[LỜI GIẢI] Cho Biết A Quy định Hoa đỏ Trội Hoàn Toàn So ... - Tự Học 365
Có thể bạn quan tâm
DÀNH CHO MỌI LỚP 6 ĐẾN 12
TRUY CẬP NGAY XEM CHI TIẾT
Câu hỏi
Nhận biếtCho biết A quy định hoa đỏ trội hoàn toàn so với a quy định hoa trắng. Một quần thể đang cân bằng di truyền có tần số A = 0,4 và tần số a = 0,6. Lấy ngẫu nhiên 5 cây hoa đỏ, xác suất để thu được 3 cá thể thuần chủng là bao nhiêu?
A.
B.
C.
D.
Đáp án đúng: B
Lời giải của Tự Học 365
Giải chi tiết:
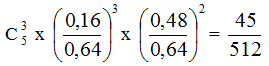
AA = 0,42 = 0,16; Aa = 2 x 0,4 x 0,6 = 0,48 => Tỷ lệ hoa đỏ A- = 0,16 + 0,48 = 0,64
=> Xác suất 3 cây AA trong 5 cây A- là:

Chọn B.
Ý kiến của bạn Hủy
Luyện tập
Câu hỏi liên quan
-
Tìm câu sai
Chi tiết -
Cơ quan tương đồng là bằng chứng chứng tỏ
Chi tiết -
Nhóm cá thể nào dưới đây là một quần thể
Chi tiết -
Măt chủ yếu của chọn lọc tự nhiên là gì ?
Chi tiết -
Đối với tiến hoá, thường biến có ý nghĩa:
Chi tiết -
Nhóm cá thể nào dưới đây là một quần thể?
Chi tiết -
Kết quả cuối cùng của tiến hóa hóa học là
Chi tiết -
Ưu thế nổi bật của kĩ thuật di truyền là
Chi tiết -
Coaxeva là :
Chi tiết -
Intrôn là gì?
Chi tiết
Đăng ký
Năm sinh 20012002200320042005200620072008200920102011201220132014201520162017201820192020 hoặc Đăng nhập nhanh bằng:
(*) Khi bấm vào đăng ký tài khoản, bạn chắc chắn đã đoc và đồng ý với Chính sách bảo mật và Điều khoản dịch vụ của Tự Học 365. Từ khóa » Cho Biết A Quy định Hoa đỏ Trội Hoàn Toàn
-
Cho Biết A Quy định Hoa đỏ Trội Hoàn Toàn So Với A Quy ...
-
Cho Biết A Quy định Hoa đỏ Trội Hoàn Toàn So Với A Quy ...
-
Cho Biết A Quy định Hoa đỏ Trội Hoàn Toàn So Với A Quy ...
-
Cho Biết A Quy định Hoa đỏ Trội Hoàn Toàn So Với A Quy ... - Khóa Học
-
Câu Hỏi Cho Biết A Quy định Hoa đỏ Trội Hoàn Toàn So Với A Quy định ...
-
Cho Biết A Quy định Hoa đỏ Trội Hoàn Toàn So Với A Quy định Hoa...
-
Cho Biết A Quy định Hoa đỏ Trội Hoàn Toàn So Với A Quy định Hoa...
-
Cho Biết A Quy định Hoa đỏ Trội Hoàn Toàn So Với A Quy ... - Hoc247
-
Top 15 Cho Biết A Quy định Hoa đỏ Trội Hoàn Toàn So ... - MarvelVietnam
-
Cho Biết Gen A Quy định Hoa đỏ Trội Hoàn Toàn So Với Gen A Quy đị
-
Cho Biết A Quy định Hoa đỏ Trội Hoàn Toàn So Với A Quy định ... - Hoc24
-
Cho Biết A Quy định Hoa đỏ Trội Không Hoàn Toàn So Với A Quy định ...
-
Cho Biết A Quy định Thân Cao Trội Hoàn Toàn So Với A Quy ...
-
Cho Biết A Quy định Hoa đỏ Trội Hoàn Toàn So Với A Quy ... - MTrend