SAT Math Grid-Ins Question 120: Answer And Explanation - Crack SAT
- Home
- SAT Tests
- SAT Downloads
- SAT Books
- PSAT
- College Admission
- AP Prep
- ACT Prep
Test Information
Use your browser's back button to return to your test results.
SAT Math Grid-Ins Tests
- SAT Math Grid-Ins Test 1
- SAT Math Grid-Ins Test 2
- SAT Math Grid-Ins Test 3
- SAT Math Grid-Ins Test 4
- SAT Math Grid-Ins Test 5
- SAT Math Grid-Ins Test 6
- SAT Math Grid-Ins Test 7
- SAT Math Grid-Ins Test 8
- SAT Math Grid-Ins Test 9
- SAT Math Grid-Ins Test 10
- SAT Math Grid-Ins Test 11
- SAT Math Grid-Ins Test 12
- SAT Math Grid-Ins Test 13
- SAT Math Grid-Ins Test 14
- SAT Math Grid-Ins Test 15
- SAT Math Grid-Ins Test 16
- SAT Math Grid-Ins Test 17
- SAT Math Grid-Ins Test 18
- SAT Math Grid-Ins Test 19
- SAT Math Grid-Ins Test 20
Question: 120
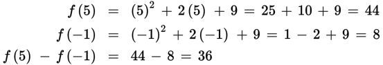
2. If g(x) = x2 + 2x + 9, what is g(5) – g(–1)?
Correct Answer: 36
Explanation:
36
Difficulty: Easy
Category: Passport to Advanced Math / Functions
Strategic Advice: When evaluating a function, substitute the value inside the parentheses for x in the equation.
Getting to the Answer: Evaluate the function at x = 5 and at x = –1. Then subtract the second output from the first. Note that this is not the same as first subtracting 5 – (–1) and then evaluating the function at x = 6.

- Previous
- Next
- Digital SAT Test
- Reading and Writing
- Math
- SAT Test
- sat prep
- sat skills
- SAT Math
- sat math multiple choice
- sat math grid-ins
- SAT Reading
- SAT Writing and Language
- SAT Grammar
- SAT Essay
- Old SAT Practice Tests
- SAT Subject Tests
- sat math 1&2 subject test
- sat physics subject test
- sat chemistry subject test
- sat biology subject test
- sat us history subject test
- sat world history subject test
- sat literature subject test
- sat French subject test
- sat Spanish subject test
- SAT Downloads
- SAT Books
- PSAT
- College Admission
- College Essay Samples
- College Essay Tips
Từ khóa » G(x)=2x+9
-
G(x) = 2x + 9 G( )= 15
-
G(x)=2x-9 - Solution
-
Algebra Examples - Mathway
-
How Do You Evaluate The Function G(x)=2x+9 For G(0)? | Socratic
-
G(x)=2x+9 G(.........................)=15 - t
-
Solve Propertiesstraightline G(15)=2x+9 Tiger Algebra Solver
-
Solved Preview Given That F(x) = 2x – 9 And G(x) = 5x + 4,
-
Solved For F(x) = 2x-9 And G(x) = 2(x + 9), Find (fog)(x)
-
SOLUTION: If F(x) = 3x + 5 And G(x) = 2x - 9, Find F(x) + G(x). - Algebra
-
Find The Inverse Of F(x) = 2x - 9 - YouTube
-
Solve F(x)=12x^5-5x^3+2x-9 | Microsoft Math Solver
-
F(x) =2x-9 Translated 6 Units Up | Wyzant Ask An Expert