Lớp 12
Có thể bạn quan tâm


Tìm kiếm với hình ảnh
Vui lòng chỉ chọn một câu hỏi
Tìm đáp án
Đăng nhập- |
- Đăng ký


Hoidap247.com Nhanh chóng, chính xác
Hãy đăng nhập hoặc tạo tài khoản miễn phí!
Đăng nhậpĐăng ký

Lưu vào
+
Danh mục mới
- nhanhaunguyen

- Chưa có nhóm
- Trả lời
0
- Điểm
47
- Cảm ơn
0
- Toán Học
- Lớp 11
- 10 điểm
- nhanhaunguyen - 19:13:25 27/12/2019

- Hỏi chi tiết
Báo vi phạm
Hãy luôn nhớ cảm ơn và vote 5* nếu câu trả lời hữu ích nhé!
TRẢ LỜI
nhanhaunguyen rất mong câu trả lời từ bạn. Viết trả lờiTRẢ LỜI


- huyentrang99

- Chưa có nhóm
- Trả lời
1269
- Điểm
8235
- Cảm ơn
886
- huyentrang99
- Câu trả lời hay nhất!

- 27/12/2019
Đây là một chuyên gia không còn hoạt độngĐây là câu trả lời đã được xác thực
Câu trả lời được xác thực chứa thông tin chính xác và đáng tin cậy, được xác nhận hoặc trả lời bởi các chuyên gia, giáo viên hàng đầu của chúng tôi.
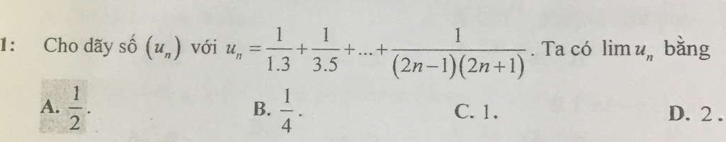
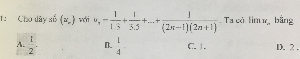
Đáp án:
A. $\dfrac12$
Giải thích các bước giải:
\(\begin{array}{l}{u_n} = \dfrac{1}{{1.3}} + \dfrac{1}{{3.5}} + ... + \dfrac{1}{{(2n - 1)(2n + 1)}}\\ = \dfrac{1}{2}.\left[ {\dfrac{2}{{1.3}} + \dfrac{2}{{3.5}} + ... + \dfrac{2}{{(2n - 1)(2n + 1)}}} \right]\\ = \dfrac{1}{2}.\left( {1 - \dfrac{1}{3} + \dfrac{1}{3} - \dfrac{1}{5} + ... + \dfrac{1}{{2n - 1}} - \dfrac{1}{{2n + 1}}} \right)\\ = \dfrac{1}{2}\left( {1 - \dfrac{1}{{2n + 1}}} \right)\\ = \dfrac{1}{2}.\dfrac{{2n + 1 - 1}}{{2n + 1}} = \dfrac{n}{{2n + 1}}\\\mathop {\lim }\limits_{n \to + \infty } {u_n} = \mathop {\lim }\limits_{n \to + \infty } \dfrac{n}{{2n + 1}} = \mathop {\lim }\limits_{n \to + \infty } \dfrac{{\frac{n}{n}}}{{\frac{{2n}}{n} + \frac{1}{n}}} = \dfrac{1}{2}\end{array}\)
Hãy giúp mọi người biết câu trả lời này thế nào?
starstarstarstarstarstarstarstarstarstarstarstarstarstarstarstarstarstarstarstarstarstarstarstarstarstarstarstarstarstar5starstarstarstarstar1 voteGửiHủy
Cảm ơn 1


- vnhung3103

- Chưa có nhóm
- Trả lời
0
- Điểm
60
- Cảm ơn
0
C ơi t hỏi từ b1 sang bước 2 làm thế nào??? phần trong ngoặc ý ạ
- vnhung3103
- maimai249

- Chưa có nhóm
- Trả lời
0
- Điểm
50
- Cảm ơn
0
Tách ra á bạn :1/2 × 2/1.3 =1/1.3 etc.
- maimai249
- yenyen1434

- Chưa có nhóm
- Trả lời
0
- Điểm
50
- Cảm ơn
0
Chị ơi cho em hỏi ở b3 tại sao lại trừ cho 1 ạ
- yenyen1434
Bạn muốn hỏi điều gì?
Group 2K9 Ôn Thi ĐGNL & ĐGTD Miễn Phí

Bảng tin
Bạn muốn hỏi điều gì?
Lý do báo cáo vi phạm?
Gửi yêu cầu Hủy

Cơ quan chủ quản: Công ty Cổ phần Công nghệ Giáo dục Thành Phát
Tải ứng dụng


- Hướng dẫn sử dụng
- Điều khoản sử dụng
- Nội quy hoidap247
- Góp ý
Inbox: m.me/hoidap247online
Trụ sở: Tầng 7, Tòa Intracom, số 82 Dịch Vọng Hậu, Cầu Giấy, Hà Nội.
Từ khóa » Cho Dãy Số Un Với Un=1/1*3+1/3*5
-
Cho Dãy Số (un) Với Un = 1/1.3 + 1/3.5 + ... + 1/(2n-1)(2n+ ... - Khóa Học
-
Cho Dãy Số (un) - U N - Với Un=11.3+13.5+...+1(2n−1)(2n+1)
-
Cho Dãy Số ( Un ) Với Un=11.3+13.5+...+1( 2n-1 )( 2n+1 ). Tính Lim Un
-
Cho Dãy Số ((u_n)) Với (u_n) = (1)((1.3)) + (1)((3.5)) + ... + (1
-
Tất Cả
-
Cho Dãy Số (un) Với Un = 1/1.3 + 1/3.5 + ... + 1/(2n-1 ... - Vietjack.online
-
Cho Dãy Số (un) Với Un = 1/1.3 + 1/3.5...
-
Cho Dãy Số (un), Biết U1 = - 1, Un+ 1 = Un + 3 Với N ≥ 1 - Haylamdo
-
Tìm Giới Hạn Của Dãy Số: Lim (1/1.3 + 1/3.5 + ... + 1/(2n
-
Xét Tính Bị Chặn Của Các Dãy Số Sau \(u_{n}=\frac{1}{1.3}+\frac{1}{3.5 ...
-
3;5;7;... Số Hạng Tổng Quát Của Dãy Số Là - Selfomy Hỏi Đáp
-
1, 1, 2,3,5,8Trong Dãy Số Trên, Mỗi Số ( Kể Từ Số Thứ Ba ) Bằng Tổng ...