Phản ứng Oxi Hóa-khử Thông Thường NH3+O2---->N2+H2O
Có thể bạn quan tâm


Tìm kiếm với hình ảnh
Vui lòng chỉ chọn một câu hỏi
Tìm đáp án
Đăng nhập- |
- Đăng ký


Hoidap247.com Nhanh chóng, chính xác
Hãy đăng nhập hoặc tạo tài khoản miễn phí!
Đăng nhậpĐăng ký

Lưu vào
+
Danh mục mới


- duykhanh48

- Chưa có nhóm
- Trả lời
17
- Điểm
169
- Cảm ơn
8
- Hóa Học
- Lớp 10
- 10 điểm
- duykhanh48 - 19:39:22 08/12/2020
- Hỏi chi tiết
Báo vi phạm
Hãy luôn nhớ cảm ơn và vote 5* nếu câu trả lời hữu ích nhé!
TRẢ LỜI


- GDucky2020

- Chưa có nhóm
- Trả lời
138
- Điểm
80
- Cảm ơn
179
- GDucky2020
- 08/12/2020

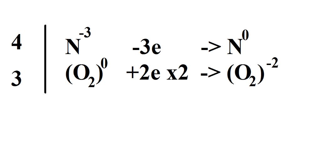
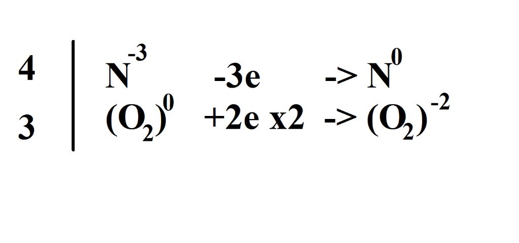
Đáp án + Giải thích các bước giải:
`NH_3+O_2\overset{t^o}\toN_2+H_2O`
`N^(-3)-3e->N^0` | x 4
`(O_2)^0+2e\times2->(O_2)^(-2)` | x 3
`=>4NH_3+3O_2\overset{t^o}\to2N_2+6H_2O`
Hãy giúp mọi người biết câu trả lời này thế nào?

Cảm ơn 2
Báo vi phạm


- duykhanh48

- Chưa có nhóm
- Trả lời
17
- Điểm
169
- Cảm ơn
8
O2 + 2e rồi nhân 2 ở đâu vậy bạn
- duykhanh48


- GDucky2020

- Chưa có nhóm
- Trả lời
138
- Điểm
80
- Cảm ơn
179
là sao ạ
- GDucky2020


- tuenguyen31

- Chưa có nhóm
- Trả lời
12
- Điểm
1367
- Cảm ơn
5
Tại nó có o2 nên nhân 2e
- tuenguyen31
- Aries2007

- Chưa có nhóm
- Trả lời
691
- Điểm
989
- Cảm ơn
729
- Aries2007
- 08/12/2020

Đáp án:
`NH_3+O_2\overset{t^o}\toN_2+H_2O`
`-> 4NH_3+3O_2\overset{t^o}\to2N_2+6H_2O`
$\text{Cách làm như hình dưới}$

Hãy giúp mọi người biết câu trả lời này thế nào?

Cảm ơn
Báo vi phạm


- duykhanh48

- Chưa có nhóm
- Trả lời
17
- Điểm
169
- Cảm ơn
8
bạn quên cân bằng r
- duykhanh48
Bổ sung từ chuyên gia
Quá trình cho e:
\(2{N^{ - 3}}\xrightarrow{{}}2{N^0} + 6{\text{e x2}}\)
Quá trình nhận e:
\({O_2} + 4{\text{e}}\xrightarrow{{}}2{{\text{O}}^{2 - }}{\text{ x3}}\)
Cân bằng:
\(4N{H_3} + 3{{\text{O}}_2}\xrightarrow{{{t^o}}}2{N_2} + 6{H_2}O\)
XEM LỜI GIẢI SGK HOÁ 10 - TẠI ĐÂYBạn muốn hỏi điều gì?
PH/HS Tham Gia Nhóm Lớp 10 Để Trao Đổi Tài Liệu, Học Tập Miễn Phí!

Bảng tin
Bạn muốn hỏi điều gì?
Lý do báo cáo vi phạm?
Gửi yêu cầu Hủy

Cơ quan chủ quản: Công ty Cổ phần Công nghệ Giáo dục Thành Phát
Tải ứng dụng


- Hướng dẫn sử dụng
- Điều khoản sử dụng
- Nội quy hoidap247
- Góp ý
Inbox: m.me/hoidap247online
Trụ sở: Tầng 7, Tòa Intracom, số 82 Dịch Vọng Hậu, Cầu Giấy, Hà Nội.
Từ khóa » Cân Bằng Phương Trình Nh3 + O2 Suy Ra N2 + H2o
-
NH3 O2 = H2O N2 | Cân Bằng Phương Trình Hóa Học
-
NH3 + O2 = N2 + H2O - Trình Cân Bằng Phản ứng Hoá Học
-
NH3 + O2 | H2O + N2 | Cân Bằng Phương Trình Hóa Học - CungHocVui
-
Cân Bằng Phản ứng Oxi Hóa-khử Theo Phương Pháp Thăng ... - Hoc24
-
Cân Bằng Phương Trình Nh3 + O2 Suy Ra N2 + H2o - Blog Của Thư
-
Cân Bằng PTHH Sau NH3 + O2 - - - >N2 + H2O - Lê Tấn Vũ
-
Cân Bằng Các Phương Trình Theo Phương Pháp Thăng Bằng E: NH3 + ...
-
Cho Phương Trình Hóa Học Sau: NH3 + O2 (->(((t^0))) ) NO + H2O D
-
Câu Hỏi Nh3 + O2 → No + H2o Giải Chi Tiếtmathop N^ - Luyện Tập 247
-
Cân Bằng Pthh NH3 + O2 = > N2 + H2O CnH2n + O2 => CO2 + H2O
-
Hỏi đáp 24/7 – Giải Bài Tập Cùng Thủ Khoa
-
Bài 17. Phản ứng Oxi Hoá - Khử - Tài Liệu Text - 123doc
-
Top 20 Cân Bằng Phản ứng Oxi Hóa Khử Nh3 + O2 Mới Nhất 2022
-
Cân Bằng Phương Trình Hóa Học Một Cách Dễ Dàng