Nickel(II) Ions In Solution Will Form An Insoluble Complex ... - Numerade

Verified Human Explanation Solution Provided by a Human Expert Courtney Sorensen verified Courtney Sorensen Numerade Educator Created by a real educator, not AI.Step-by-step guidance. View Verified Answer 100% free to try.

Question

Nickel(II) ions in solution will form an insoluble complex with dimethylglyoxime: nickel bis(dimethylglyoximate), Ni(C4H7O2N2)2. If a gravimetric analysis of Ni results in 0.6531 g of Ni(C4H7O2N2)2, what was the original mass of Ni2+ in the sample solution? Ni(C4H7O2N2)2 FW 288.9172 g/mol Ni FW 58.693 g/mol Nickel(II) ions in solution will form an insoluble complex with dimethylglyoxime: nickel bis(dimethylglyoximate), Ni(C4H7O2N2)2. If a gravimetric analysis of Ni results in 0.6531 g of Ni(C4H7O2N2)2, what was the original mass of Ni2+ in the sample solution? Ni(C4H7O2N2)2 FW 288.9172 g/mol Ni FW 58.693 g/mol Show more…

Added by Jesse W.

Chemistry: Structure and Properties Chemistry: Structure and Properties Nivaldo Tro 2nd Edition

Step 1

First, we need to find the moles of Ni(C4H7O2N2)2 in the 0.6531 g sample. To do this, we'll use the formula: moles = mass / molar mass moles of Ni(C4H7O2N2)2 = 0.6531 g / 288.9172 g/mol = 0.002259 moles Show more…

Show all steps

lock AceChat toggle button Close icon Ace pointing down

Please give Ace some feedback

Your feedback will help us improve your experience

Thumb up icon Thumb down icon Submit Thanks for your feedback! Profile picture Nickel(II) ions in solution will form an insoluble complex with dimethylglyoxime: nickel bis(dimethylglyoximate), Ni(C4H7O2N2)2. If a gravimetric analysis of Ni results in 0.6531 g of Ni(C4H7O2N2)2, what was the original mass of Ni2+ in the sample solution? Ni(C4H7O2N2)2 FW 288.9172 g/mol Ni FW 58.693 g/mol Close icon Play audio Feedback Upload button Send button Powered by NumerAI Danielle Fairburn David Collins Ivan Kochetkov verified

Courtney Sorensen and 65 other subject Chemistry 101 educators are ready to help you.

Ask a new question

*

Key Concepts

- Key Concept Premium Feature Explore the core concept behind this problem. View Video Play button View Video Key Concept Premium Feature Explore the core concept behind this problem. Your browser does not support the video tag. Close Try it Now *

Recommended Videos

- sample-containing-nickel-was-treated-with-dimethylglyoxime-dmg-resulting-in-the-precipitation-of-bisdimethylglyoximate-nickelii-if-the-sample-had-a-mass-of-1247-g-and-3_-761-g-of-precipitate-88966

Sample containing nickel was treated with dimethylglyoxime (DMG), resulting in the precipitation of bis(dimethylglyoximate) nickel(II). If the sample had a mass of 1.247 g and 3.761 g of precipitate was produced, find the percent purity of nickel in the sample. Molecular weights (or formula mass, FM) are given in the figure. Ni? 2 120 OH H DMG FM = 461.2 Kisdiniedhv lel u iuale JuicLel(I) FM = 288.1 A5864

Supreeta N.

10250-g-of-ni-dmg-complex-was-obtained-by-reacting-30-ml-of-a-nickel-ii-solution-is-witrh-dmg-calculate-the-concentration-of-nickelll-in-the-solution-in-moleslmolar-mass-of-dmg-116gmol-enter-36744

1.0.250 g of Ni-DMG complex was obtained by reacting 30 ml of a nickel (II) solution with DMG. Calculate the concentration of nickel(II) in the solution in moles/L (Molar mass of DMG - 116 g/mol). Enter your answer. 2. 2.25 ml of nickel(II) solution is pipetted into a beaker and precipitated with DMG. If 0.150 g of the precipitate is obtained, what was the concentration of nickel(II) in the solution in moles/L (Molar mass of DMG = 116 g/mol). Enter your answer.

Sri K.

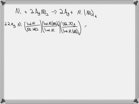
nickel-replaces-silver-from-solution-of-silver-nitrate-according-t0-the-following-reaction-1-ni-2-agno-2-ag-ninos-if-you-have-229-grams-of-ni-and-12-grams-of-agno-which-reactant-is-the-limit-07573

Nickel replaces silver from a solution of silver nitrate according to the following reaction: 1 Ni + 2 AgNO3 -> 2 Ag + Ni(NO3)2. If you have 22.9 grams of Ni and 12 grams of AgNO3, which reactant is the limiting and excess reactant? How many grams of nickel (II) nitrate are formed? (10 points)

David C.

*

Recommended Textbooks

- Chemistry: Structure and Properties

Chemistry: Structure and Properties

Nivaldo Tro 2nd Edition achievement 1,680 solutions Chemistry The Central Science

Chemistry The Central Science

Theodore L. Brown 14th Edition achievement 1,307 solutions Chemistry

Chemistry

Steven S. Zumdahl, Susan A. Zumdahl, Donald J. DeCoste 10th Edition achievement 1,176 solutions Need help? Use Ace Ace is your personal tutor. It breaks down any question with clear steps so you can learn. Start Using Ace Ace is your personal tutor for learning Step-by-step explanations Instant summaries Summarize YouTube videos Understand textbook images or PDFs Study tools like quizzes and flashcards Listen to your notes as a podcast

What our educators say

25992 Students Helped in Chemistry 101 “Numerade has a great goal - to increase people's educational levels all around the world. Educators do not complete student's personal homework tasks. We create video tutorials that may be used for many years in the future.” Dr. Mei Lin Chen PhD in Chemistry 101

44601 Students Helped in Chemistry 101 "The format has forced me to think about what knowledge is needed by the student to solve a problem and present it concisely and understandably within the time constraint of the video." Dr. Emily Green PhD in Chemistry 101

30417 Students Helped in Chemistry 101 “Explaining topics while I make Numerade videos has helped me deepen my own understanding and come up with new ways to help my students grasp concepts while I'm teaching.” Professor Jonathan Reed Master's in Chemistry 101

Numerade Get step-by-step video solutionfrom top educators Start your free 7-day trial, Sign up now. Continue with Facebook Continue with Apple Continue with Clever or Name Email Password Create Account By creating an account, you agree to the Terms of Service and Privacy Policy Already have an account? Log In A free answerjust for you

Watch the video solution with this free unlock.

View the Answer Numerade

Log in to watch this video ...and 100,000,000 more!

EMAIL

PASSWORD

Log in OR Continue with Facebook Continue with Apple Continue with Clever Don't have an account? Sign Up

Từ khóa » Ni(c4h7o2n2)