Sách Giáo Khoa Đại Số Và Giải Tích 11 Cơ Bản - Bài 1: Giới Hạn Của ...
Có thể bạn quan tâm
Home » stories » Sách giáo khoa Đại số và Giải tích 11 cơ bản – Bài 1: Giới hạn của dãy số Sách giáo khoa Đại số và Giải tích 11 cơ bản – Bài 1: Giới hạn của dãy số 174 Views 0
Enable registration in settings - general
Sách giáo khoa Đại số và Giải tích 11 cơ bản
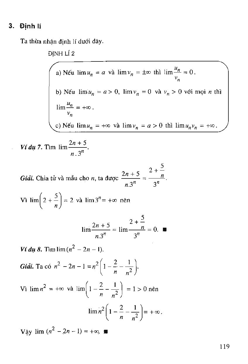
Bài 1: Giới hạn của dãy số

Leave a reply Cancel reply
Save my name, email, and website in this browser for the next time I comment.
LIÊN KẾT NHANH Sách Luyện Thi THPT Quốc Gia Sách Học Ngoại Ngữ
Từ khóa » Bài Tập Giới Hạn Dãy Số Lớp 11 Sgk
-
Giải Toán 11 Bài 1: Giới Hạn Của Dãy Số
-
Giới Hạn Của Dãy Số - Toán 11
-
[SGK Scan] Giới Hạn Của Dãy Số - Sách Giáo Khoa
-
Giải Toán Lớp 11 Bài 1, 2, 3, 4, 5, 6, 7, 8 Trang 121, 122 SGK Đại Số
-
Giải Bài Tập Toán 11 Bài 1: Giới Hạn Của Dãy Số
-
Giải Bài Tập SBT Toán 11 Bài 1: Giới Hạn Của Dãy Số
-
Toán 11 Bài 1: Giới Hạn Của Dãy Số - HOC247
-
Giải Bài Tập Toán 11 Bài 1. Giới Hạn Của Dãy Số
-
Giải Bài 1: Giới Hạn Của Dãy Số | Đại Số Và Giải Tích 11 Trang 112 - 122
-
Bài 5, 6, 7, 8 Trang 122 SGK Đại Số Và Giải Tích 11: Giới Hạn Của Dãy Số
-
Giải Toán 11: Bài 1. Giới Hạn Của Dãy Số - TopLoigiai
-
Các Dạng Bài Tập Giới Hạn | Toán Lớp 11
-
Bài 7 Trang 122 đại Số 11: Bài 1. Giới Hạn Của Dãy Số
-
Giải Toán 11 Nâng Cao Bài 2: Dãy Số Có Giới Hạn Hữu Hạn - Haylamdo