Một Hợp Chất A Có Công Thức Phân Tử Là C9H12. Xử Lý A Với Oxi Trong ...


Tìm kiếm với hình ảnh
Vui lòng chỉ chọn một câu hỏi
Tìm đáp án
Đăng nhập- |
- Đăng ký


Hoidap247.com Nhanh chóng, chính xác
Hãy đăng nhập hoặc tạo tài khoản miễn phí!
Đăng nhậpĐăng ký

Lưu vào
+
Danh mục mới


- nnquan

- Chưa có nhóm
- Trả lời
981
- Điểm
9309
- Cảm ơn
651
- Hóa Học
- Lớp 9
- 60 điểm x2 Câu hỏi khóTrả lời được nhân đôi số điểm. Thành viên từ hạng
Tài năng trở lên mới được trả lời. - nnquan - 12:07:43 12/03/2021
- Hỏi chi tiết
Báo vi phạm
Hãy luôn nhớ cảm ơn và vote 5* nếu câu trả lời hữu ích nhé!
TRẢ LỜI
nnquan rất mong câu trả lời từ bạn. Viết trả lờiTRẢ LỜI


- quangcuong347

- Chưa có nhóm
- Trả lời
53468
- Điểm
3081
- Cảm ơn
52915
- quangcuong347
- 10/12/2022
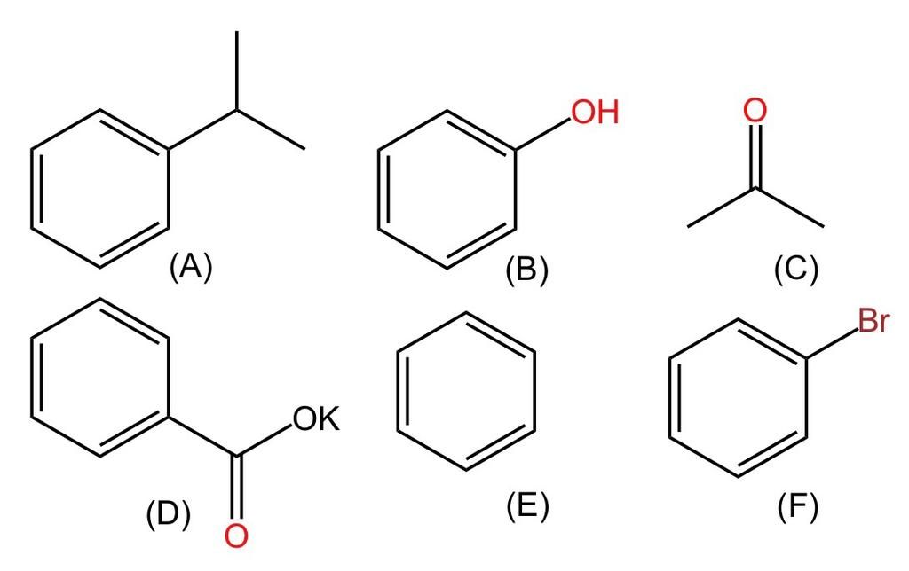
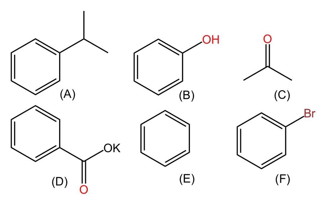
Đây là một chuyên gia không còn hoạt độngĐáp án:
a, (Như hình)
b,
$5CH_2=C(CH_3)-CH_3+8KMnO_4+12H_2SO_4\to 5CH_3-CO-CH_3 + 5CO_2+ 8MnSO_4+4K_2SO_4+17H_2O$
$2C_6H_5COOK+2NaOH\xrightarrow{{CaO, t^o}} 2C_6H_6+K_2CO_3+Na_2CO_3$

Hãy giúp mọi người biết câu trả lời này thế nào?
starstarstarstarstarstarstarstarstarstarstarstarstarstarstarstarstarstarstarstarstarstarstarstarstarstarstarstarstarstar5starstarstarstarstar1 voteGửiHủy
Cảm ơn 1
Báo vi phạm
Xem thêm:
- >> Tuyển tập 100+ đề bài đọc hiểu Ngữ Văn lớp 9
Bạn muốn hỏi điều gì?
Tham Gia Group Dành Cho Lớp 9 - Ôn Thi Vào Lớp 10 Miễn Phí

Bảng tin
Bạn muốn hỏi điều gì?
Lý do báo cáo vi phạm?
Gửi yêu cầu Hủy

Cơ quan chủ quản: Công ty Cổ phần Công nghệ Giáo dục Thành Phát
Tải ứng dụng


- Hướng dẫn sử dụng
- Điều khoản sử dụng
- Nội quy hoidap247
- Góp ý
Inbox: m.me/hoidap247online
Trụ sở: Tầng 7, Tòa Intracom, số 82 Dịch Vọng Hậu, Cầu Giấy, Hà Nội.
Từ khóa » C9h12 Kmno4 H2so4
-
C9H12 + KMnO4 + H2SO4 = C6H5COOH + CO2 + K2SO4 + MnSO4 ...
-
C9H12 + KMNO4 + H2SO4 = C9H6O6 + MNSO4 + K2SO4 + H2O
-
Hỗn Hợp A Gồm 3 Hidrocacbon đồng Phân X, Y, Z Cùng Có Công Thức ...
-
5 C6H5CH3 + 6 KMnO4 + 9 H2SO4 → 14 H2O + 3 K2SO4 + 6 ...
-
Hỗn Hợp A Gồm 3 Hidrocacbon đồng Phân X, Y, Z Cùng Có ...
-
Cho Phản ứng Sau: C6H5CH2CH2CH3 + KMnO4 + H2SO4 ...
-
Solved 1.2 G Of A Hydrocarbon A Of Molecular Formula C9H12 - Chegg
-
Cumene On Treatment With KMnO4 Gives: - - Toppr
-
Answered: Hydrocarbon A Has The Formula C9H12 And… | Bartleby
-
Ребята, напишите уравнение реакции, можно даже без ...
-
Xác định Công Thức [Lưu Trữ] - Diễn đàn Thế Giới Hoá Học - GiMiTEC