Phân Tích đa Thức Thành Nhân Tử 3x^2 +7x -6 2x^2-3x-2 5x^2 + 14x
Có thể bạn quan tâm


Tìm kiếm với hình ảnh
Vui lòng chỉ chọn một câu hỏi
Tìm đáp án
Đăng nhập- |
- Đăng ký


Hoidap247.com Nhanh chóng, chính xác
Hãy đăng nhập hoặc tạo tài khoản miễn phí!
Đăng nhậpĐăng ký

Lưu vào
+
Danh mục mới
- Vinh2k7

- Chưa có nhóm
- Trả lời
0
- Điểm
8
- Cảm ơn
0
- Toán Học
- Lớp 8
- 30 điểm
- Vinh2k7 - 11:27:08 26/10/2020
- Hỏi chi tiết
Báo vi phạm
Hãy luôn nhớ cảm ơn và vote 5* nếu câu trả lời hữu ích nhé!
TRẢ LỜI


- vohaiy2806

- team IQ vô cực
- Trả lời
2272
- Điểm
37763
- Cảm ơn
1689
- vohaiy2806
- 26/10/2020


Hãy giúp mọi người biết câu trả lời này thế nào?
starstarstarstarstarstarstarstarstarstarstarstarstarstarstarstarstarstarstarstarstarstarstarstarstarstarstarstarstarstarstarstarstarstarstarGửiHủy
Cảm ơn
Báo vi phạm


- _leader_

- Anonymous Group
- Trả lời
168
- Điểm
2364
- Cảm ơn
268
- _leader_
- 26/10/2020

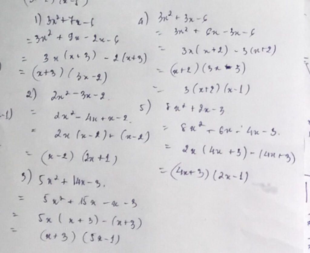
Đáp án:
`(3x-2)(x+3)`
`(2x+1)(x-2)`
`(5x-1)(x+3)`
`(3x+6)(x-1)`
`(4x+3)(2x-1)`
Giải thích các bước giải:
`3x^2 +7x -6`
`=3x^2+9x-2x-6`
`=3x(x+3)-2(x+3)`
`=(3x-2)(x+3)``2x^2-3x-2`
`=2x^2-4x+x-2`
`=2x(x-2)+(x-2)`
`=(2x+1)(x-2)``5x^2 + 14x - 3`
`=5x^2+15x-x-3`
`=5x(x+3)-(x+3)`
`=(5x-1)(x+3)``3x^2+3x-6`
`=3x^2-3x+6x-6`
`=3x(x-1)+6(x-1)`
`=(3x+6)(x-1)``8x^2+2x-3`
`=8x^2-4x+6x-3`
`=4x(2x-1)+3(2x-1)`
`=(4x+3)(2x-1)`
Hãy giúp mọi người biết câu trả lời này thế nào?
starstarstarstarstarstarstarstarstarstarstarstarstarstarstarstarstarstarstarstarstarstarstarstarstarstarstarstarstarstarstarstarstarstarstarGửiHủy
Cảm ơn
Báo vi phạm
Bạn muốn hỏi điều gì?
Tham Gia Group Dành Cho Lớp 8 Chia Sẻ, Trao Đổi Tài Liệu Miễn Phí

Bảng tin
Bạn muốn hỏi điều gì?
Lý do báo cáo vi phạm?
Gửi yêu cầu Hủy

Cơ quan chủ quản: Công ty Cổ phần Công nghệ Giáo dục Thành Phát
Tải ứng dụng


- Hướng dẫn sử dụng
- Điều khoản sử dụng
- Nội quy hoidap247
- Góp ý
Inbox: m.me/hoidap247online
Trụ sở: Tầng 7, Tòa Intracom, số 82 Dịch Vọng Hậu, Cầu Giấy, Hà Nội.
Từ khóa » Phân Tích 3x^2+7x-6
-
Phân Tích đa Thức Thành Nhân Tử: 3x^2 - 7x - 6 - Toán Học Lớp 8
-
Phân Tích đa Thức 3x^2+7x-6 Thành Nhân Tử - Phan Quân - HOC247
-
Phân Tích đa Thức 3x^2-7x-6 Thành Nhân Tử - Huong Duong - HOC247
-
Phân Tích đa Thức Thành Nhân Tử: \(3x^2+7x-6\).
-
Phân Tích đa Thức Thành Nhân Tử:3x^2+7x-6 - Hoc24
-
Phân Tích Thành Nhân Tử 3x^2-7x-6 - Hoc24
-
Giải Bằng Cách Phân Tích Nhân Tử 3x^2+7x-6=0 | Mathway
-
Giải 3x^2-7x-6=0 | Ứng Dụng Giải Toán Microsoft Math
-
8x + 15 3. X^2 - 10x + 16 4. 2x^2 - 13x - 24 5. 3x^2 + 16x +... - Olm
-
3x2 -7x-6 | Xem Lời Giải Tại QANDA
-
[DOC] MỘT SỐ VẤN ĐỀ VỀ PHÂN TÍCH ĐA THỨC THÀNH NHÂN TỬ I