Sin^4 2x + Cos^4 2x= 1-2sin4x Câu Hỏi 1452762
Có thể bạn quan tâm


Tìm kiếm với hình ảnh
Vui lòng chỉ chọn một câu hỏi
Tìm đáp án
Đăng nhập- |
- Đăng ký


Hoidap247.com Nhanh chóng, chính xác
Hãy đăng nhập hoặc tạo tài khoản miễn phí!
Đăng nhậpĐăng ký

Lưu vào
+
Danh mục mới
- VOTHITHAOMY

- Chưa có nhóm
- Trả lời
0
- Điểm
34
- Cảm ơn
0
- Toán Học
- Lớp 11
- 20 điểm
- VOTHITHAOMY - 15:31:10 20/12/2020
- Hỏi chi tiết
Báo vi phạm
Hãy luôn nhớ cảm ơn và vote 5* nếu câu trả lời hữu ích nhé!
TRẢ LỜI


- quangcuong347

- Chưa có nhóm
- Trả lời
53468
- Điểm
3081
- Cảm ơn
52961
- quangcuong347
- Câu trả lời hay nhất!

- 20/12/2020
Đây là một chuyên gia không còn hoạt độngBạn xem hình

Hãy giúp mọi người biết câu trả lời này thế nào?
Cảm ơn 3
Báo vi phạm


- iouebwsudi

- Chưa có nhóm
- Trả lời
0
- Điểm
0
- Cảm ơn
0
Giúp em với ạ, em cần lắm:(( https://hoidap247.com/cau-hoi/1452765
- iouebwsudi
- Unavailable

- Chưa có nhóm
- Trả lời
14800
- Điểm
147
- Cảm ơn
15556
- Unavailable
- 20/12/2020

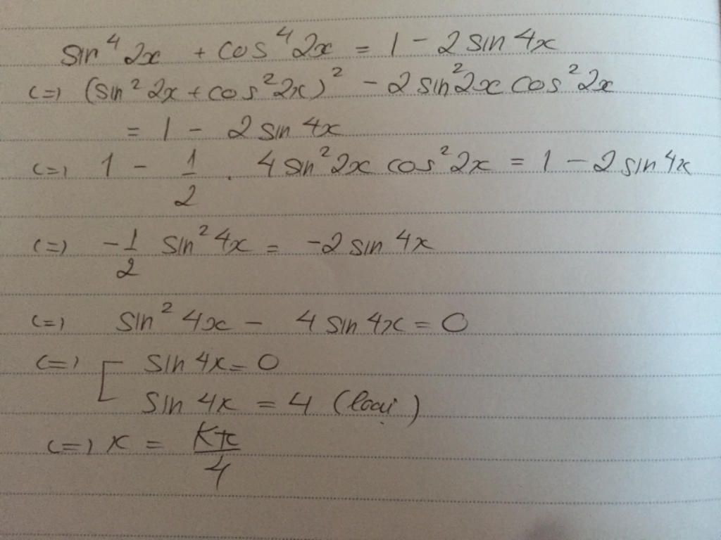
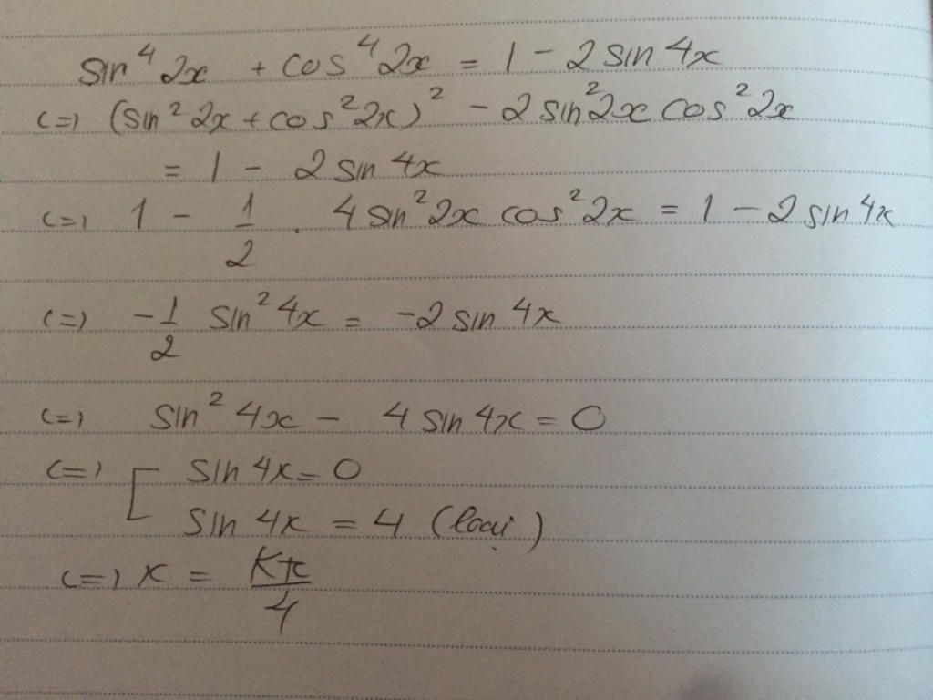
Đáp án:
$x = k\dfrac{\pi}{4}\quad (k\in\Bbb Z)$
Giải thích các bước giải:
$\begin{array}{l}\sin^42x + \cos^42x = 1 - 2\sin4x\\ \Leftrightarrow (\sin^22x + \cos^22x)^2 - 2\sin^22x.\cos^22x = 1 - 2\sin4x\\ \Leftrightarrow 1 - \dfrac{1}{2}\sin^24x = 1 - 2\sin4x\\ \Leftrightarrow \sin^24x-4\sin4x = 0\\\Leftrightarrow \left[\begin{array}{l}\sin4x = 0\\\sin4x = 4\quad (loại)\end{array}\right.\\\Leftrightarrow 4x = k\pi\\ \Leftrightarrow x = k\dfrac{\pi}{4}\quad (k\in\Bbb Z) \end{array}$
Hãy giúp mọi người biết câu trả lời này thế nào?
starstarstarstarstarstarstarstarstarstarstarstarstarstarstarstarstarstarstarstarstarstarstarstarstarstarstarstarstarstar5starstarstarstarstar1 voteGửiHủy
Cảm ơn 1
Báo vi phạm


- iouebwsudi

- Chưa có nhóm
- Trả lời
0
- Điểm
0
- Cảm ơn
0
Giúp em với ạ, em cần lắm:(( https://hoidap247.com/cau-hoi/1452765
- iouebwsudi
Bạn muốn hỏi điều gì?
Group 2K9 Ôn Thi ĐGNL & ĐGTD Miễn Phí

Bảng tin
Bạn muốn hỏi điều gì?
Lý do báo cáo vi phạm?
Gửi yêu cầu Hủy

Cơ quan chủ quản: Công ty Cổ phần Công nghệ Giáo dục Thành Phát
Tải ứng dụng


- Hướng dẫn sử dụng
- Điều khoản sử dụng
- Nội quy hoidap247
- Góp ý
Inbox: m.me/hoidap247online
Trụ sở: Tầng 7, Tòa Intracom, số 82 Dịch Vọng Hậu, Cầu Giấy, Hà Nội.
Từ khóa » đạo Hàm Sin^4(2x)
-
Tìm Đạo Hàm - D/dx Y=sin(4x^2) | Mathway
-
[LỜI GIẢI] Nguyên Hàm Của Hàm Số F( X ) = Sin ^42x Là - Tự Học 365
-
Đạo Hàm Cấp 4 Của Hàm Số Y = Sin^4x Là - Khóa Học
-
Gọi F(x) Là Nguyên Hàm Của Hàm Số F(x)=sin^4(2x) Thoả Mãn F(0) = 3 ...
-
Đạo Hàm Của Y = Sin$^2$4x Là
-
Đạo Hàm Cấp 4 Của Hàm Số Y = Sin^4x Là
-
Tính đạo Hàm Y=sin^4 X/2
-
Tính đạo Hàm Của Hàm Số Sau: Y=2 (sin 4x)^2- 3(cos 5x)^3..
-
Hàm Số \(y = {\sin ^4}x - {\cos ^4}x\) Có đạo Hàm Là: - HOC247