Người Ta Tiến Hành điều Chế Thuốc Nổ TNT Từ Metan. Tính Khối Lượng ...
Có thể bạn quan tâm


Tìm kiếm với hình ảnh
Vui lòng chỉ chọn một câu hỏi
Tìm đáp án
Đăng nhập- |
- Đăng ký


Hoidap247.com Nhanh chóng, chính xác
Hãy đăng nhập hoặc tạo tài khoản miễn phí!
Đăng nhậpĐăng ký

Lưu vào
+
Danh mục mới
- nonamenoproblem789

- Chưa có nhóm
- Trả lời
7
- Điểm
-6
- Cảm ơn
4
- Hóa Học
- Lớp 11
- 10 điểm
- nonamenoproblem789 - 23:37:19 11/03/2020
- Hỏi chi tiết
Báo vi phạm
Hãy luôn nhớ cảm ơn và vote 5* nếu câu trả lời hữu ích nhé!
TRẢ LỜI


- quangcuong347

- Chưa có nhóm
- Trả lời
53468
- Điểm
3081
- Cảm ơn
52910
- quangcuong347
- 16/03/2023
Đây là một chuyên gia không còn hoạt độngĐây là câu trả lời đã được xác thực
Câu trả lời được xác thực chứa thông tin chính xác và đáng tin cậy, được xác nhận hoặc trả lời bởi các chuyên gia, giáo viên hàng đầu của chúng tôi.
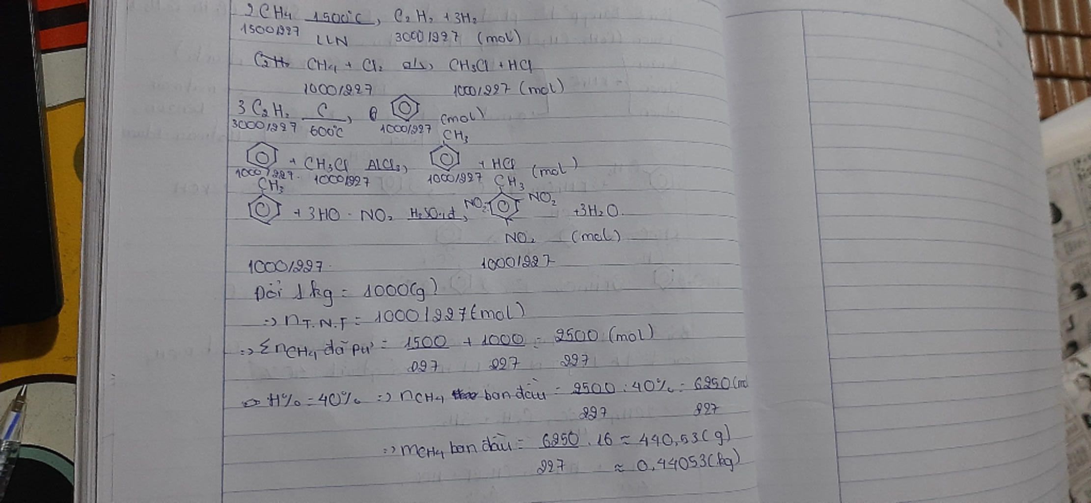
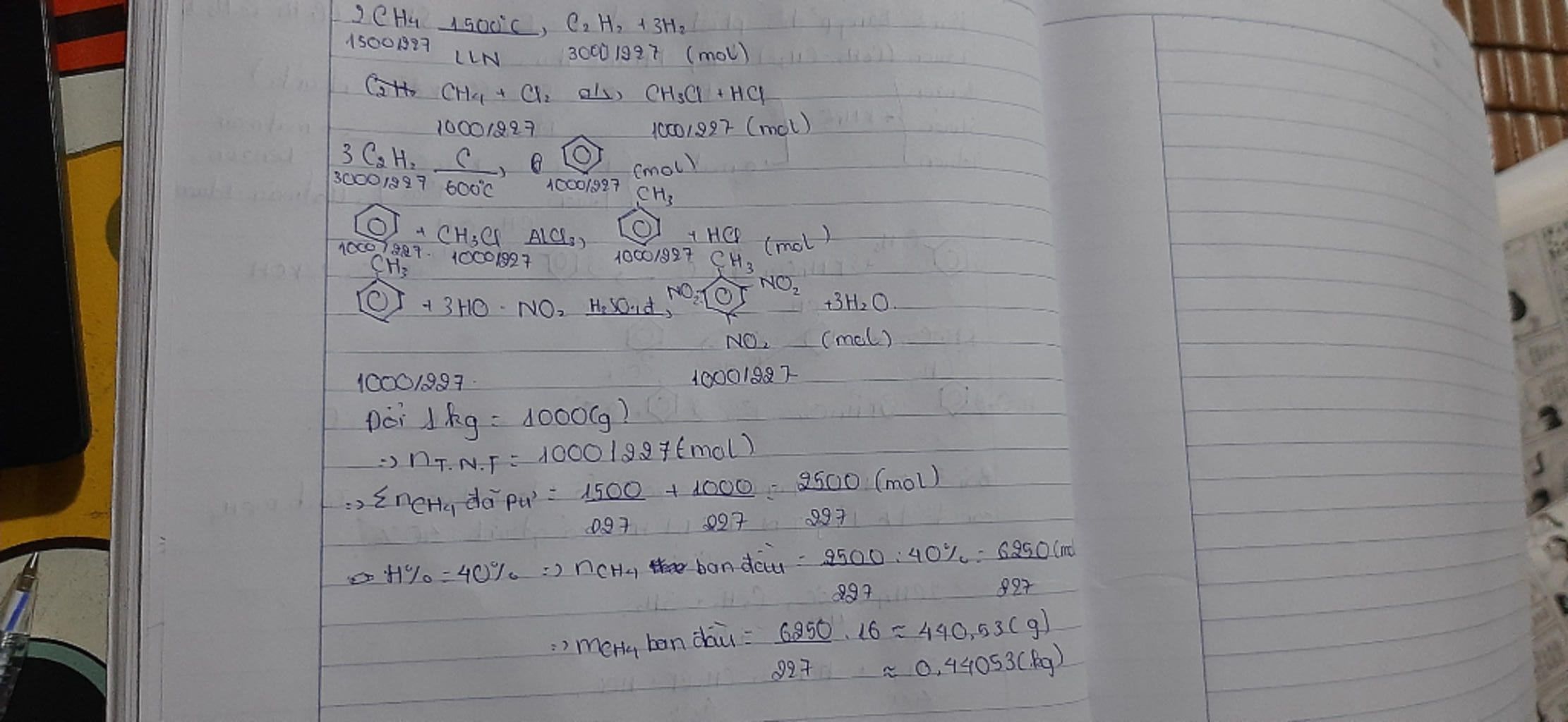
Đáp án:
$2CH_4\xrightarrow{{1500^oC, lln}} C_2H_2+3H_2$
$3C_2H_2\xrightarrow{{600^oC, C}} C_6H_6$
$CH_4+Cl_2\xrightarrow{{as}} CH_3Cl+HCl$
$C_6H_6+CH_3Cl\xrightarrow{{AlCl_3, t^o}} C_6H_5CH_3+HCl$
$C_6H_5CH_3+3HNO_3\xrightarrow{{H_2SO_4, t^o}} C_6H_2(NO_2)_3CH_3+3H_2O$
Ta có: $7CH_4\to C_6H_2(NO_2)_3CH_3$
Tỉ lệ: $7.16=112kg$ $CH_4$ tạo ra $227kg$ TNT
$\Rightarrow \dfrac{112.1}{227}=0,4934kg$ $CH_4$ tạo ra $1kg$ TNT
Vậy $m_{CH_4\text{thực tế}}=0,4934:40\%=1,2335kg$
Hãy giúp mọi người biết câu trả lời này thế nào?
starstarstarstarstarstarstarstarstarstarstarstarstarstarstarstarstarstarstarstarstarstarstarstarstarstarstarstarstarstar5starstarstarstarstar4 voteGửiHủy
Cảm ơn 4
- Drakenz

- Chưa có nhóm
- Trả lời
75
- Điểm
869
- Cảm ơn
49
lên 1 triệu điểm đi anh cường ơi
- Drakenz


- phamhang1312

- Chưa có nhóm
- Trả lời
15
- Điểm
59
- Cảm ơn
4
- phamhang1312
- 17/08/2020

Đáp án:
Giải thích các bước giải:

Hãy giúp mọi người biết câu trả lời này thế nào?
starstarstarstarstarstarstarstarstarstarstarstarstarstarstarstarstarstarstarstarstarstarstarstarstarstarstarstarstarstar5starstarstarstarstar1 voteGửiHủy
Cảm ơn
Báo vi phạm
Bạn muốn hỏi điều gì?
Tham Gia Group Dành Cho Lớp 11 Chia Sẻ, Trao Đổi Tài Liệu Miễn Phí

Bảng tin
Bạn muốn hỏi điều gì?
Lý do báo cáo vi phạm?
Gửi yêu cầu Hủy

Cơ quan chủ quản: Công ty Cổ phần Công nghệ Giáo dục Thành Phát
Tải ứng dụng


- Hướng dẫn sử dụng
- Điều khoản sử dụng
- Nội quy hoidap247
- Góp ý
Inbox: m.me/hoidap247online
Trụ sở: Tầng 7, Tòa Intracom, số 82 Dịch Vọng Hậu, Cầu Giấy, Hà Nội.
Từ khóa » điều Chế Thuốc Tnt
-
Thuốc Nổ TNT được điều Chế Trực Tiếp Từ C6H5CH3
-
Thuốc Nổ TNT được điều Chế Trực Tiếp Từ - Toploigiai
-
Phương Pháp Điều Chế Trinitrotoluen - Toploigiai
-
Phương Pháp điều Chế Thuốc Nổ TNT -... - Hóa Học Muôn Màu
-
TNT (2,4,6- Trinitrotoluen) được điều Chế Bằng Phản ứng Của Tolue
-
Trinitrotoluen – Wikipedia Tiếng Việt
-
Phương Trình Điều Chế Thuốc Nổ Tnt, Thuốc Nổ Tnt Được Điều ...
-
Cách điều Chế Tất Cả Các Loại Thuốc Nổ-Nguyễn Công Trình
-
Thuốc Nổ TNT được điều Chế Trực Tiếp Từ | Educationuk
-
Thuốc Nổ TNT được điều Chế Trực Tiếp Từ
-
Thuốc Nổ Tnt được điều Chế Trực Tiếp Từ
-
TNT được Dùng để Sản Xuất Thuốc Nổ. TNT được điều Chế Bằng ...
-
TNT (2,4,6-trinitrotoluen) được điều Chế Bằng Phản ứng Của Toluen ...
-
Thuốc Nổ TNT được điều Chế Trực Tiếp Từ - Khóa Học