SOLVED:3. When The Following Equation Is Balanced ... - Numerade

David Collins verified This problem has been solved by verified expert David Collins 100% free to try See Answer

Question

When the following equation is balanced, the coefficient of C3H8O3 is __________. C3H8O3 (g) + O2 (g) → CO2 (g) + H2O (g) 4. Which one of the following has the element name and symbol correctly matched? 5. Lead (II) carbonate decomposes to give lead (II) oxide and carbon dioxide: PbCO3 (s) → PbO (s) + CO2 (g) How many grams of lead (II) oxide will be produced by the decomposition of 2.50 g of lead (II) carbonate? Select one: A. 0.41 B. 2.61 C. 2.50 D. 0.00936 E. 2.09 6. Of the reactions below, which one is a decomposition reaction? Select one: A. 2N2 + 3H2 → 2NH3 B. Cd(NO3)2 + Na2S → CdS + 2NaNO3 C. NH4Cl → NH3 + HCl D. 2CH4 + 4O2 → 2CO2 + 4H2O E. 2Mg + O2 → 2MgO 7. Which one of the following has the element name and symbol correctly matched? Select one: A. S, sodium B. Fe, iron C. B, bromine D. Tn, tin E. N, neon When the following equation is balanced, the coefficient of C3H8O3 is __________. C3H8O3 (g) + O2 (g) → CO2 (g) + H2O (g) 4. Which one of the following has the element name and symbol correctly matched? 5. Lead (II) carbonate decomposes to give lead (II) oxide and carbon dioxide: PbCO3 (s) → PbO (s) + CO2 (g) How many grams of lead (II) oxide will be produced by the decomposition of 2.50 g of lead (II) carbonate? Select one: A. 0.41 B. 2.61 C. 2.50 D. 0.00936 E. 2.09 6. Of the reactions below, which one is a decomposition reaction? Select one: A. 2N2 + 3H2 → 2NH3 B. Cd(NO3)2 + Na2S → CdS + 2NaNO3 C. NH4Cl → NH3 + HCl D. 2CH4 + 4O2 → 2CO2 + 4H2O E. 2Mg + O2 → 2MgO 7. Which one of the following has the element name and symbol correctly matched? Select one: A. S, sodium B. Fe, iron C. B, bromine D. Tn, tin E. N, neon Show more…

Added by Linda G.

Chemistry: Structure and Properties Chemistry: Structure and Properties Nivaldo Tro 2nd Edition

Step 1

Step 1: Balance the chemical equation C3H8O3 (g) + O2 (g) → CO2 (g) + H2O (g) Show more…

Show all steps

lock AceChat toggle button Close icon Ace pointing down

Please give Ace some feedback

Your feedback will help us improve your experience

Thumb up icon Thumb down icon Submit Thanks for your feedback! Profile picture When the following equation is balanced, the coefficient of C3H8O3 is __________. C3H8O3 (g) + O2 (g) → CO2 (g) + H2O (g) 4. Which one of the following has the element name and symbol correctly matched? 5. Lead (II) carbonate decomposes to give lead (II) oxide and carbon dioxide: PbCO3 (s) → PbO (s) + CO2 (g) How many grams of lead (II) oxide will be produced by the decomposition of 2.50 g of lead (II) carbonate? Select one: A. 0.41 B. 2.61 C. 2.50 D. 0.00936 E. 2.09 6. Of the reactions below, which one is a decomposition reaction? Select one: A. 2N2 + 3H2 → 2NH3 B. Cd(NO3)2 + Na2S → CdS + 2NaNO3 C. NH4Cl → NH3 + HCl D. 2CH4 + 4O2 → 2CO2 + 4H2O E. 2Mg + O2 → 2MgO 7. Which one of the following has the element name and symbol correctly matched? Select one: A. S, sodium B. Fe, iron C. B, bromine D. Tn, tin E. N, neon Close icon Play audio Feedback Upload button Send button Powered by NumerAI Danielle Fairburn Jennifer Stoner Ivan Kochetkov verified

David Collins and 96 other subject Chemistry 101 educators are ready to help you.

Ask a new question

*

Labs

-

Want to see this concept in action?

NEW

Explore this concept interactively to see how it behaves as you change inputs.

View Labs *

Key Concepts

- Key Concept Premium Feature Explore the core concept behind this problem. View Video Play button View Video Key Concept Premium Feature Explore the core concept behind this problem. Your browser does not support the video tag. Close Try it Now *

Recommended Videos

- stoichiometry-gram-to-gram-problems-write-reaction-and-balance-if-not-provided-then-solve-the-problem-a-determine-the-mass-of-lithium-hydroxide-produced-when-038-g-of-lithium-nitride-reacts-00572

Stoichiometry: Gram to gram problems Write the reaction and balance it if not provided, then solve the problem. a) Determine the mass of lithium hydroxide produced when 0.38 g of lithium nitride reacts with water according to the following equation: Li3N + 3H2O ----> NH3 + 3LiOH. b) What mass of sodium chloride is produced when chlorine reacts with 0.29 g of sodium iodide? c) Determine the mass of carbon dioxide produced when 0.85 g of butane reacts with oxygen according to the following equation: 2C4H10 + 13O2 -----> 8CO2 + 10H2O. d) Determine the mass of antimony produced when 0.46 g of antimony (III) oxide reacts with carbon according to the following equation: Sb2O3 + 3C -----> 2Sb + 3CO. e) What mass of hydrogen peroxide (H2O2) must decompose to produce 0.77 g of water? 2H2O2 ----> O2 + 2H2O. f) Determine the mass of sodium nitrate produced when 0.73 g of nickel (II) nitrate reacts with sodium hydroxide according to the following equation: Ni(NO3)2 + 2NaOH ----> Ni(OH)2 + 2NaNO3. g) Determine the mass of calcium hydroxide produced when calcium carbide reacts with 0.64 g of water according to the following equation: CaC2 + 2H2O ----> Ca(OH)2 + C2H2. h) Find the mass of benzene (C6H6) required to produce 2.66 g of carbon dioxide from the reaction described by the following equation: 2C6H6 + 15O2 -----> 6H2O + 12CO2.

Krishna G.

a-for-the-reaction-4crs3o2g2cr2o3s4crs3o2g2cr2o3s-calculate-how-many-grams-of-the-product-form-when-214-g-of-o2o2-completely-reacts-assume-that-there-is-more-than-enough-of-the-other-reactan-26343

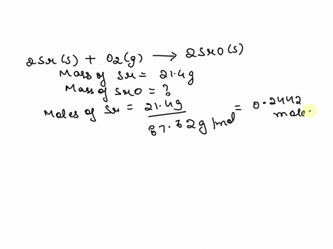
A) For the reaction 4Cr(s) + 3O2(g) → 2Cr2O3(s) calculate how many grams of the product form when 21.4 g of O2 completely reacts. Assume that there is more than enough of the other reactant. B) For the reaction 2Sr(s) + O2(g) → 2SrO(s) calculate how many grams of the product form when 21.4 g of Sr completely reacts. Assume that there is more than enough of the other reactant. C) For each of the following precipitation reactions, calculate how many grams of the first reactant are necessary to completely react with 18.0 g of the second reactant. 2KI(aq) + Pb(NO3)2(aq) → PbI2(s) + 2KNO3(aq) Na2CO3(aq) + CuCl2(aq) → CuCO3(s) + 2NaCl(aq) K2SO4(aq) + Sr(NO3)2(aq) → SrSO4(s) + 2KNO3(aq)

Supreeta N.

need-some-help-doing-these-step-by-step-please-complete-and-balance-these-equations-steps-a-decide-what-type-of-reaction-is-involved-b-determine-the-formulas-for-the-products-based-only-on-i-13803

Complete and balance these equations. Steps: a) Decide what type of reaction is involved. b) Determine the formulas for the products, based only on ion charges. c) Balance the equation. 14. H3AsO4(aq) + KOH(aq) ⟶ a. Type of reaction b. Formulas for products c. Balanced equation 15. CaCO3(s) + HNO3(aq) ⟶ a. Type of reaction b. Formulas for products c. Balanced equation 16. Pb(NO3)2(aq) + Na2SO4(aq) ⟶ a. Type of reaction b. Formulas for products c. Balanced equation 17. BaCl2(aq) + H2SO4(aq) ⟶ a. Type of reaction b. Formulas for products c. Balanced equation 18. C6H14(l) + O2(g) ⟶ a. Type of reaction b. Formulas for products c. Balanced equation 19. Ba(OH)2(s) + H3PO4(aq) ⟶ a. Type of reaction b. Formulas for products c. Balanced equation 20. Cu(s) + HNO3(aq) ⟶ Cu(NO3)2(aq) + NO(g) + H2O(l) Just balance this one

Alkendra S.

*

Recommended Textbooks

- Chemistry: Structure and Properties

Chemistry: Structure and Properties

Nivaldo Tro 2nd Edition achievement 1,238 solutions Chemistry The Central Science

Chemistry The Central Science

Theodore L. Brown 14th Edition achievement 1,592 solutions Chemistry

Chemistry

Steven S. Zumdahl, Susan A. Zumdahl, Donald J. DeCoste 10th Edition achievement 1,721 solutions *

Transcript

- 00:01 To balance this reaction, a combustion reaction, we'll first focus on the carbons. 00:08 We have c3, h8, o3, reacting with oxygen to produce co2 and h2. 00:22 With three carbons and one carbon, we need to put a three here. 00:27 With eight hydrogens and two hydrogens, we need to put a four here. 00:32 And then we have six plus four, so that's ten oxygens. 00:42 We've got three oxygens and two oxygens. 00:46 So with three, we need seven more. 00:48 How do we get seven out of two? we multiply that by seven halves. 00:54 So now we'll get rid of the fractions by multiplying everything through by two. 01:03 And we get a seven, a six, and an eight. 01:08 So when the following equation is balanced, the coefficient on c3h8 -03 is 2. 01:26 Then for number 4, a is s for sodium, b is f -e for iron. 01:35 The only one that is correct is f -e is iron. 01:39 Sodium is n -a, not s, bromine is br, not b, tin is s -n, and neon is n -e, not n. 01:50 So this is the only one that's correct... Need help? Use Ace Ace is your personal tutor. It breaks down any question with clear steps so you can learn. Start Using Ace Ace is your personal tutor for learning Step-by-step explanations Instant summaries Summarize YouTube videos Understand textbook images or PDFs Study tools like quizzes and flashcards Listen to your notes as a podcast

What our educators say

25992 Students Helped in Chemistry 101 “Numerade has a great goal - to increase people's educational levels all around the world. Educators do not complete student's personal homework tasks. We create video tutorials that may be used for many years in the future.” Dr. Mei Lin Chen PhD in Chemistry 101

44601 Students Helped in Chemistry 101 "The format has forced me to think about what knowledge is needed by the student to solve a problem and present it concisely and understandably within the time constraint of the video." Dr. Emily Green PhD in Chemistry 101

30417 Students Helped in Chemistry 101 “Explaining topics while I make Numerade videos has helped me deepen my own understanding and come up with new ways to help my students grasp concepts while I'm teaching.” Professor Jonathan Reed Master's in Chemistry 101

Numerade Get step-by-step video solutionfrom top educators Start your free 7-day trial, Sign up now. Continue with Facebook Continue with Apple Continue with Clever or Name Email Password Create Account By creating an account, you agree to the Terms of Service and Privacy Policy Already have an account? Log In A free answerjust for you

Watch the video solution with this free unlock.

View the Answer Numerade

Log in to watch this video ...and 100,000,000 more!

EMAIL

PASSWORD

Log in OR Continue with Facebook Continue with Apple Continue with Clever Don't have an account? Sign Up

Từ khóa » C3h8o3=co2+h2o