Mọi Người Giúp Em Gấp Với
Có thể bạn quan tâm


Tìm kiếm với hình ảnh
Vui lòng chỉ chọn một câu hỏi
Tìm đáp án
Đăng nhập- |
- Đăng ký


Hoidap247.com Nhanh chóng, chính xác
Hãy đăng nhập hoặc tạo tài khoản miễn phí!
Đăng nhậpĐăng ký

Lưu vào
+
Danh mục mới
- trinhhuan03

- Chưa có nhóm
- Trả lời
16
- Điểm
510
- Cảm ơn
8
- Toán Học
- Lớp 11
- 20 điểm
- trinhhuan03 - 15:42:24 19/07/2021

- Hỏi chi tiết
Báo vi phạm
Hãy luôn nhớ cảm ơn và vote 5* nếu câu trả lời hữu ích nhé!
TRẢ LỜI


- nguyenvanquochieu

- Chưa có nhóm
- Trả lời
5724
- Điểm
100323
- Cảm ơn
4007
- nguyenvanquochieu
- Câu trả lời hay nhất!

- 19/07/2021

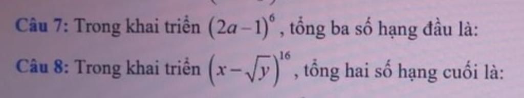
7)
$\begin{array}{l} {\left( {2a - 1} \right)^6} = C_6^0{2^6}{a^6} - C_6^1{2^5}{a^5}.1 + C_6^2{2^4}.{a^4}{.1^2} - ...\\ = 64{a^6} - 192{a^5} + 240{a^4} \end{array}$
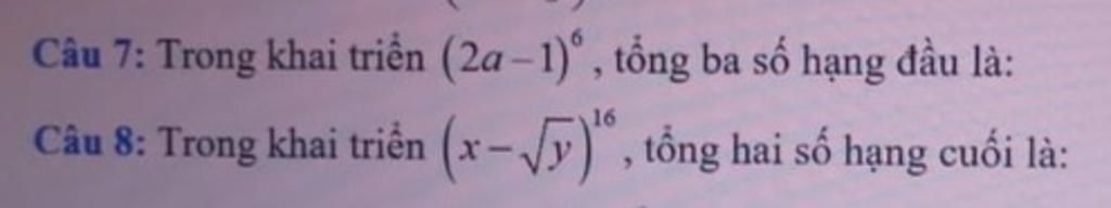
8) Số hạng tổng quát
${T_{k + 1}} = C_{16}^k{x^{16 - k}}{\left( { - \sqrt y } \right)^k} = C_{16}^k{\left( { - 1} \right)^k}{x^{16 - k}}.{y^{\dfrac{k}{2}}}$
Hai số hạng cuối là số hạng thứ 16 và 17.
Số hạng thứ 16:
$\begin{array}{l} 16 = k + 1 \Rightarrow k = 15\\ \Rightarrow {T_{16}} = C_{16}^{15}.{\left( { - 1} \right)^{15}}.{x^1}.{y^{\dfrac{{15}}{2}}} = - 16x.\sqrt {{y^{15}}} \end{array}$
Số hạng thứ 17:
$\begin{array}{l} 17 = k + 1 \Rightarrow k = 16\\ \Rightarrow {T_{17}} = C_{16}^{16}.{\left( { - 1} \right)^{16}}.{x^0}.{y^{\dfrac{{16}}{2}}} = {y^8}\\ \Rightarrow S = - 16x.\sqrt {{y^{15}}} + {y^8} \end{array}$
Hãy giúp mọi người biết câu trả lời này thế nào?
Cảm ơn 1
Báo vi phạm


- quangcuong347

- Chưa có nhóm
- Trả lời
53468
- Điểm
3081
- Cảm ơn
52973
- quangcuong347
- 20/07/2021
Đây là một chuyên gia không còn hoạt độngBạn xem hình

Hãy giúp mọi người biết câu trả lời này thế nào?
Cảm ơn 1
Báo vi phạm
Bạn muốn hỏi điều gì?
Group 2K9 Ôn Thi ĐGNL & ĐGTD Miễn Phí

Bảng tin
Bạn muốn hỏi điều gì?
Lý do báo cáo vi phạm?
Gửi yêu cầu Hủy

Cơ quan chủ quản: Công ty Cổ phần Công nghệ Giáo dục Thành Phát
Tải ứng dụng


- Hướng dẫn sử dụng
- Điều khoản sử dụng
- Nội quy hoidap247
- Góp ý
Inbox: m.me/hoidap247online
Trụ sở: Tầng 7, Tòa Intracom, số 82 Dịch Vọng Hậu, Cầu Giấy, Hà Nội.
Từ khóa » Trong Khai Triển (2a-1)^6
-
Trong Khai Triển (2a - 1)6 , Tổng Ba Số Hạng đầu Là: - Hoc247
-
[LỜI GIẢI] Trong Khai Triển ( 2a - 1 )^6 Tổng Ba Số Hạng đầu Là
-
Trong Khai Triển (2a - 1)6 , Tổng Ba Số Hạng đầu Là:
-
Trong Khai Triển ({left( {2a - 1} Right)^6},) Tổng Ba Số Hạng đầu Là:
-
Khai Triển (2a-1)^6 | Mathway
-
Trong Khai Triển (2a - 1)6 , Tổng Ba Số Hạng đầu Là:
-
Trong Khai Triển (2a - 1)6 Ba Số Hạng đầu Là
-
Trong Khai Triển ${{\left( 2a-1 \right)}^{6}}$, Tổng Ba Số Hạng đầu Là:
-
Trong Khai Triển ${{\left( 2a-1 \right)}^{6}}$, Tổng Ba Số Hạng đầu Là
-
Khai Triển Nhị Thức (2a - 1)^5 - Toán Học Lớp 11
-
Số Hạng Thứ 4 Trong Khai Triển (2a - 1)^6 - MTrend
-
Trong Khai Triển (2a-b)^5, Hệ Số Của Số Hạng Thứ 3 Bằng
-
Trắc Nghiệm Xác định Hệ Số, Số Hạng Trong Khai Triển Nhị Thức Niu-tơn
-
15 Bài Tập Xác định Hệ Số, Số Hạng Trong Khai Triển Nhị Thức Niu-tơn ...