Lực Tương Tác Giữa Hai điện Tích điểm - Vật Lý Lớp 11
Có thể bạn quan tâm
Nâng cấp gói Pro để trải nghiệm website VnDoc.com KHÔNG quảng cáo, và tải file cực nhanh không chờ đợi.
Tìm hiểu thêm » Mua ngay Từ 79.000đ Hỗ trợ ZaloChuyên đề Vật lý lớp 11: Lực tương tác giữa hai điện tích điểm được VnDoc sưu tầm và giới thiệu tới các bạn học sinh cùng quý thầy cô tham khảo. Nội dung tài liệu sẽ giúp các bạn học sinh học tốt môn Vật lý lớp 11 hiệu quả hơn. Mời các bạn tham khảo chi tiết và tải về bài viết dưới đây nhé.
Chuyên đề: Lực tương tác giữa hai điện tích điểm
- A. Phương pháp & Ví dụ bài lực tương tác giữa hai điện tích điểm
- B. Bài tập lực tương tác giữa hai điện tích điểm
A. Phương pháp & Ví dụ bài lực tương tác giữa hai điện tích điểm
Lực tương tác giữa 2 điện tích điểm là lực Culông: F = 9.109
(trong điện môi lực giảm đi ε lần so với trong chân không).
- Hai điện tích có độ lớn bằng nhau thì: |q1| = |q2|
Hai điện tích có độ lớn bằng nhau nhưng trái dấu thì: q1 = -q2
Hai điện tích bằng nhau thì: q1 = q2
Hai điện tích cùng dấu: q1q2 > 0 → |q1q2| = q1q2.
Hai điện tích trái dấu: q1q2 > 0 → |q1q2| = -q1q2.
- Áp dụng hệ thức của định luật Coulomb để tìm ra |q1.q2| sau đó tùy điều kiện bài toán chúng ra sẽ tìm được q1 và q2.
- Nếu đề bài chỉ yêu cầu tìm độ lớn thì chỉ cần tìm |q1|;|q2|
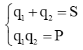
► Bài toán cho tích độ lớn 2 đt và tổng độ lớn 2 đt thì AD hệ thức Vi-ét:
thì q12 – Sq1 + P = 0.
► Các công thức trên được áp dụng trong các trường hợp:
+ Các điện tích là điện tích điểm.
+ Các quả cầu đồng chất, tích điện đều, khi đó ta coi r là khoảng cách giữa hai tâm của quả cầu.
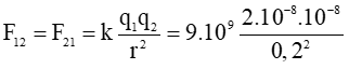
Ví dụ 1: Ví dụ 1: Hai điện tích điểm q1 = 2.10-8 C, q2 = -10-8 C. Đặt cách nhau 20 cm trong không khí. Xác định lực tương tác giữa chúng?
Hướng dẫn:

Lực tương tác giữa hai điện tích điểm q1 và q2 là F→12 và F→21 có:
+ Phương là đường thẳng nối hai điện tích điểm.
+ Chiều là lực hút
+ Độ lớn
= 4,5.10-5 N.
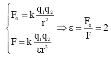
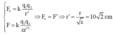
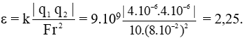
Ví dụ 2: Hai điện tích đặt cách nhau một khoảng r trong không khí thì lực tương tác giữa chúng là 2.10-3 N. Nếu khoảng cách đó mà đặt trong môi trường điện môi thì lực tương tác giữa chúng là 10-3 N.
a. Xác định hằng số điện môi.
b. Để lực tương tác giữa hai điện tích đó khi đặt trong điện môi bằng lực tương tác giữa hai điện tích khi đặt trong không khí thì khoảng cách giữa hai điện tích là bao nhiêu? Biết khoảng cách giữa hai điện tích này trong không khí là 20 cm.
Hướng dẫn:

a. Ta có biểu thức lực tương tác giữa hai điện tích trong không khí và trong điện môi được xác định bởi

b. Để lực tương tác giữa hai điện tích khi đặt trong điện môi bằng lực tương tác giữa hai điện tích khi ta đặt trong không khí thì khoảng cách giữa hai điện tích bây giờ là r'

Ví dụ 3: Trong nguyên tử Hidro, electron chuyển động tròn đều quanh hạt nhân theo quỹ đạo tròn có bán kính 5.10-9 cm.
a. Xác định lực hút tĩnh điện giữa electron và hạt nhân.
b. Xác định tần số chuyển động của electron. Biết khối lượng của electron là 9,1.10-31 kg.
Hướng dẫn:

a. Lực hút tĩnh điện giữa electron và hạt nhân:

b. Tần số chuyển động của electron:
Electron chuyển động tròn quanh hạt nhân, nên lực tĩnh điện đóng vai trò là lực hướng tâm
= 4,5.1016 rad/s
Vật f = 0,72.1026 Hz
Ví dụ 4: Hai điện tích q1 và q2 đặt cách nhau 20 cm trong không khí, chúng đẩy nhau một lực F = 1,8 N. Biết q1 + q2 = -6.10-6 C và |q1| > |q2|. Xác định dấu của điện tích q1 và q2. Vẽ các vecto lực điện tác dụng lên các điện tích. Tính q1 và q2.
Hướng dẫn:

Hai điện tích đẩy nhau nên chúng cùng dấu, mặt khác tổng hai điện tích này là số âm do đó có hai điện tích đều âm:

+ Kết hợp với giả thuyết q1 + q2 = -6.10-6 C, ta có hệ phương trình
vì |q1| > |q2| ⇒ 
Ví dụ 5: Hai điện tích điểm có độ lớn bằng nhau được đặt trong không khí cách nhau 12 cm. Lực tương tác giữa hai điện tích đó bằng 10 N. Đặt hai điện tích đó trong dầu và đưa chúng lại cách nhau 8 cm thì lực tương tác giữa chúng vẫn là 10 N. Tính độ lớn của các điện tích và hằng số điện môi của dầu.
Hướng dẫn:

+ Lực tương tác giữa hai điện tích khi đặt trong không khí

+ Khi đặt trong điện môi mà lực tương tác vẫn không đổi nên ta có: 
B. Bài tập lực tương tác giữa hai điện tích điểm
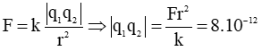
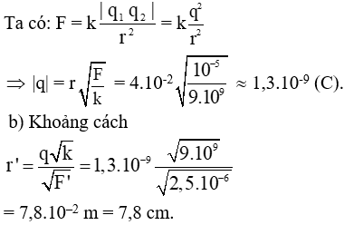
Bài 1: Hai điện tích điểm bằng nhau đặt trong chân không, cách nhau một đoạn r = 4 cm. Lực đẩy tĩnh điện giữa chúng là F = 10-5 N.
a) Tìm độ lớn mỗi điện tích.
b) Tìm khoảng cách r’ giữa chúng để lực đẩy tĩnh điện là F’ = 2,5.10-6 N.
Đáp ána) Độ lớn mỗi điện tích:

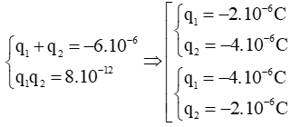
Bài 2: Hai điện tích q1 và q2 đặt cách nhau 20 cm trong không khí, chúng đẩy nhau với một lực F = 1,8 N. Biết q1 + q2 = - 6.10-6 C và |q1| > |q2|. Xác định loại điện tích của q1 và q2. Vẽ các véc tơ lực tác dụng của điện tích này lên điện tích kia. Tính q1 và q2.
Đáp ánHai điện tích đẩy nhau nên chúng cùng dấu; vì q1 + q2 < 0 nên chúng đều là điện tích âm.
Véc tơ lực tương tác điện giữa hai điện tích:

q1 và q2 cùng dấu nên |q1q2| = q1q2 = 8.10-12 (1) và q1 + q2 = - 6.10-6 (2).
Từ (1) và (2) ta thấy q1 và q2 là nghiệm của phương trình: x2 + 6.10-6x + 8.10-12 = 0

Vì |q1| > |q2| ⇒ q1 = - 4.10-6 C; q2 = - 2.10-6 C.
Bài 3: Hai điện tích q1 và q2 đặt cách nhau 30 cm trong không khí, chúng hút nhau với một lực F = 1,2 N. Biết q1 + q2 = - 4.10-6 C và |q1| < |q2|. Xác định loại điện tích của q1 và q2. Tính q1 và q2.
Đáp ánHai điện tích hút nhau nên chúng trái dấu nhau; vì q1+q2 < 0 và |q1| < |q2| nên q1 > 0; q2 < 0.

q1 và q2 trái dấu nên |q1q2| = - q1q2 = 12.10-12 (1); theo bài ra thì q1 + q2 = - 4.10-6 (2).
Từ (1) và (2) ta thấy q1 và q2 là nghiệm của phương trình: x2 + 4.10-6x - 12.10-12 = 0

Vì |q1| < |q2| ⇒ q1 = 2.10-6 C; q2 = - 6.10-6 C.
Bài 4: Hai điện tích q1 và q2 đặt cách nhau 15 cm trong không khí, chúng hút nhau với một lực F = 4,8 N. Biết q1 + q2 = 3.10-6 C; |q1| < |q2|. Xác định loại điện tích của q1 và q2 . Vẽ các véc tơ lực tác dụng của điện tích này lên điện tích kia. Tính q1 và q2.
Đáp ánHai điện tích hút nhau nên chúng trái dấu nhau; vì q1+q2 > 0 và |q1| < |q2| nên q1 < 0; q2 > 0.

vì q1 và q2 trái dấu nên:
|q1q2| = - q1q2 = 12.10-12 (1) và q1 + q2 = - 4.10-6 (2).
Từ (1) và (2) ta thấy q1 và q2 là nghiệm của phương trình: x2 + 4.10-6x - 12.10-12 = 0

Vì |q1| < |q2| ⇒ q1 = 2.10-6 C; q2 = - 6.10-6 C.
Bài 5: Hai điện tích điểm có độ lớn bằng nhau được đặt cách nhau 12 cm trong không khí. Lực tương tác giữa hai điện tích đó bằng 10 N. Đặt hai điện tích đó trong dầu và đưa chúng cách nhau 8 cm thì lực tương tác giữa chúng vẫn bằng 10 N. Tính độ lớn các điện tích và hằng số điện môi của dầu.
Đáp ánKhi đặt trong không khí: |q1| = |q2| =
= 4.10-6 C.
Khi đặt trong dầu: 
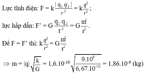
Bài 6: Hai vật nhỏ giống nhau (có thể coi là chất điểm), mỗi vật thừa một electron. Tìm khối lượng của mỗi vật để lực tĩnh điện bằng lực hấp dẫn. Cho hằng số hấp dẫn G = 6,67.10-11 N.m2/kg2.
Đáp án
Bài 7: Hai quả cầu nhỏ giống nhau bằng kim loại A và B đặt trong không khí, có điện tích lần lượt là q1 = - 3,2.10-7 C và q2 = 2,4.10-7 C, cách nhau một khoảng 12 cm.
a) Xác định số electron thừa, thiếu ở mỗi quả cầu và lực tương tác điện giữa chúng.
b) Cho hai quả cầu tiếp xúc điện với nhau rồi đặt về chỗ cũ. Xác định lực tương tác điện giữa hai quả cầu sau đó.
Đáp án
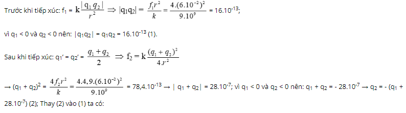
Bài 8: Hai viên bi kim loại rất nhỏ (coi là chất điểm) nhiễm điện âm đặt cách nhau 6 cm thì chúng đẩy nhau với một lực F1 = 4 N. Cho hai viên bi đó chạm vào nhau sau đó lại đưa chúng ra xa với cùng khoảng cách như trước thì chúng đẩy nhau với lực F2 = 4,9 N. Tính điện tích của các viên bi trước khi chúng tiếp xúc với nhau.
Hiển thị lời giải
- q12 - 28.10-7q1 = 16.10-13 → q12 + 28.10-7q1 + 160.10-14 = 0.
Giải ra ta có: q1 = -8.10-7 C; q2 = -20.10-7 C hoặc q1 = -20.10-7 C; q2 = -8.10-7 C
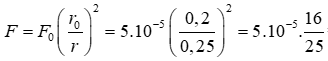
Bài 9: Hai quả cầu nhỏ hoàn toàn giống nhau, mang điện tích q1,q2 đặt trong chân không cách nhau 20 cm thì hút nhau bằng một bằng lực F1 = 5.10-5N. Đặt vào giữa hai quả cầu một tấm thủy tinh dày d = 5cm, có hằng số điện môi ε = 4 .Tính lực tác dụng giữa hai quả cầu lúc này.
Đáp ánLực tĩnh điện F = kq1q2 / εr2 ⇒ F.r2. ε = kq1q2 = không đổi.
Khi điện môi không đồng nhất: khoảng cách mới giữa hai điện tích: rm = ![]()
(Khi đặt hệ điện tích vào môi trường điện môi không đồng chất, mỗi điện môi có chiều dày là di và hằng số điện môi εi thì coi như đặt trong chân không với khoảng cách tăng lên là (di√ε - di)
Ta có : Khi đặt vào khoảng cách hai điện tích tấm điện môi chiều dày d thì khoảng cách mới tương đương là rm = r1 + r2 = d1 + d2√ε = 0,15 + 0,05√4 = 0,25 m
Vậy : F0.r02 = F.r2 →
= 3,2.10-15
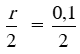
Bài 10: Cho hai điện tích điểm q1 = 10-8 C và q2 = - 2.10-8 C đặt tại hai điểm A và B cách nhau 10 cm trong không khí.
a) Tìm lực tương tác tĩnh diện giữa hai điện tích.
b) Muốn lực hút giữa chúng là 7,2.10-4 N. Thì khoảng cách giữa chúng bây giờ là bao nhiêu?
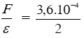
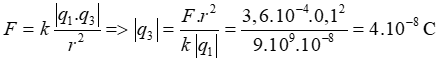
c) Thay q2 bởi điện tích điểm q3 cũng đặt tại B như câu b) thì lực lực đẩy giữa chúng bây giờ là 3,6.10-4 N. Tìm q3?
d) Tính lực tương tác tĩnh điện giữa q1 và q3 như trong câu c (chúng đặt cách nhau 10 cm) trong chất parafin có hằng số điện môi = 2.
Đáp ána) Tìm lực tương tác tĩnh điện giữa hai điện tích.
- Lực tương tác giữa hai điện tích là:

b) Muốn lực hút giữa chúng là 7,2.10-4 N. Tính khoảng cách giữa chúng:
Vì lực F tỉ lệ nghịch với bình phương khoảng cách nên khi F’ = 7,2.10-4 N = 4F( tăng lên 4 lần) thì khoảng cách r giảm 2 lần: r’ =
= 0,05 (m) = 5 (cm).
c) Thay q2 bởi điện tích điểm q3 cũng đặt tại B như câu b thì lực lực đẩy giữa chúng bây giờ là 3,6.10-4N. Tìm q3?
Vì lực đẩy nên q3 cùng dấu q1.
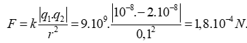
d) Tính lực tương tác tĩnh điện giữa q1 và q3 như trong câu c (chúng đặt cách nhau 10 cm) trong chất parafin có hằng số điện môi ε = 2.
Ta có: lực F tỉ lệ nghịch với ε nên F’ =
= 1,8.10-4 (N).
Hoặc dùng công thức: F' =
= 1,8.10-4 N.
Trên đây VnDoc đã giới thiệu tới các bạn lý thuyết Vật lý 11: Lực tương tác giữa hai điện tích điểm. Chắc hẳn qua bài viết bạn đọc đã nắm được những ý chính cũng như trau dồi được nội dung kiến thức của bài học rồi đúng không ạ? Hi vọng đây là tài liệu hữu ích giúp bạn đọc có thể học tập tốt hơn môn Vật lý lớp 12 nhé. Để có kết quả cao hơn trong học tập, VnDoc xin giới thiệu tới các bạn học sinh cùng tham khảo thêm một số tài liệu học tập tại các mục sau Chuyên đề Vật lý 11, Giải Vở BT Vật Lý 11, Giải bài tập Vật Lí 11, Tài liệu học tập lớp 11 mà VnDoc tổng hợp và giới thiệu tới các bạn đọc
Để giúp bạn đọc có thể giải đáp được những thắc mắc và trả lời được những câu hỏi khó trong quá trình học tập. VnDoc.com mời bạn đọc cùng đặt câu hỏi tại mục hỏi đáp học tập của VnDoc. Chúng tôi sẽ hỗ trợ trả lời giải đáp thắc mắc của các bạn trong thời gian sớm nhất có thể nhé.
Để giúp bạn đọc có thể thuận tiện hơn trong việc chia sẻ, trao đổi kinh nghiệm tài liệu học tập cũng như giảng dạy, VnDoc.com mời bạn đọc cùng tham gia nhóm Tài liệu học tập lớp 11 để có thêm tài liệu học tập nhé
Từ khóa » độ Lớn Của 2 điện Tích
-
Độ Lớn điện Tích ( Hay)
-
Dạng 2: Độ Lớn điện Tích | 7scv
-
Cách Giải Bài Tập Lực Tương Tác Giữa Hai điện Tích điểm Hay, Chi Tiết
-
Cho 2 điện Tích Có độ Lớn Không đổi - Top Lời Giải
-
Công Thức Tính độ Lớn điện Tích Q - Thả Rông
-
Công Thức Tính Lực Tương Tác Giữa Hai điện Tích Là Gì ? Độ Lớn Của Lực ...
-
Tính độ Lớn 2 điện Tích điểm Cách Nhau 3cm đặt Trong Chân Không ...
-
Độ Lớn Của Lực Tương Tác Giữa 2 điện Tích điểm Trong Không Khí
-
Cho Các Yếu Tố Sau: I- Độ Lớn Của Các điện Tích II
-
Độ Lớn Của Lực Tương Tác Giữa Hai điện Tích điểm Trong Không Khí
-
Tìm độ Lớn điện Tích - Selfomy Hỏi Đáp
-
Công Thức Tính Khoảng Cách Giữa 2 điện Tích
-
Độ Lớn Của Lực Tường Tác Tĩnh điện Cu-lông Giữa Hai điện Tích điểm ...
-
Điện Tích – Wikipedia Tiếng Việt