SOLVED:If The Input To An RLC Series Circuit Is V = Vm COS Wt, Then ...

Sachin  Rao verified This problem has been solved by verified expert Sachin Rao 100% free to try See Answer

Question

If the input to an RLC series circuit is V = V_m cos ?t, then the current in the circuit is what? V_m / R cos ?t V_m cos ?t / sqrt(R^2 + ?^2 L^2) V_m sin ?t / sqrt(R^2 + (?L + 1 / ?C)^2) V_m cos(?t - ?) / sqrt(R^2 + (?L - 1 / ?C)^2) V_m sqrt(R^2 + (?L - 1 / ?C)^2) cos ?t If the input to an RLC series circuit is V = V_m cos ?t, then the current in the circuit is what? V_m / R cos ?t V_m cos ?t / sqrt(R^2 + ?^2 L^2) V_m sin ?t / sqrt(R^2 + (?L + 1 / ?C)^2) V_m cos(?t - ?) / sqrt(R^2 + (?L - 1 / ?C)^2) V_m sqrt(R^2 + (?L - 1 / ?C)^2) cos ?t Show more… If the input to an RLC series circuit is V = Vm cos ?t, then the current in the circuit is what?  Vm / R cos ?t  Vm cos ?t / sqrt(R^2 + ?^2 L^2)  Vm sin ?t / sqrt(R^2 + (?L + 1 / ?C)^2)  Vm cos(?t - ?) / sqrt(R^2 + (?L - 1 / ?C)^2)  Vm sqrt(R^2 + (?L - 1 / ?C)^2) cos ?t

Added by Wendy S.

Close

University Physics with Modern Physics University Physics with Modern Physics Hugh D. Young 14th Edition

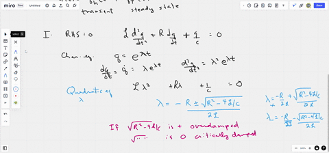
Step 1

Step 1:** The current in the RLC series circuit is given by the formula: \[ I = \frac{Vm}{\sqrt{R^2 + (X_L - X_C)^2}} \cos(\omega t - \phi) \] where \(\phi = \tan^{-1} \left(\frac{X_L - X_C}{R}\right)\) ** Show more…

Show all steps

lock AceChat toggle button Close icon Ace pointing down

Please give Ace some feedback

Your feedback will help us improve your experience

Thumb up icon Thumb down icon Submit Thanks for your feedback! Profile picture If the input to an RLC series circuit is V = Vm COS Wt, then the current in the circuit is what? Vm R COS Wt Vn cos &t VR? + 0 1? V_sin ot R? +(oL+1/ @C)? Vn cos(or R? + (@L - 1 / @C)? Vn VR? + (@L-1/@C)? cos ct Close icon Play audio Feedback Upload button Send button Powered by NumerAI Kathleen Carty Danielle Fairburn Jennifer Stoner verified

Sachin Rao and 55 other subject Physics 101 Mechanics educators are ready to help you.

Ask a new question

*

Key Concepts

- Key Concept Premium Feature Explore the core concept behind this problem. View Video Play button View Video Key Concept Premium Feature Explore the core concept behind this problem. Your browser does not support the video tag. Close Try it Now *

Recommended Videos

- consider-the-series-rlc-circuit-driven-by-alternating-emf-of-value-eosin-wt-shown-as-figure-the-differential-equation-of-this-circuit-is-li-ri-9-eo-sin-t-qqqq-fo-sin-t-please-solve-qt-95604

Consider the series RLC circuit driven by an alternating emf of value E0 sin ωt (shown as figure). The differential equation of this circuit is L q¨ + R q˙ + q/C = E0 sin ωt. Please solve q(t).

Linda W.

the-equation-of-current-in-ac-circuit-is-i-4sin-100pi-tpi3a-calculate-i-rms-value-ii-peak-value-iii-frequency-iv-initial-phase-v-current-at-t-0

" The Equation of current in AC circuit is I = 4sin (100pi t+pi/3)A Calculate. (i) RMS Value (ii) Peak Value (iii) Frequency (iv) Initial phase (v) Current at t = 0"

Dharmendra M.

ac-circuits-current-if-the-voltage-and-impedance-are-known-the-current-i-in-the-circuit-is-calcula-2

AC circuits - current: If the voltage and impedance are known, the current $I$ in the circuit is calculated as the quotient $I=\frac{V}{Z} .$ Write $V$ and $Z$ in trigonometric form to find the current in each circuit. $$V=4 \sqrt{3}-4 j \text { and } Z=1-1 j \Omega$$

Precalculus

Applications of Trigonometry

Complex Numbers in Trigonometric Form

*

Recommended Textbooks

- University Physics with Modern Physics

University Physics with Modern Physics

Hugh D. Young 14th Edition achievement 1,952 solutions Physics: Principles with Applications

Physics: Principles with Applications

Douglas C. Giancoli 7th Edition achievement 1,684 solutions Fundamentals of Physics

Fundamentals of Physics

David Halliday, Robert Resnick , Jearl Walker 10th Edition achievement 1,832 solutions *

Transcript

- 00:01 We have given if the input to an rlc series circuit is v is equal to v m cos omega t then the current in the circuit is what? so we know that current i is equals to v by z where z is impedance that is equal to 2 root of r square plus xl minus xc whole square. 00:34 X l is equal to omega into l and x c is equal to one on omega c so this z will be equal to square root of r square plus omega l minus one upon omega c whole square so this current i will be equal to v divided by square root of r square plus omega l minus one upon omega c whole square now, we know that current lag by 5, so this will be vm cos omega t minus 5... Need help? Use Ace Ace is your personal tutor. It breaks down any question with clear steps so you can learn. Start Using Ace Ace is your personal tutor for learning Step-by-step explanations Instant summaries Summarize YouTube videos Understand textbook images or PDFs Study tools like quizzes and flashcards Listen to your notes as a podcast

What our educators say

25992 Students Helped in Physics 101 Mechanics “Numerade has a great goal - to increase people's educational levels all around the world. Educators do not complete student's personal homework tasks. We create video tutorials that may be used for many years in the future.” Dr. Mei Lin Chen PhD in Physics 101 Mechanics

44601 Students Helped in Physics 101 Mechanics "The format has forced me to think about what knowledge is needed by the student to solve a problem and present it concisely and understandably within the time constraint of the video." Dr. Emily Green PhD in Physics 101 Mechanics

30417 Students Helped in Physics 101 Mechanics “Explaining topics while I make Numerade videos has helped me deepen my own understanding and come up with new ways to help my students grasp concepts while I'm teaching.” Professor Jonathan Reed Master's in Physics 101 Mechanics

Numerade Get step-by-step video solutionfrom top educators Start your free 7-day trial, Sign up now. Continue with Facebook Continue with Apple Continue with Clever or Name Email Password Create Account By creating an account, you agree to the Terms of Service and Privacy Policy Already have an account? Log In A free answerjust for you

Watch the video solution with this free unlock.

View the Answer Numerade

Log in to watch this video ...and 100,000,000 more!

EMAIL

PASSWORD

Log in OR Continue with Facebook Continue with Apple Continue with Clever Don't have an account? Sign Up

Từ khóa » V=vm Cos Wt