowseCaptcha* Giải phương trình 1 ẩn: x + 2 - 2(x + 1) = -x . Hỏi x = ? ( )
Answer*
Click here to cancel reply. Trung DũngAbout Trung Dũng
Ask questionTừ khóa » Khảo Sát Sự Biến Thiên Và Vẽ đồ Thị Hàm Số Y=x^2-2x-3
-
[LỜI GIẢI] Khảo Sát Sự Biến Thiên Và Vẽ đồ Thị Hàm Số Y = X^2 - 2x - 3.
-
Khảo Sát Sự Biến Thiên Và Vẽ đồ Thị Hàm Số \(y = {x^2} - 2x
-
Lập Bảng Biến Thiên Và Vẽ đồ Thị Hàm Số: Y =x^2 + 2x + 3 - Lazi
-
Khảo Sát Sự Biến Thiên Và Vẽ đồ Thị Hàm Số (y = {x^2}
-
Khảo Sát Sự Biến Thiên Và Vẽ đồ Thị Hàm Số (y = {x^2} - 2x - 3). - Monica
-
Khảo Sát Sự Biến Thiên Và Vẽ đồ Thị Hàm Số \(y = {x^2} - 2x - 3\).
-
Vẽ Đồ Thị Y=x^2-2x-3 | Mathway
-
Cho Hàm Số Y= X2 -2x -3 Khảo Sát Sự Biến Thiên Và Vẽ đồ Thị Hàm Số
-
Lập Bảng Biến Thiên Và Vẽ đồ Thị Hàm Số: Y = X2+ ...
-
Khảo Sát Sự Biến Thiên Và Vẽ Đồ Thị Hàm Số: Lý Thuyết, Bài Tập
-
Bài 5. Khảo Sát Sự Biến Thiên Và Vẽ đồ Thị Của Hàm Số - Giải Bài Tập
-
Khảo Sát Sự Biến Thiên Và Vẽ đồ Thị Của Hàm Số 12 Chi Tiết