Mn ơi Giúp Mik Câu 12 Vs ạ
Có thể bạn quan tâm


Tìm kiếm với hình ảnh
Vui lòng chỉ chọn một câu hỏi
Tìm đáp án
Đăng nhập- |
- Đăng ký


Hoidap247.com Nhanh chóng, chính xác
Hãy đăng nhập hoặc tạo tài khoản miễn phí!
Đăng nhậpĐăng ký

Lưu vào
+
Danh mục mới
- hoatu123

- Chưa có nhóm
- Trả lời
0
- Điểm
45
- Cảm ơn
0
- Toán Học
- Lớp 11
- 10 điểm
- hoatu123 - 21:55:34 23/02/2021

- Hỏi chi tiết
Báo vi phạm
Hãy luôn nhớ cảm ơn và vote 5* nếu câu trả lời hữu ích nhé!
TRẢ LỜI


- quangcuong347

- Chưa có nhóm
- Trả lời
53468
- Điểm
3081
- Cảm ơn
52926
- quangcuong347
- 23/02/2021
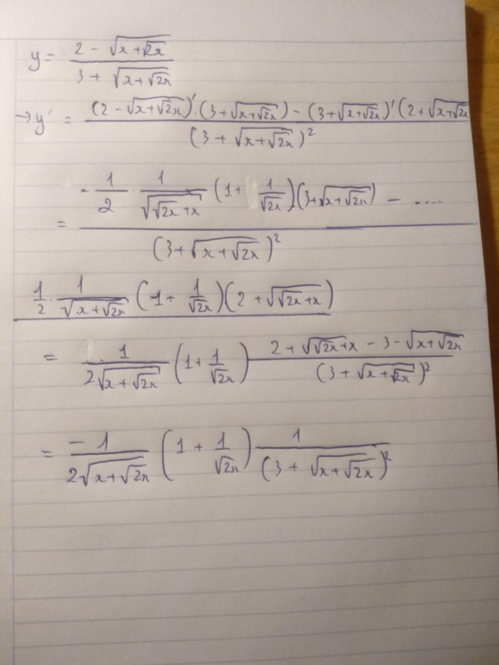
Đây là một chuyên gia không còn hoạt độngBạn xem hình

Hãy giúp mọi người biết câu trả lời này thế nào?
starstarstarstarstarstarstarstarstarstarstarstarstarstarstarstarstarstarstarstarstarstarstarstarstarstarstarstarstarstarstarstarstarstarstarGửiHủy
Cảm ơn
Báo vi phạm


- giakhanhduong

- Chưa có nhóm
- Trả lời
6391
- Điểm
81375
- Cảm ơn
4321
- giakhanhduong
- 23/02/2021

Đáp án:
Giải thích các bước giải:

Hãy giúp mọi người biết câu trả lời này thế nào?
starstarstarstarstarstarstarstarstarstarstarstarstarstarstarstarstarstarstarstarstarstarstarstarstarstarstarstarstarstarstarstarstarstarstarGửiHủy
Cảm ơn
Báo vi phạm
Bạn muốn hỏi điều gì?
Tham Gia Group Dành Cho Lớp 11 Chia Sẻ, Trao Đổi Tài Liệu Miễn Phí

Bảng tin
Bạn muốn hỏi điều gì?
Lý do báo cáo vi phạm?
Gửi yêu cầu Hủy

Cơ quan chủ quản: Công ty Cổ phần Công nghệ Giáo dục Thành Phát
Tải ứng dụng


- Hướng dẫn sử dụng
- Điều khoản sử dụng
- Nội quy hoidap247
- Góp ý
Inbox: m.me/hoidap247online
Trụ sở: Tầng 7, Tòa Intracom, số 82 Dịch Vọng Hậu, Cầu Giấy, Hà Nội.
Từ khóa » Tính đạo Hàm Và Lập Bảng Xét Dấu
-
Tính đạo Hàm Và Lập Bảng Xét Dấu
-
Cách Lập Bảng Xét Dấu đạo Hàm - Thả Rông
-
Tìm Hiểu Các Phương Pháp Xét Dấu đạo Hàm để Tìm Cực Trị Của Hàm Số
-
Ba Phương Pháp Xét Dấu đạo Hàm Tìm Cực Trị Của Hàm Số
-
P3 Xét Dấu Đạo Hàm Và Tính Đơn Điệu Của Hàm Số - YouTube
-
Bài Giảng Toán 11 - 11-ĐẠO HÀml
-
Hướng Dẫn Cách Xét Dấu Bảng Biến Thiên, Các ...
-
Tính đạo Hàm Và Xét Dấu
-
Cách Khảo Sát Chiều Biến Thiên Của Hàm Số Dựa Vào Bảng Biến Thiên
-
Biết được F'(x) Hoặc Bảng Xét Dấu, Bảng Biến Thiên Của F'(x), Tìm Số ...
-
Quy Tắc Xét Dấu Biểu Thức Và Bài Tập Minh Họa - Luyện Tập 247
-
Cách Khảo Sát Chiều Biến Thiên Của Hàm Số Dựa Vào Bảng Biến Thiên