Số Trung Bình Cộng - Chuyên đề Môn Toán Học Lớp 7
Có thể bạn quan tâm
Nâng cấp gói Pro để trải nghiệm website VnDoc.com KHÔNG quảng cáo, và tải file cực nhanh không chờ đợi.
Tìm hiểu thêm » Mua ngay Từ 79.000đ Hỗ trợ ZaloChuyên đề Toán học lớp 7: Số trung bình cộng được VnDoc sưu tầm và giới thiệu tới các bạn học sinh cùng quý thầy cô tham khảo. Nội dung tài liệu sẽ giúp các bạn học sinh học tốt môn Toán học lớp 7 hiệu quả hơn. Mời các bạn tham khảo.
Chuyên đề: Số trung bình cộng
- A. Lý thuyết
- B. Trắc nghiệm & Tự luận
A. Lý thuyết
1. Số trung bình cộng của dấu hiệu
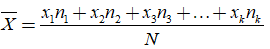
Dựa vào bảng “tần số”, ta có thể tính số trung bình cộng của dấu hiệu (kí hiệu X−) như sau:
+ Nhân từng giá trị với tần số tương ứng.
+ Cộng tất cả các tích vừa tính được.
+ Chia tổng đó cho số các giá trị (tức là tổng các tần số).
+ Công thức tính:
![]()
Trong đó:
• x1, x2,...., xn là k giá trị khác nhau của dấu hiệu X.
• n1, n2,...., nk là k là tần số tương ứng.
• N là số các giá trị
2. Ý nghĩa của số trung bình cộng
+ Số trung bình cộng thường được dùng làm “đại diện” cho dấu hiệu, đặc biệt là khi muốn so sánh các dấu hiệu cùng loại.
+ Khi các giá trị của dấu hiệu có khoảng chênh lệch rất lớn đối với nhau thì không nên lấy số trung bình cộng làm “đại diện” cho dấu hiệu đó.
+ Số trung bình cộng có thể không thuộc dãy giá trị của dấu hiệu.
3. Mốt của dấu hiệu
+ Mốt của dấu hiệu là giá trị tần số lớn nhất trong bảng “tần số”, kí hiệu là .
+ Có những dấu hiệu có hai mốt hoặc nhiều hơn
4. Ví dụ
Số cân nặng (làm tròn đến kg) của 20 học sinh được ghi lại như sau:
| 28 | 35 | 29 | 37 | 30 | 35 | 37 | 30 | 35 | 29 |
| 30 | 37 | 35 | 35 | 42 | 28 | 35 | 29 | 27 | 30 |
Ta có bảng “tần số”
| Số cân (x) | 28 | 29 | 30 | 35 | 37 | 42 |
| Tần số (n) | 2 | 3 | 4 | 6 | 4 | 1 |
Số trung bình cộng là:

Mốt của dấu hiệu: 35
B. Trắc nghiệm & Tự luận
I. Câu hỏi trắc nghiệm
Số cân của 45 học sinh lớp 7 được chọn một cách tùy ý trong số các học sinh lớp 7 của một trường THCS được cho trong bảng sau (tính tròn theo kg)
| Số cân (x) | 28 | 30 | 31 | 32 | 36 | 40 | 45 | |
| Tần số (n) | 5 | 6 | 12 | 12 | 4 | 4 | 2 | N = 45 |
(Áp dụng câu 1 và câu 2)
Bài 1: Số trung bình cộng là?
A. 32 kg B. 32,7 kg C. 32,5 kg D. 33 kg
Số trung bình cộng là:
Chọn đáp án B.
Bài 2: Mốt là?
A. 31 B. 32 C. 28 D. Cả A và B đều đúng
Mốt là số cân nặng của một học sinh có tần số lớn nhất
Số học sinh cân nặng 31 kg và 32 kg là nhiều nhất với tần số là 12.
Vậy mốt là 31 và 32
Chọn đáp án D.
Cho biểu đồ nhiệt độ trung bình hàng tháng ở một địa phương trong vòng một năm với Ox là tháng, Oy là nhiệt độ trung bình (độ C)

(Áp dụng câu 3, câu 4 và câu 5)
Bài 3: Tháng nóng nhất là
A. Tháng 6 B. Tháng 7 C. Tháng 8 D. Tháng 9
Từ biểu đồ đoạn thẳng ta thấy tháng 6 có nhiệt độ cao nhất là 32 độ.
Chọn đáp án A.
Bài 4: Tháng lạnh nhất là
A. Tháng 12 B. Tháng 11 C. Tháng 1 D. Tháng 2
Từ biểu đồ đoạn thẳng ta thấy tháng 12 có nhiệt độ thấp nhất là 17 độ.
Chọn đáp án A.
Bài 5: Khoảng thời gian nóng nhất trong năm là
A. Từ tháng 10 đến tháng 12
B. Từ tháng 4 đến tháng 7
C. Từ tháng 1 đến tháng 3
D. Từ tháng 7 đến tháng 10
Khoảng thời gian nóng nhất trong năm là: Từ tháng 4 đến tháng 7
Chọn đáp án B.
II. Bài tập tự luận
Bài 1: Xạ thủ A và B thi bắn súng, mỗi người bắn 10 phát súng, kết quả điểm như sau:
| A | 5 | 7 | 10 | 8 | 9 | 7 | 8 | 10 | 5 | 8 |
| B | 7 | 8 | 6 | 6 | 7 | 5 | 6 | 7 | 6 | 6 |
Tính điểm trung bình của mỗi xạ thủ và cho biết ai bắn tốt hơn.
Đáp ánÁp dụng công thức tính số trung bình cộng ta có:
Điểm trung bình của xạ thủ A là
Điểm trung bình của xạ thủ B là
Do đó, A bắn tốt hơn vì A có điểm trung bình cao hơn.
Bài 2: Điểm của Ban giám khảo cho thí sinh A và B như sau:
| Thí sinh A | 8 | 8,5 | 9 | 9 | 9 | 8 |
| Thí sinh B | 8 | 8 | 8,5 | 8,5 | 8 | 6 |
Tính điểm trung bình của mỗi thí sinh và cho biết ai bước tiếp vào vòng trong
Hiển thị lời giảiÁp dụng công thức tính trung bình cộng:
Điểm trung bình cộng của thí sinh A là:
Điểm trung bình cộng của thí sinh B là:
Do đó, A là thí sinh vào vòng trong vì điểm trung bình của thí sinh A cao hơn
Trên đây VnDoc đã giới thiệu tới các bạn lý thuyết môn Toán học 7: Số trung bình cộng. Để có kết quả cao hơn trong học tập, VnDoc xin giới thiệu tới các bạn học sinh tài liệu Chuyên đề Toán học 7, Giải bài tập Toán lớp 7, Giải VBT Toán lớp 7 mà VnDoc tổng hợp và giới thiệu tới các bạn đọc
Từ khóa » Cách Tính Trung Bình Cộng Lớp 7
-
Số Trung Bình Cộng - Toán 7
-
Lý Thuyết Về Số Trung Bình Cộng | SGK Toán Lớp 7
-
Giải Toán 7 Bài 4. Số Trung Bình Cộng
-
Toán 7 Bài Số Trung Bình Cộng Lớp 7 - Null - ICAN
-
Cách Tính Trung Bình Cộng - Tìm Số Trung Bình Cộng
-
Lý Thuyết Số Trung Bình Cộng Hay, Chi Tiết | Toán Lớp 7
-
Sách Giải Bài Tập Toán Lớp 7 Bài 4: Số Trung Bình Cộng
-
Số Trung Bình Cộng Là Gì? - Bài Tập & Lời Giải SGK Toán 7 - Itoan
-
Trung Bình Cộng Là Gì? Công Thức Tính Trung Bình Cộng Chuẩn 100%
-
Số Trung Bình Cộng
-
Giải Bài Số Trung Bình Cộng, Hướng Dẫn, Giáo án, Giải Toán Lớp 7
-
Giải Toán 7 Bài 4: Số Trung Bình Cộng
-
Chuyên đề Số Trung Bình Cộng Lớp 7 Và Các Dạng Toán Liên Quan
-
Công Thức Tính Trung Bình Cộng