Nhân đơn Thức Với đa Thức - Chuyên đề Toán Học Lớp 8
Có thể bạn quan tâm
Nâng cấp gói Pro để trải nghiệm website VnDoc.com KHÔNG quảng cáo, và tải file cực nhanh không chờ đợi.
Tìm hiểu thêm » Mua ngay Từ 79.000đ Hỗ trợ ZaloChuyên đề Toán học lớp 8: Nhân đơn thức với đa thức được VnDoc sưu tầm và giới thiệu tới các bạn học sinh cùng quý thầy cô tham khảo. Nội dung tài liệu sẽ giúp các bạn học sinh học tốt môn Toán học lớp 8 hiệu quả hơn. Mời các bạn tham khảo.
Toán 8 Nhân đơn thức với đa thức
- A. Lý thuyết
- B. Trắc nghiệm & Tự luận
A. Lý thuyết:
1. Quy tắc nhân đơn thức với đa thức
Muốn nhân một đơn thức với một đa thức ta nhân đơn thức với từng số hạng của đa thức rồi cộng các tích với nhau.
Công thức: Cho A, B, C, D là các đơn thức ta có: A(B + C - D) = AB + AC - AD
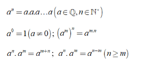
2. Nhắc lại các phép tính về lũy thừa.

Ví dụ 1: Thực hiện các phép tính sau:
a, - 2x3 y(2x2 -3y + 5yz)
b, (- 2x3)(x2 + 5x - 1/2)
Hướng dẫn:
a) Ta có: - 2x3 y( 2x2 -3y + 5yz ) = (- 2x3y) .2x2 - (- 2x3y) .3y + (- 2x3y) .5yz
= - 4x5y + 6x3y2 - 10x3y2z
b) Ta có: (- 2x3)(x2 + 5x - 1/2) = (- 2x3) .x2 + (- 2x3) .5x - (- 2x3) .1/2
= - 2x5 - 10x4 + x3.
B. Trắc nghiệm & Tự luận
I. Bài tập trắc nghiệm
Bài 1: Giá trị của biểu thức A = x(2x + 3) - 4(x + 1) - 2x(x - 1/2) là?
A. x +1 B. 4 C. - 4 D. 1 -x
Ta có A = x( 2x + 3) - 4( x + 1) - 2x( x - 1/2)
= (2x .x + 3 .x) - (4 .x + 4 .1) - (2x .x - 1/2 .2x)
= 2x2 + 3x - 4x - 4 - 2x2 + x = - 4
Chọn đáp án C.
Bài 2: Chọn câu trả lời đúng (2x3 - 3xy + 12x)(- 1/6xy) bằng?
A. - 1/3x4y + 12x2y2 - 2xy2
B. - 1/3x4y + 12x2y2 + 2xy2
C. - 1/3x4y + 12x2y2 - 2x2y3
D. - 1/3x4y + 12x2y2 - 2x2y
Ta có: (2x3 - 3xy + 12x)(- 1/6xy) = (- 1/6xy).2x3 - 3xy(- 1/6xy) + 12x(- 1/6xy)
= - 1/3x4y + 1/2x2y2 - 2x2y
Chọn đáp án D.
Bài 3: Biết 3x + 2(5 - x) = 0, giá trị của x cần tìm là?
A. x = -10 B. x =9 C. x = - 8 D. x =0
Ta có 3x + 2( 5 - x ) = 0 ⇔ 3x + 2.5 - 2.x = 0 ⇔ x + 10 = 0 ⇔ x = - 10.
Chọn đáp án A.
Bài 4: Kết quả nào sau đây đúng với biểu thức A = 2/5xy(x2y -5x + 10y)?
A. 2/5x3y2 + xy2 + 2x2y.
B. 2/5x3y2 - 2x2y + 2xy2.
C. 2/5x3y2 - 2x2y + 4xy2.
D. 2/5x3y2 - 2x2y - 2xy2.
Ta có: A = 2/5xy( x2y -5x + 10y ) = 2/5xy .x2y - 2/5xy .5x + 2/5xy .10y
= 2/5x3y2 - 2x2y + 4xy2.
Chọn đáp án C.
Bài 5: Giá trị của x thỏa mãn 2x(x + 3) + 2(x + 3) = 0 là?
A. x = -3 hoặc x =1
B. x =3 hoặc x = -1
C. x = -3 hoặc x = -1
D. x =1 hoặc x = 3
Ta có 2x(x + 3) + 2(x + 3) = 0 ⇔ (x + 3)(2x + 2) = 0

Chọn đáp án C.
II. Bài tập tự luận
Bài 1: Trong các đáp án dưới đây, đáp án nào đúng, đáp án nào sai ?
A. 3x .(5x2 - 2x + 1) = 15x3 - 6x2 - 3x.
B. (x2 + 2xy - 3).(- xy) = - xy3 - 2x2y2 + 3xy.
C. - 5x3(2x2 + 3x - 5) = - 10x5 - 15x4 + 25x3.
D. (- 2x2 + 3/4y2 - 7xy) .(- 4x2y2) = 8x4y2 + 3xy4 + 28x2y3.
Hướng dẫn:
+ Ta có: 3x.(5x2 - 2x + 1) = 3x.5x2 - 3x.2x + 3x.1
= 15x3 - 6x2 + 3x ⇒ Đáp án A sai.
+ Ta có (x2 + 2xy - 3).(- xy) = x2.(- xy) + 2xy.(- xy) - 3.(- xy)
= - x3y - 2x2y2 + 3xy ⇒ Đáp án B đúng.
+ Ta có - 5x3(2x2 + 3x - 5) = - 5x3.2x2 - 5x3.3x - 5x3.(- 5)
= - 10x5 - 15x4 + 25x3 ⇒ Đáp án C đúng.
+ Ta có (- 2x2 + 3/4y2 - 7xy).(- 4x2y2) = - 2x2.(- 4x2y2) + 3/4y2.(- 4x2y2) - 7xy.(- 4x2y2)
= 8x4y2 - 3x2y4 + 28x3y3 ⇒ Đáp án D sai.
Bài 2: Tìm x biết
a, 4(18 - 5x) - 12(3x - 7) = 15(2x - 16) - 6(x + 14)
b, 2(5x - 8) - 3(4x - 5) = 4(3x - 4) + 11.
Hướng dẫn:
a) Ta có 4(18 - 5x) - 12(3x - 7) = 15(2x - 16) - 6(x + 14)
⇔ 4.18 - 4.5x - 12.3x - 12.(- 7) = 15.2x - 15.16 - 6.x - 6.14
⇔ 156 - 56x = 24x - 324 ⇔ 56x + 24x = 156 + 324
⇔ 80x = 480 ⇔ x = 6.
Vậy giá trị x cần tìm là x = 6.
b) Ta có 2(5x - 8) - 3(4x - 5) = 4(3x - 4) + 11
⇔ 2.5x - 2.8 - 3.4x - 3.(- 5) = 4.3x - 4.4 + 11
⇔ - 2x - 1 = 12x - 5 ⇔ 12x + 2x = - 1 + 5
⇔ 14x = 4 ⇔ x = 2/7.
Vậy giá trị x cần tìm là x = 2/7
Trên đây VnDoc đã giới thiệu tới các bạn lý thuyết môn Toán học 8: Nhân đơn thức với đa thức. Để có kết quả cao hơn trong học tập, VnDoc xin giới thiệu tới các bạn học sinh tài liệu Chuyên đề Toán học 8, Giải bài tập Toán lớp 8, Giải VBT Toán lớp 8 mà VnDoc tổng hợp và giới thiệu tới các bạn đọc
Từ khóa » Nhân đơn Thức Với đơn Thức Bài Tập
-
Giải Toán 8 Bài 1: Nhân đơn Thức Với đa Thức
-
LUYỆN TẬP NHÂN ĐƠN THỨC VỚI ĐA THỨC
-
Hướng Dẫn Giải Bài Tập Nhân Đơn Thức Với Đa Thức (Trang 5-6)
-
Chuyên đề Nhân đơn Thức Với đa Thức, Nhân đa Thức Với đa Thức
-
Giải Toán 8 Bài 1: Nhân đơn Thức Với đa Thức
-
Toán Lớp 8 | Nhân đơn Thức Với đa Thức | Học Thật Tốt
-
Nhân đơn Thức Với đa Thức - Toán 8
-
100 Bài Tập Nhân đơn Thức Với đa Thức, Nhân đa ...
-
Chuyên đề Nhân đơn Thức Với đa Thức Hay Nhất - TopLoigiai
-
Nhân đơn Thức Với đa Thức – Bứt Phá Toán 8 Cùng Itoan - I Toán
-
Chuyên đề Nhân đơn Thức Với đa Thức, đa Thức Với đa Thức Và Bẩy ...
-
Sách Giải Bài Tập Toán Lớp 8 Bài 1: Nhân Đơn Thức Với Đa Thức
-
Nhân đơn Thức Với đa Thức - Học Toán 8 Hiệu Quả Cùng Toppy
-
Giải VNEN Toán 8 Bài 1: Nhân đơn Thức Với đa Thức - Tech12h