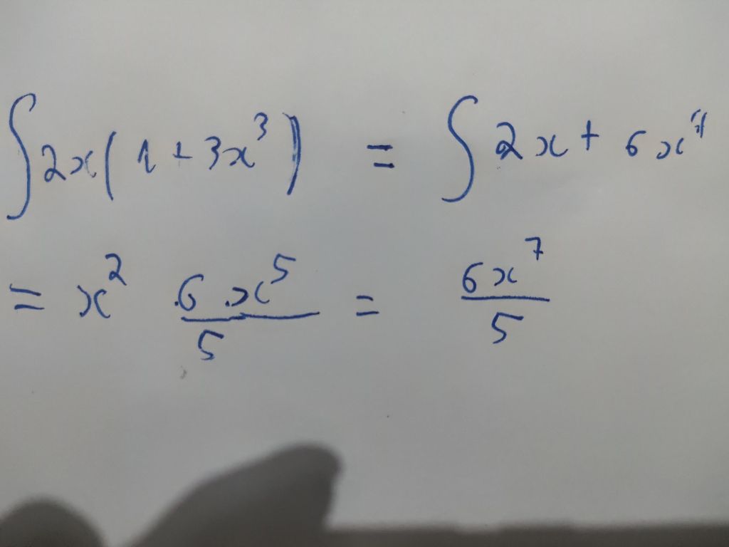
Nguyên Hàm Của 2x(1+3x^3) Câu Hỏi 387895
Có thể bạn quan tâm


Tìm kiếm với hình ảnh
Vui lòng chỉ chọn một câu hỏi
Tìm đáp án
Đăng nhập- |
- Đăng ký


Hoidap247.com Nhanh chóng, chính xác
Hãy đăng nhập hoặc tạo tài khoản miễn phí!
Đăng nhậpĐăng ký

Lưu vào
+
Danh mục mới
- tranphu1711

- Chưa có nhóm
- Trả lời
0
- Điểm
35
- Cảm ơn
0
- Toán Học
- Lớp 12
- 10 điểm
- tranphu1711 - 14:03:53 20/03/2020
- Hỏi chi tiết
Báo vi phạm
Hãy luôn nhớ cảm ơn và vote 5* nếu câu trả lời hữu ích nhé!
TRẢ LỜI
tranphu1711 rất mong câu trả lời từ bạn. Viết trả lờiTRẢ LỜI


- saymethesixman102

- Chưa có nhóm
- Trả lời
2493
- Điểm
2757
- Cảm ơn
2305
- saymethesixman102
- 20/03/2020
Đây là một chuyên gia không còn hoạt độngĐáp án:
.
Giải thích các bước giải:

Hãy giúp mọi người biết câu trả lời này thế nào?
starstarstarstarstarstarstarstarstarstarstarstarstarstarstarstarstarstarstarstarstarstarstarstarstarstarstarstarstarstarstarstarstarstarstarGửiHủy
Cảm ơn
Báo vi phạm
Bạn muốn hỏi điều gì?
Group 2K8 ôn Thi ĐGNL & ĐGTD Miễn Phí

Bảng tin
Bạn muốn hỏi điều gì?
Lý do báo cáo vi phạm?
Gửi yêu cầu Hủy

Cơ quan chủ quản: Công ty Cổ phần Công nghệ Giáo dục Thành Phát
Tải ứng dụng


- Hướng dẫn sử dụng
- Điều khoản sử dụng
- Nội quy hoidap247
- Góp ý
Inbox: m.me/hoidap247online
Trụ sở: Tầng 7, Tòa Intracom, số 82 Dịch Vọng Hậu, Cầu Giấy, Hà Nội.
Từ khóa » Nguyên Hàm Của 2x(1+3x^3)
-
Họ Nguyên Hàm Của Hàm Số F(x) = 2x(1+3x^3) Là:
-
Tìm Nguyên Hàm Của 2x(1+3x^3) - My Hoàng
-
Nguyên Hàm Của 2x(1 + 3x^3) Là? - Bài Tập Toán Học Lớp 12
-
Họ Nguyên Hàm Của Hàm Số F( X ) = 2x( 1 + 3x^3 ) Là - Tự Học 365
-
Họ Nguyên Hàm Của Hàm Số F(x) = 2x(1+3x^3) Là:
-
Nguyên Hàm Của 2x(1+3x^3) Là Câu Hỏi 71419
-
Tìm Nguyên Hàm (3x^2-2x+3)/(x^3) | Mathway
-
Tìm Nguyên Hàm 1/((3x)^2) | Mathway
-
Cho Biết F(x)=1/3x^3+2x−1/x Là Một Nguyên Hàm Của F(x)=(x^2+a ...
-
Trắc Nghiệm Nguyên Hàm Tích Phân - TaiLieu.VN